CAFE

질문과 답

수학1 삼각함수 질문입니다.

작성자맑은샘물|작성시간20.03.21|조회수838 목록 댓글 6

1. 제목에 출처와 범위를 써주세요
2. 출처: 개념원리
3. 범위:
4. 나는 이런 방식으로 풀었어요:

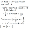
싸인세타와 코싸인세타의 곱의 범위에 대한 질문입니다.

각각인 -1보다 크거나 같고 1보다 작으니까 곱하면 마찬가지로

-1보다 크거나 같고 1보다 작다라고 나와있는데요.

싸인과 코싸인이 같은 각일 때는 저게 성립할 수가 있나요?

똑같은 세타에서 곱이 -1이나 1이 나오는 경우가 있나요?


혹시 그래서 저 범위가 틀렸다면 sin쎄타 X cos쎄타의 범위를

구할 수 있는 방법과 그 범위가 어떻게 될까요?



다음검색
현재 게시글 추가 기능 열기

댓글

댓글 리스트
  • 답댓글 작성자맑은샘물 작성자 본인 여부 작성자 | 작성시간 20.03.26 답글 달아주셔서 감사합니다^^
  • 작성자Ekqhd | 작성시간 20.03.21 댓글 첨부 이미지 이미지 확대
  • 답댓글 작성자맑은샘물 작성자 본인 여부 작성자 | 작성시간 20.03.26 산술기하는 생각지도 못한 접근이네요. 감사합니다^^
  • 작성자꿍꿍이가있어요 | 작성시간 20.03.22 -1<=sinx<=1, -1<=cosx<=1에서
    -1<=sinxcosx<=1을 이용한 풀이인데
    실전적으로 풀었다고 생각이 되네요. 1+sqrt{2}가 1보다 큰 것이 너무 쉽게 보이니굳이 sinxcosx의 범위를 정확히 구할 필요가 없네요.

    예를 들어 sin^2xcosx=0.1 또는 10000이라고 나왔을때 굳이 범위를 정확히 안구해도 10000은 해가 될 수 없는게 자명한 것 처럼요.
  • 답댓글 작성자맑은샘물 작성자 본인 여부 작성자 | 작성시간 20.03.26 네 선생님 답변 달아주셔서 감사합니다^^
댓글 전체보기
맨위로

카페 검색

카페 검색어 입력폼