CAFE

[천문]하이탑 지1 표준우주모형 질문

작성자뇨와|작성시간20.01.09|조회수2,029 목록 댓글 2
가속팽창우주가 밀도변수=1이라 평탄우주라는데 왜 밀도변수가 1인건지 모르겠어요.
밑에 임계우주 : 우주의밀도가 임계밀도와 같으며~ 라고 나오는데 이게 밀도변수=1 인거 아닌가요? 잘 모르겠습니다

다음검색
현재 게시글 추가 기능 열기

댓글

댓글 리스트
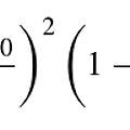
  • 작성자난두 | 작성시간 20.01.19 우주론 부분은 대부분 수식이 먼저 나온겁니다. 그냥 수식적으로 이런게 나와야되는구나 생각하면 됩니다.
    프리드만 방정식을 잘 변형하면 K값(기하적으로 모양이 어떤지) 과 밀도분포를 연결시켜주는 식이 나옵니다.

    이 식에서 정의된 값이 임계밀도 입니다.
    K값의 부호를 결정지어줍니다.
    즉, 임계밀도를 도입하면 밀도/임계밀도 비율을 이용해 우주의 기하적인 모형을 결정할수있습니다

    자세한 설명은 현대천체물리학이나 relativiry, gravitation and cosmology 책에 나와있습니다. 천천서 쪽은 설명이 어떤지 안 봐서 자세히 나왔는지 모르겠네요
    댓글 첨부 이미지 이미지 확대
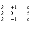
  • 답댓글 작성자난두 | 작성시간 20.01.19 그럼 여기서 암흑 에너지 값이 이 비율에 들어가냐 안 들어가냐로 평탄우주가 두 타입으로 나뉘게 되는겁니다
    즉, 본문에 대한 답은 암흑에너지 유무.

    댓글 첨부 이미지 이미지 확대
댓글 전체보기
맨위로

카페 검색

카페 검색어 입력폼