CAFE

질문과 답

고등 미적분 적분 단원 질문입니다.

작성자회원정보|작성시간21.02.09|조회수441 목록 댓글 6

1. 제목에 출처와 범위를 써주세요
2. 출처:
3. 범위:
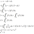
4. 나는 이런 방식으로 풀었어요:

이 문제를 풀 때

로 풀면 안되는 이유를 알려주세요.

 

 

다음검색
현재 게시글 추가 기능 열기

댓글

댓글 리스트
  • 답댓글 작성자회원정보 작성자 본인 여부 작성자 | 작성시간 21.05.19 답변 감사합니다.
  • 작성자Ekqhd | 작성시간 21.02.09 댓글 첨부 이미지 이미지 확대
  • 답댓글 작성자회원정보 작성자 본인 여부 작성자 | 작성시간 21.05.19 답변 감사합니다.
  • 작성자지나가는 나 그네 | 작성시간 21.02.15 t에대한 적분과 x에 대한 미분으로
    변수가 바뀌는 상황에서 한번에 적분과 미분을 처리하면 변수에 오류가 생깁니다
    실제로 적분을하고 미분을 하면 곱의 미분이 나와야하는데 바로하면 미분 한번으로 그계산을 없애버립니다
  • 답댓글 작성자회원정보 작성자 본인 여부 작성자 | 작성시간 21.05.19 답변 감사합니다.
댓글 전체보기
맨위로

카페 검색

카페 검색어 입력폼