CAFE

질문과 답

M's Re:미적분II 질문입니다.

작성자오른수학by이명래™|작성시간18.02.23|조회수157 목록 댓글 7

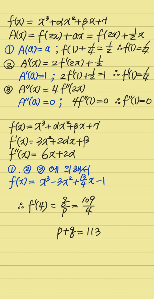
풀이~

다음검색
현재 게시글 추가 기능 열기

댓글

댓글 리스트
  • 답댓글 작성자문명5수학 | 작성시간 18.02.23 아니 그런 방법이 . .선생님은 천재 입니다.
  • 작성자빙고 | 작성시간 18.02.24 미분없이 풀어봤습니다.
    댓글 첨부 이미지 이미지 확대
  • 답댓글 작성자오른수학by이명래™ 작성자 본인 여부 작성자 | 작성시간 18.02.24 좋은풀이네요. ^^

    중간에 역함수부분을 합성결과가 x가 나온다고 바꾸면 조금 간편하게 나오긴 하드라구요^^
  • 답댓글 작성자빙고 | 작성시간 18.02.24 오른수학by이명래™ 성지훈샘과 이명래샘 두 분의 빠른 풀이가 부럽네요~~
  • 답댓글 작성자오른수학by이명래™ 작성자 본인 여부 작성자 | 작성시간 18.02.24 빙고 풀이에 왕도가 있겠습니까?^^
댓글 전체보기
맨위로

카페 검색

카페 검색어 입력폼