CAFE

질문과 답

[수학]고1문제 도움이 필요해요

작성자정희여봉|작성시간16.04.13|조회수258 목록 댓글 3


입체도형은 많이 약해서 ㅎㅎ 부끄럽습니다.

풀이 부탁드려요^^

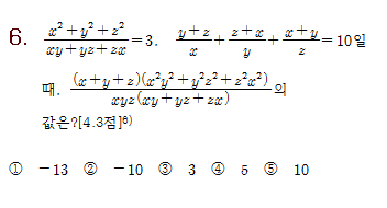
한문제더 부탁드려요..




이 문제도 같이 풀어 주시면 감사하겠습니다^^



다음검색
현재 게시글 추가 기능 열기

댓글

댓글 리스트
  • 작성자새본익명인 | 작성시간 16.04.13 17. 합동인 정삼각형 8개로 이루어진 입체도형은 정팔면체입니다 꼭짓점은 6개입니다 각각을 문자로놓고 각 면에 세꼭짓점의 곱들을 다더하면 두문자들의 합으로 이루어진 세개의 일차식으로 인수분해되는 다항식이 됩니다. 105을 소인수분해하면 3x5x7이므로 각각에 대응될수밖에없습니다 따라서 합은 15가됩니다
  • 작성자거부기 | 작성시간 16.04.13 6번풀이 댓글 첨부 이미지 이미지 확대
  • 작성자정희여봉 작성자 본인 여부 작성자 | 작성시간 16.04.13 두분 정말 정말 감사합니다.
    두번째 문제는 저런 풀이를 생각하기가 어렵겠네요.. 대단하셔요!!!^^
댓글 전체보기
맨위로

카페 검색

카페 검색어 입력폼