CAFE

설계/제작/비행강좌

2엽프롭과 3엽 프롭

작성자snaproll 이종헌|작성시간15.12.02|조회수2,797 목록 댓글 1

스케일기를 즐기다 보면 프롭이 항상 골치거리 입니다.

무스탕 실기의 경우에는 엔진에 감속기어가 들어있고 가변핏치 프로펠러를 사용합니다.
약 2:1로 감속하여 최대 rpm을 3천으로 고정하여, 핏치만 가감을 합니다.

하지만 모형은 대부분 감속기어를 사용하지 않아서 6천~7천 rpm을 사용합니다.
결국 rpm은 높고 토크는 약해서 실기보다는 비례적으로 작은 프롭을 사용해야만 하기 때문에 프롭의 실물감은 포기해야 하는 형편입니다.
게다가 3엽, 4엽 프롭은 엄두를 내기가 더욱 어렵습니다. 프롭이 더 작아져야 하기 때문입니다.

3엽 프롭을 사용하고 싶은데 어떤 사이즈를 선택해야 하는지?



예전에는 저도 프롭을 이해하는데는 "원기둥" 개념을 가지고 있었습니다.
직경은 그대로 원의 직경이고 핏치가 원기둥의 높이가 되는 것이고, 원기둥의 체적이 밀어낸 바람의 양이라는 개념입니다.
그러나 이런 개념으로는 3엽, 4엽 프롭을 이해하거나 설명하지 못합니다.



프롭을 이해하려면 먼저 날개의 양력에 대해 알아야만 합니다.
모형에서 흔히 사용하는 클라크Y 익형입니다.



클라크Y 익형의 받음각에 따른 양력계수와 항력계수 표 입니다.
받음각 17도에서 실속이 이루어지기 전까지는 양력계수는 대체로 받음각에 비례합니다.
반면에 항력계수는 2차함수 곡선을 가집니다.

양력은 이 양력계수(받음각), 공기밀도, 날개면적에 비례하고, 속도의 제곱에 비례합니다.
L  (L 양력, ρ 공기밀도v 공기속도A 날개면적C_L 양력계수)




프로펠러도 날개의 양력과 같은 원리입니다.
다만 회전 운동을 하기 때문에 날개가 꼬여있는 차이일뿐입니다.




그림을 그리느라고 시간이 걸렸습니다.
회전하는 날개이기 때문에 계산이 좀 복잡합니다.
프롭의 날개를 각각의 요소로 나누어 이 각각의 요소의 에어포일에서 발생되는 양력과 항력을 추력과 회전토크의 성분으로 나누고 이를 적분하는 방식으로 계산을 하여야 합니다.




이해하기 쉽게 칼라로 그렸습니다. 프롭 날개 단면의 핏치는 β 입니다.
그러나 기체가 전진하면서 앞에서 불어오는 바람의 속도 V0에 의해서 실제 받음각은 α 가 됩니다.
프롭 날개가 V2의 속도로 회전하지만 실제로 날개에 적용되는 속도는 V1이 됩니다.
날개에서는 양력(Lift)과 항력(Drag)이 발생하고, 이를 추력(Thrust)과 회전토크(Torque)의 성분으로 나눌수 있습니다.

 (추력)
 (토크)

이 각각의 요소를 적분하면 다음과 같은 공식이 나옵니다.

T = CT(n2D4) (추력)
Q = CQ(n2D5) (토크)
(n 회전속도, D 프롭의 직경)

그냥 간단하게 생각해서 2엽은 날개가 두장이고, 3엽은 날개가 석장입니다.
핏치는 바꾸지 않는것이 좋습니다. 기체의 속도와 연관이 있기 때문입니다.
물론 날개(프롭 블레이드)의 형상도 같다는 조건입니다.

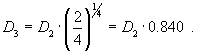
2엽프롭을 3엽프롭으로 바꿀때의 공식


2엽프롭을 4엽프롭으로 바꿀때의 공식



머리 아프시죠? 그냥 아래표만 보심 됩니다.



20인치 2엽프롭을 사용하고 있었다. 3엽으로 가려면 18인치를 사용하면 된다. 참 쉽죠잉?

다음검색
현재 게시글 추가 기능 열기

댓글

댓글 리스트
  • 작성자bf-109심 | 작성시간 15.12.02 좋은 글 감사합니다. 오랜만에 들어오자마자 좋은 정보 읽어 보네요~ &%^^
댓글 전체보기
맨위로

카페 검색

카페 검색어 입력폼