CAFE

☞ 물리 (비댓 금지)

안녕하세요. 원운동 질문입니다!

작성자커커컥|작성시간16.08.30|조회수258 목록 댓글 2


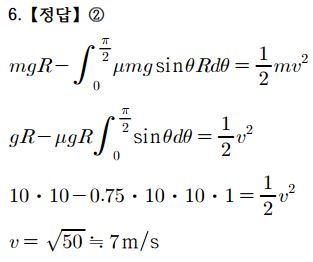
이 문제는 2010년 국가직 7급 물리학개론에 출제되었던 문제입니다.
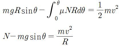
답은 2번으로 되어있고, 출제자가 의도한 풀이는 이런 것 같습니다.


그런데 이 풀이는 수직항력이 N=mgsinθ이라고 가정했을때 나오는 답입니다. 제 생각에는 수직항력은 N=mgsinθ로 일정하지 않고 다음의 방정식을 통해서 구해야 한다고 생각합니다.

윗식의 형태에서 v값을 아랫식에 대입하면 수직항력 N에 관한 방정식이 나오는데, 이 형태는 미분방정식으로 되어있어 풀이가 어렵습니다 ㅠㅠ 문제 출제가 잘못된 것일까요? 아니면 다른 풀이법이 있는지 궁금합니다!




다음검색
현재 게시글 추가 기능 열기

댓글

댓글 리스트
  • 작성자KurtCobain | 작성시간 16.08.30 저는 수직항력 N=mgsin(세타) 는 세타 값에 따라 달라지기 때문에 일정하지 않고 Rd(세타) 적분을 통해 마찰력이 한 일을 구할 수 있다고 생각합니다.
  • 작성자리퀴 | 작성시간 16.08.30 이 문제 학원강의에서 다루었는데 출제가 잘못되었다는 결론이었습니다..
    아래 방법이 맞긴 한데 시험에서 손으로 풀 수 있을 정도는 아닌듯 해요..ㅎ
댓글 전체보기
맨위로

카페 검색

카페 검색어 입력폼