
|
왼손을 들어 올리고 거울을 보면 거울 속에 있는 나는 오른손을 들어 올리고 있다. 거울 속의 나는 현실의 나를 완벽하게 복사하고 있는 것처럼 보이지만 실제로는 좌우가 변한 또 다른 나일 뿐이다. 내가 왼손을 올린 상태로 거울 속으로 그대로 들어가도 거울 속의 나와는 공간적으로 겹쳐지지 않는다. 마찬가지로 왼손이 거울에 비친 모습은 오른손이지만 역시 왼손과 오른손은 3차원 상에서는 겹쳐질 수 없다. 분자의 세계에서도 거울상이 되는 분자들이 존재하며, 거울상 관계인 분자들은 서로 다른 특성을 가지고 있다. 이번에는 거울상 분자가 지닌 구조적 특성과 그것이 지닌 독특한 성질에 대해서 알아보기로 하자. | |
|

거울상 관계를 유지하고 있는 분자들을 광학 이성질체라 한다. |

거울상의 왼손은 실제의 오른손과, 거울상의 오른손은 실제의 왼손과 모양이 같다. <출처: Gettyimage> |
|
거울상 분자는 비대칭 탄소를 포함한다

거울상 관계를 유지하고 있는 분자들을 광학 이성질체(optical isomers 혹은 enantiomers) 혹은 거울상 이성질체라고 부른다. 2종류의 광학이성질체 분자들은 3차원에서 서로 포개질 수 없다는 특징을 제외하고는 물리화학적으로 구별하는 방법이 거의 없다. 그들 분자는 원자의 종류와 개수는 물론 배열 형태도 모두 같으며, 분자량, 녹는점 혹은 끓는점과 같은 물리화학적 특성이 동일하다. 그러나 광학 이성질체 분자 중에서 어느 한 종류만을 녹인 용액에 평면 편광(plane-polarized light)을 비추면 둘의 차이가 난다. 용액을 통과한 편광은 본래의 편광과 비교할 때 편광면(평면 편광 빛의 전기장과 빛의 진행방향을 모두 포함하는 면)이 왼쪽 혹은 오른쪽으로 회전을 하고, 그 회전 각도의 크기는 같다. 그러나 거울상 2 종류의 분자 각각을 같은 양 만큼씩 녹인 용액을 통과한 편광은 회전하지 않는다.
| |
|
즉 2개의 광학이성질체는 편광에 대해 서로 반대방향으로 작용하는 것이다. 광학활성을 지닌 유기화합물 분자들은 공통적으로 분자 내에 비대칭 탄소(asymmetric carbon)를 포함하고 있다. 결합이 4개까지 가능한 탄소 원자에 원자, 분자, 혹은 작용기 그룹이 결합될 때 4개 모두 종류가 다른 것들이 결합되어 있는 특별한 탄소를 비대칭탄소라 부른다. 그러므로 유기화합물 한 분자에는 한 개 이상의 비대칭 탄소를 포함하고 있는 것도 많이 존재한다. | |


편광의 효과를 보여주는 사진. 화산재에 수평편광(왼쪽)와 수직편광(오른쪽)를 비추면 전혀 다른 사진을 찍을 수 있다. <출처 (cc) Qfl247 at wikimedia.org>
|
복잡한 광학이성질체의 이름

광학 이성질체 분자에 이름을 붙이는 것이 조금은 복잡하고 전문적이다. 그러나 일반적으로 광학이성질체가 편광면을 오른쪽으로 회전시키면 (+), 왼쪽으로 회전시키면 (-)를 화합물 이름 앞에 붙인다. (+)(-) 기호 외에도 동시에 D(dextrorotatory, 오른쪽 회전성), L(levorotatory, 왼쪽 회전성) 혹은 R(오른쪽을 의미하는 라틴어 Rectus의 첫 글자), S(왼쪽을 의미하는 라틴어 sinister의 첫 글자)를 붙인다. 비대칭탄소에 연결된 원자, 분자, 작용기 그룹이 공간에서 어떻게 배치되어 있는가를 구분하는 방법으로 영문 D, L, R, S를 사용하며, 그것은 광학이성질체를 어떤 체계(방법)를 사용하여 구분했느냐에 따라 다른 것이다. 보통은 광학이성질체 앞에 D, L이 붙어 있으면 광학이성질체임을 나타내고 분자의 전체 편광 회전방향을 나타낸다. R, S가 붙어 있으면 분자 내에 여러 개 존재하는 각각의 비대칭 탄소 특성을 나타내기 위해서 표기한 것으로 이해하면 된다. 그렇지만 중요한 사실은 R, S, D, L의 본래 의미하는 왼쪽 오른쪽 방향이라는 의미와 실제로 빛이 회전하는 방향(오른쪽, 왼쪽)과는 무관하다. 다시 말해서 오른쪽을 의미하는 R 혹은 D가 붙은 광학이성질체도 편광이 왼쪽으로 회전하는 경우도, 또한 왼쪽을 의미하는 S 혹은 L이 붙은 광학이성질체도 편광이 오른쪽으로 회전하는 경우도 있기 때문이다. 그래서 다음과 같은 광학이성질체에 이름이 가능한 것이다. 예를 들어 (S)-(+)-젖산(Lactic acid) 혹은 (R)-(-)-젖산이 가능하며, L-(+)-타타르산(tartaric acid) 혹은 D-(-)-타타르산이 존재한다. 한 분자 내에 2개의 비대칭탄소를 지닌 광학이성질체는 (1R, 2S)-(-)-에페드린(ephedirine) 혹은 (1S, 2R)-(+)-에페드린 등과 같다. 더 자세한 논의는 너무 복잡하니 이쯤에서 생략하자.
광학이성질체를 처음 발견한 사람은 파스퇴르

루이 파스퇴르는 우리나라의 한 우유의 상품명으로 사용되어 모르는 사람이 거의 없을 정도로 유명인사이다. 분자들이 광학 이성질체를 띤다는 사실은 바로 그 파스퇴르(Louis Pasteur, 1822 ~ 1895)가 처음 알아냈다. 파스퇴르는 포도주 병 바닥에 침전되어 있는 타타르산(tartaric acid) 결정은 우연한 기회에 이상하게도 모두 한쪽 방향으로 휘어져 있다는 것을 관찰하였다. 반면에 공장에서 생산된 타타르산은 양 방향으로 휘어진 모습들의 결정이 섞여 있었다. 호기심과 열정을 갖춘 파스퇴르는 조심스럽게 두 종류의 결정을 분리하고 용액을 만들었다. 놀랍게도 각각의 용액에 비춰진 빛은 서로 다른 방향으로 같은 크기만큼 회전한다는 사실도 알아냈다. 빛의 편광성 연구와 화합물이 빛을 회전할 수 있다고 사실을 밝혀낸 스승(물리학자(Jean-Baptiste Biot))의 도움 또한 광학이성질체의 발견에 커다란 기여를 했을 것으로 짐작된다. | |
|

루이 파스퇴르(Louis Pasteur, 1822 ~ 1895). 처음에는 화학자로 광학이성질체를 발견하였으며, 이후 생화학, 미생물학 분야에서 자연발생설 부정, 저온 살균법, 광견병 백신 등 큰 업적을 남겼다. |

파스퇴르가 밝혀낸 타타르산의 결정 구조, 타타르산 결정은 광학이성질체로 D형과 L형이 있다. |
|
한 광학이성질체가 약이 되면 다른 광학이성질체는 독이 되기도

2001년도 노벨 화학상은 효율적으로 광학이성질체를 합성하는 방법을 알아내고 연구한 3명의 과학자(Noyori, Knowles, Sharpless)에게 수여되었다. 그들은 선택적으로 한 종류의 광학이성질체를 합성하는 방법을 고안해 낸 유기화학자들이다. 실제로 광학 이성질체 2 종류 가운데 어느 한쪽만 필요한 경우가 대부분이므로 2종류가 동시에 합성되었다면 서로 분리해서 필요한 어느 한쪽만 사용해야 된다. 그것들의 분리에는 많은 시간과 노력이 필요하다. 그러므로 처음부터 어느 하나의 광학이성질체만 선택적으로 합성하는 방법을 알아내고 연구한 것은 매우 중요한 것이다. 예를 들어 약효를 발휘하는 분자는 광학이성질체 중에서 어느 한가지만 해당된다. 다른 종류의 광학이성질체 분자는 전혀 쓸모가 없거나, 심할 경우에는 독이 되어 사람 몸을 망치기도 한다. | |

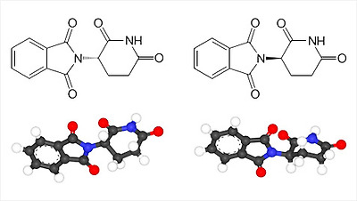
탈리도마이드 분자는 광학이성질체를 가진다. 왼쪽의 (S)-탈리도마이드는 유전자 변형을 일으켜 기형아 출산의 원인이 되며,
오른쪽의 (R)-탈리도마이드 입덧을 완화하는 효과가 있다.
|
대표적인 예로 1950년대 후반부터 1960년 초까지 유럽에서 입덧 증상을 완화하려는 목적의 치료약으로 판매되었던 탈리도마이드(thalidomide)라는 분자가 있다. 광학활성을 띤 2 종류의 탈리도마이드 중에서 하나는 입덧을 완화하는 효과가 있었고, 다른 하나는 유전자 변형을 유도하는 효과(teratogenic)가 있었다. 그 당시 판매되었던 입덧 치료제에는 두 종류의 광학이성질체 분자 모두가 포함되었다. 따라서 그것을 복용한 임산부들은 팔다리가 기형인 아기들을 출생하게 되었던 것이다.
또 다른 예로는 향이 나는 카르본(carvone) 분자이다. 카르본 분자도 광학활성을 지니고 있다. 따라서 광학이성질체 중에서 한 종류는 캐러웨이 향이 나고, 다른 종류는 스페어민트 향이 난다. 이들이 결합하는 수용체들이 달라서 각기 다른 향으로 인식을 하는 것이다. 한 때 유행했던 스페어민트 껌은 한 종류의 광학이성질체 만으로 구성된 용액 처리 과정을 거쳐서 제조된 것이다. 최근에 캐러웨이 향이 나는 광학이성질체는 감자가 미리 싹이 트는 것을 방지하는 효과가 있다는 것이 밝혀져 유럽에서 시판도 되고 있다. | |


카르본 분자는 R형과 S형의 광학이성질체가 있어 R형은 스피어민트(좌)향이 S형은 캐러웨이(우)향이 난다. <출처: (cc) Simon Eugster --Simon (좌), Ben_pcc at wikimedia(우)>
|
우리 몸의 아미노산은 모두 L형 광학이성질체

우리 몸을 이루는 단백질은 많은 종류와 수 많은 개수의 아미노산이 결합하여 만들어 진 것이다. 아미노산 중에서도 글리신(glycine)을 제외하고 모든 아미노산은 비대칭탄소를 포함하고 있어서 광학활성을 가진다. 흥미로운 사실은 우리 몸에 필요한 아미노산은 모두 L형의 광학이성질체라는 것이다. 글리신의 경우에는 탄소에 수소 원자 2개의 동시에 결합되어 있어서 비대칭탄소 요건을 갖추지 못했다. 그 외에 필요한 19개의 아미노산은 모두 광학활성을 갖는다. 잘 알고 있는 비타민 C도 광학이성질체의 특성을 지니고 있고, 자연에서 발견되는 탄수화물은 대부분 D형 광학이성질체로 존재한다. | |

아미노산에는 D형과 L형의 광학이성질체가 있다. 우리 몸과 지구상 생물은 거의 모두 L형 아미노산으로 이루어져 있다.
|
우리의 삶에 필요한 많은 분자들은 신기하게도 광학이성질체 중에서도 어느 한 종류이다. 또 다른 한 종류는 우리 세상에는 쓸모가 없는 분자로 보이지만, 거울 안쪽에 존재하는 또 다른 세상에서는 꼭 필요한 분자일 지도 모르겠다. 상상을 이어가면 우주 어딘가에 나의 거울 상이 실제로 존재하며 살고 있고, 매일 내가 살아가는 모습과는 완전히 거울 상으로 행동하면 살아가는 또 다른 내가 존재하는 것은 아닐까? 플라톤이 주장했던 또 다른 반쪽이 그런 것일까? 궁금하다. | |
- 글 여인형 / 동국대 화학과 교수
- 서강대학교 화학과를 졸업하고, 미국 아이오와 주립대학교에서 박사학위를 받았다. 현재 동국대 화학과 교수이다. <퀴리 부인은 무슨 비누를 썼을까?>를 썼고, <화학의 현재와 미래>를 대표 번역하였다.