CAFE

질문과 답

수1 수열 기출입니다.

작성자열씸히|작성시간20.07.16|조회수155 목록 댓글 4

고2 수1 기풀입니다.




6번의 답은 4번

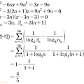
10번의 답은 1번 입니다.

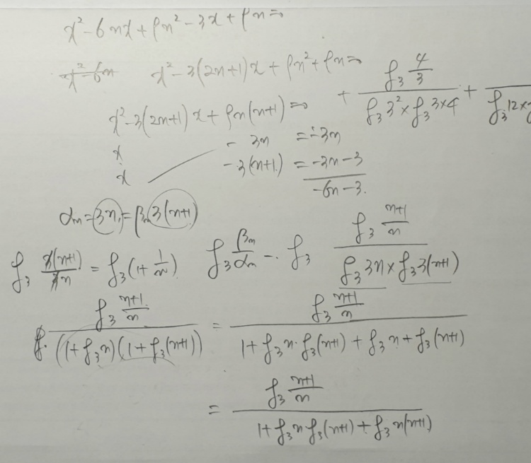
풀이를 해봤는데 방향이 잘 못된건지 계산이 안되네요.





다음검색
현재 게시글 추가 기능 열기

댓글

댓글 리스트
  • 작성자Ekqhd | 작성시간 20.07.16 10 댓글 첨부 이미지 이미지 확대
  • 작성자열씸히 작성자 본인 여부 작성자 | 작성시간 20.07.16 10번 등비수열을 안보고 풀었네요.감사합니다.
    죄송하지만 6번 풀이 조심스럽게 부탁 드려 봅니다.
  • 작성자Ekqhd | 작성시간 20.07.16 6 댓글 첨부 이미지 이미지 확대
  • 작성자열씸히 작성자 본인 여부 작성자 | 작성시간 20.07.16 감사합니다.
댓글 전체보기
맨위로

카페 검색

카페 검색어 입력폼