CAFE

☞ 화학 (비댓 금지)

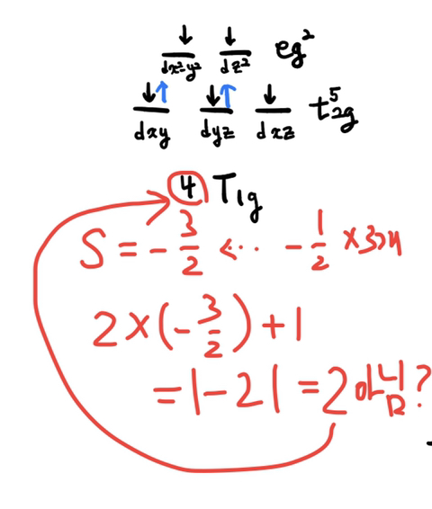
스핀다중도는 왜 4인가요

작성자곧합격|작성시간21.04.25|조회수2,506 목록 댓글 4

------♡ 서로 배려하는 물화생지 ♡------ (지우지 마세용)

1. 답변 달아주신 분께 감사의 댓글은 필수!

2. 모두 볼 수 있도록 비밀댓글은 금지!

3. 답변을 받은 후 질문글 삭제하지 않기!

4. 질문 전에 검색해보기! 질문은 구체적으로!

------♡ 서로 배려하는 물화생지 ♡------ (지우지 마세용)

스핀다중도가 제생각엔 2같은데 왜 4일까요..

d7 상관도표 관련이에요

다음검색
현재 게시글 추가 기능 열기

댓글

댓글 리스트
  • 작성자2022최종합격 | 작성시간 21.04.25 스핀다중도는 쉽게 계산하려면 홀전자수+1 해주면 되고요,
    정석대로라면 홀전자를 다 1/2로 계산하기 때문에 2*(3/2)+1=4입니다
  • 답댓글 작성자곧합격 작성자 본인 여부 작성자 | 작성시간 21.04.26 그런 쉬운방법이 있었군요 도움주셔서 감사합니다
  • 작성자유기조하 | 작성시간 21.04.25 스핀다중도를 계산할 때는 홀전자들이 가질 수 있는 스핀 총합의 최댓 값을 써주시면 됩니다.

    S = 시그마(Ms) 로 홀전자가 가질 수 있는 스핀은 -1/2, +1/2 두가지 인데,
    홀전자가 3개 이므로 S는 홀전자 스핀의 최대 총합 = +3/2가 되는 것 입니다.
  • 답댓글 작성자곧합격 작성자 본인 여부 작성자 | 작성시간 21.04.26 그래서 4였군요 답답했는데 정말 감사합니다
댓글 전체보기
맨위로

카페 검색

카페 검색어 입력폼