CAFE

질문과 답

고1 다항식의 곱셈. 곱셈공식의 변형 문제입니다.

작성자juni|작성시간24.07.18|조회수404 목록 댓글 2
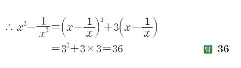
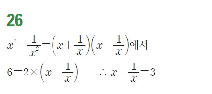
이 문제는 개념원리 수학 상의 확인체크 문제입니다.

 

이 문제의 원래답은 이렇게 되어 있습니다. 저도 비슷하게 풀었는데요... 

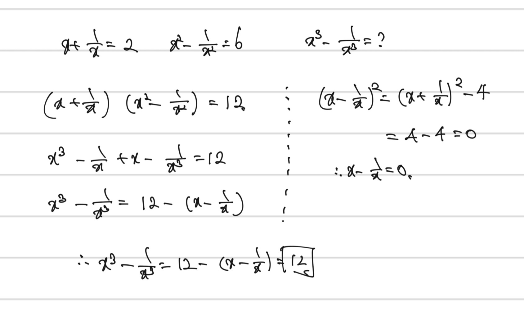
그런데, 학생이 이렇게 풀었는데 어디가 틀렸냐고 물어보는데 못 찾겠네요.... 

 

어디가 틀렸는지 못 찾겠는데,,, 아시는 분들은 댓글 부탁드립니다. 

다음검색
현재 게시글 추가 기능 열기

댓글

댓글 리스트
  • 작성자홍재 | 작성시간 24.07.18 이건 문제 오류예요
    에초에 첫식 만족하는 x가 1밖에없어요
    그런데 다음식이 저값이 나올수가없는거죠
    숫자가 다르면 보통 허근이라도 성립하는데 이경우는 복소수 범위까지 해도 1밖에 없음 그래서 두식 동시에 성립자체가 불가
    해가없다가 답임
  • 답댓글 작성자juni 작성자 본인 여부 작성자 | 작성시간 24.07.18 아 그렇군요 문제가 오류가 있는 거군요 감사합니다.
댓글 전체보기
맨위로

카페 검색

카페 검색어 입력폼