CAFE

P파가 S파보다 빠른 이유

작성자치즈케익|작성시간11.03.15|조회수1,447 목록 댓글 3

 P파가 S파보다 빠른 이유가 뭔가요?

 

             

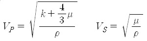
  (k=체적탄성계수 , μ=강성률)

 

 

제가 알고 있는 건

위 식에서 P파는 분자에 체적탄성계수 항이 하나 더 포함됨으로 인해서 S파보다 값이 더 크게 나온다고 알고 있는데요..

 

제가 알고 싶은 것은..

위 식으로 말고,, 그냥 물리적인 개념으로 설명할 수 있는 방법은 없는지 알고 싶어요ㅠㅜ

애들한테 쉽게 설명해주고 싶어서요..

다음검색
현재 게시글 추가 기능 열기

댓글

댓글 리스트
  • 작성자이번엔합격 | 작성시간 11.03.16 P파와 S파의 움직임을 생각해보면 될꺼 같습니다. 예를 들어 P파는 사람들이 옆으로 빽빽하게 서 있을때 서로 옆으로 밀면서 움직여 전파되는 거라면 S파는 앉았다 일어났다 하면서 파도타기처럼 전파되는 걸로 생각한다면 P파가 S파보다 훨씬 빨리 전파되는 이유를 학생들에게도 쉽게 이야기할 수 있지 않을까요?
  • 작성자치즈케익 작성자 본인 여부 작성자 | 작성시간 11.03.16 오우~감사드려요~
  • 작성자미니샘~ | 작성시간 11.03.23 저는 학생들에게 P파와 S파는 지진파의 도달하는 순서로 이름을 붙였다고 가르치는데요...빠르기 순으로요~ P파는(Primary wave)의 약자고, S파는(Secondary wave)의 약자~ ^^
댓글 전체보기
맨위로

카페 검색

카페 검색어 입력폼