CAFE

☞ 화학 (비댓 금지)

[유기화학]H2/Pd 환원

작성자polar star|작성시간15.06.12|조회수3,522 목록 댓글 4

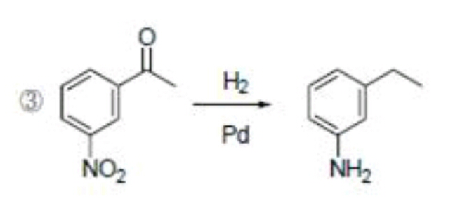
MD기출 문제에서 맞는 보기인데요~ 케톤까지 환원되었는데 이유가 무엇인가요??? 예외인건가요??

다음검색
현재 게시글 추가 기능 열기

댓글

댓글 리스트
  • 작성자올랭피오의별 | 작성시간 15.06.12 벤질자리 케톤은 환원가능합니다
  • 답댓글 작성자polar star 작성자 본인 여부 작성자 | 작성시간 15.06.13 아..고리전류로인한 유발자기장때문에 더 벗겨져서 환원이 쉬운건가요?
  • 답댓글 작성자올랭피오의별 | 작성시간 15.06.13 polar star 이유까지는 설명이 안되있긴 했는데,
    Wolf-kishner 환원, Clemmensen 환원, 벤질자리 카보닐의 팔라듐촉매 수소화 환원
    세가지가 대표적인 벤젠에 붙은 카보닐기 환원반응이에요
  • 답댓글 작성자polar star 작성자 본인 여부 작성자 | 작성시간 15.06.12 올랭피오의별 아... 정말 감사합니다^^
댓글 전체보기
맨위로

카페 검색

카페 검색어 입력폼