CAFE

정역학평형

작성자뮤뮤죠뮤|작성시간24.10.21|조회수268 목록 댓글 4

------♡ 서로 배려하는 물화생지 ♡------ (지우지 마세용)

1. 답변 달아주신 분께 감사의 댓글은 필수!

2. 모두 볼 수 있도록 비밀댓글은 금지!

3. 답변을 받은 후 질문글 삭제하지 않기!

4. 질문 전에 검색해보기! 질문은 구체적으로!

------♡ 서로 배려하는 물화생지 ♡------ (지우지 마세용)

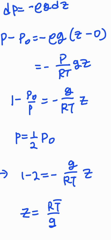
첫번째 문제 구할 때, 이렇게 구하면 틀리게되는데 어느부분에서 실수한걸까요ㅠ

다음검색
현재 게시글 추가 기능 열기

댓글

댓글 리스트
  • 삭제된 댓글입니다.
  • 답댓글 작성자뮤뮤죠뮤 작성자 본인 여부 작성자 | 작성시간 24.10.21 왜 적분으로 풀어야하나요? dp=p-po로 풀면 안되는 이유가 궁금해요@
  • 작성자이유식 | 작성시간 24.10.22 적분구간을 설정해야 하는 이유는 대기의 밀도와 압력은 지수적으로 하강하기 때문입니다
  • 답댓글 작성자뮤뮤죠뮤 작성자 본인 여부 작성자 | 작성시간 24.10.22 아 그렇군요 감사합니다!
댓글 전체보기
맨위로

카페 검색

카페 검색어 입력폼