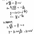
PEET 물리추론 14년 9번 작성자미생| 작성시간16.02.26| 조회수202| 댓글 2 본문 목록 댓글 리스트 작성자 미생 작성자 본인 여부 작성자 작성시간16.02.26 4번 더보기 신고 센터로 신고 카페 운영자 제보 작성자 미생 작성자 본인 여부 작성자 작성시간16.03.05 . 이미지 확대 더보기 신고 센터로 신고 카페 운영자 제보 이전 목록이 없습니다. 현재페이지 1 다음 목록이 없습니다.