CAFE

☞ 화학 (비댓 금지)

[유기화학]선생님들! 벤젠 친전자성 치환반응(EAS) 생성물 질문드립니다.

작성자정선생프로젝트|작성시간17.06.21|조회수734 목록 댓글 4





------♡ 서로 배려하는 물화생지 ♡------ (지우지 마세용)

1. 답변 달아주신 분께 감사의 댓글은 필수!

2. 모두 볼 수 있도록 비밀댓글은 금지!

3. 답변을 받은 후 질문글 삭제하지 않기!

4. 질문 전에 검색해보기! 질문은 구체적으로!

------♡ 서로 배려하는 물화생지 ♡------ (지우지 마세용)




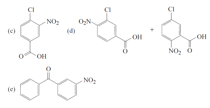
(솔로몬 11판(원서) 15.29 d 번과 e 번 문제에 대한 질문입니다.)


d 번 문제는 3-chlorobenzoic acid를 진한 HNO3/H2SO4와 반응시켰을 때 생성물을 묻고 있습니다.

정답은 위와 같이 3-chloro-4-nitrobenzoic acid (Cl에 ortho, CO2H에 para) 와

5-chloro-2-nitrobenzoic acid (Cl에 para, CO2H에 ortho) 두 가지가 써 있습니다.


저는 Cl에 meta, CO2H에 meta라고 생각하여 3-chloro-5-nitrobenzoic acid를 답으로 썼지만 틀렸네요.


제가 그렇게 생각한 이유는 -Cl은 ortho-para 지향성 불활성화기이고 -CO2H는 meta 지향성 불활성화기인데

지향성에 대한 두 치환기의 기여도를 보면

-Cl은 여타 ortho-para 지향성기(활성화기 포함)들 중 가장 미미한 영향을 가진 반면

-CO2H는 -CN, -SO3H 같은 meta 지향성기들보다 강한 영향을 가졌기 때문에

-CO2H의 기여가 -Cl의 기여보다 더 클 것이라고 판단했기 때문인데요.


정답의 이유를 제 나름대로 해석해 보자면

두 작용기 모두 불활성화기이고 -CO2H가 -Cl보다 더 강력한 불활성화기이므로

반응 속도와 지향성 모두 -Cl에 비해 더 적은 영향을 미치기 때문이 아닐까, 그렇게 생각해 봤습니다.


------------------------

e 번 문제는 벤조페논에 -NO2를 치환하는데,

1치환되는 -NO2기가 왜 위쪽의 meta 위치에만 들어가고 아래쪽 meta 위치에는 들어가지 않는지가 궁금합니다.

카보닐 탄소와 벤젠고리의 탄소가 단일 결합으로 이어져 있으니까 회전하면 똑같은 것 아니냐 하실 수도 있는데

컨쥬게이션 되어 있어서 회전이 매우 힘든 것으로 알고 있어서, 왜 위쪽 meta에만 들어가고 아래쪽 meta에는 들어가지 않는지 궁금합니다.

-CO(C6H5)의 입체 장애 때문에 가장 멀리 떨어진 곳을 찾아야 해서 그런 건가요?


-------------------------------------


열심히 구글링을 해봐도 마땅히 명쾌한 설명을 찾지 못하겠어서 물화생지에 선생님들의 의견을 여쭙고자 질문드립니다.


제 판단이 어떤 부분에서 틀린 것인지, 그리고 어떻게 해야 맞는 판단인지 알려주시면 감사하겠습니다.


다음검색
현재 게시글 추가 기능 열기

댓글

댓글 리스트
  • 작성자파람 | 작성시간 17.06.21 cl은 반응성이 낮지만 전자주기효과와유발효과로 인해서 카복실산보다 상대적으로 활성이커요... 불활성이긴하지만 그래서 우선순위를 cl에 놓고 푸시면 되고요
  • 작성자파람 | 작성시간 17.06.21 e번은 벤젠고리에 카복실기가붙어있다 생각하시고 푸시면 이해가 되지 않을까요... 예를 들면 왼쪽을 R로 두고 푸신다던지.. ㅎㅎ 카복실기는 메타지향이니 그기준에 따라 메타자리에 온다고 생각하시면 됩니다~
  • 작성자Kiaa | 작성시간 17.06.22 e번은 벤조페논 NMR 구글링을해보니까 왼쪽 오른쪽 탄소피크가 동일한것으로보아 동일한자리인것 같아요!
  • 작성자정선생프로젝트 작성자 본인 여부 작성자 | 작성시간 17.06.22 파람 / 전자 주는 효과 때문에 카복실기보다 더 중요한 치환기라는 말씀이시군요. 감사합니다! e 번 문제는 아래 Kiaa님이 잘 답변해주셨어요. 감사합니다!
    Kiaa / 아 그렇군요!! NMR 데이터를 찾아볼 생각은 못 했네요. 감사합니다ㅎㅎ
댓글 전체보기
맨위로

카페 검색

카페 검색어 입력폼