CAFE

질문과 답

명제 참거짓 문제 질문입니다

작성자아프리카|작성시간21.10.09|조회수704 목록 댓글 2

안녕하세요.

 

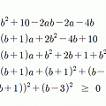
아래 문제의 답은 5번인데요. 마지막 ㄹ 문항이 왜 맞는지 설명 부탁드립니다. 식 정리가 잘 안되네요.

 

다음검색
현재 게시글 추가 기능 열기

댓글

댓글 리스트
  • 작성자오대감 | 작성시간 21.10.09
    풀이입니다.

    댓글 첨부 이미지 이미지 확대
  • 답댓글 작성자아프리카 작성자 본인 여부 작성자 | 작성시간 21.10.10 이렇게 완전제곱식 유도가 되는군요 자세한 설명 감사합니다 항상 건강하세요^^
댓글 전체보기
맨위로

카페 검색

카페 검색어 입력폼