CAFE

☞ 화학 (비댓 금지)

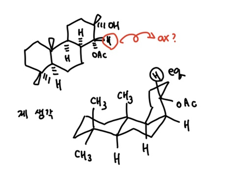
[유기화학]사이클로알케인 축방향 적도방향

작성자이주간불태우자!|작성시간21.11.14|조회수431 목록 댓글 4

------♡ 서로 배려하는 물화생지 ♡------ (지우지 마세용)

1. 답변 달아주신 분께 감사의 댓글은 필수!

2. 모두 볼 수 있도록 비밀댓글은 금지!

3. 답변을 받은 후 질문글 삭제하지 않기!

4. 질문 전에 검색해보기! 질문은 구체적으로!

------♡ 서로 배려하는 물화생지 ♡------ (지우지 마세용)


저는 표시한 수소가 적도 방향이라고 생각했는데 답은 축 방향이라고 하네요!
하나하나 번갈아가면서 그려본건데도 헷갈리네요,,,
혹시 시스로 바뀔때 축이랑 적도 방향도 바뀌나요? 맥머리에도 정확한 설명이 없는거같아요ㅠㅠ
답변 부탁드립니다!

다음검색
현재 게시글 추가 기능 열기

댓글

댓글 리스트
  • 작성자힘을내라고! | 작성시간 21.11.15 축방향입니다. 벤치형의 튀어나온 쪽이 축방향, 벤치형골격과 같은 방향이 수평방향입니다. 댓글 첨부 이미지 이미지 확대
  • 답댓글 작성자이주간불태우자! 작성자 본인 여부 작성자 | 작성시간 21.11.15 설명 감사합니다!
  • 작성자드브로이 파장 | 작성시간 21.11.14 선생님이 그리신 화합물을 90도 돌려서 보면 축/적도 방향을 명확하게 구분할 수 있을 것 같아요~!
  • 답댓글 작성자이주간불태우자! 작성자 본인 여부 작성자 | 작성시간 21.11.15 네! 감사합니다!!
댓글 전체보기
맨위로

카페 검색

카페 검색어 입력폼