CAFE

질문과 답

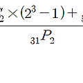
[확률과 통계]확통 고2 내신기출문제입니다.

작성자elcapitan|작성시간22.07.03|조회수415 목록 댓글 4

1.

내공이 부족하여 깔끔하게 정리하는 게 쉽지가 않네요.

 

여러 선생님들의 도움을 구합니다.

 

 

 

 

다음검색
현재 게시글 추가 기능 열기

댓글

댓글 리스트
  • 작성자Ekqhd | 작성시간 22.07.03 13
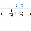
    댓글 첨부 이미지 이미지 확대
  • 작성자Ekqhd | 작성시간 22.07.03 14 댓글 첨부 이미지 이미지 확대
  • 작성자Ekqhd | 작성시간 22.07.03 15 댓글 첨부 이미지 이미지 확대
  • 작성자elcapitan 작성자 본인 여부 작성자 | 작성시간 22.07.03 선생님, 주말 저녁 귀한 시간 내서 풀어주셔서 진심으로 감사합니다!!!
댓글 전체보기
맨위로

카페 검색

카페 검색어 입력폼