CAFE

ㅡ 공지사항 ㅡ

[게재대행] 제35기 장애인탁구 심판강습회 2, 3급 합격자 명단 공지

작성자서울장애인탁구|작성시간25.12.21|조회수30 목록 댓글 0

안녕하세요 대한장애인탁구협회입니다.

 

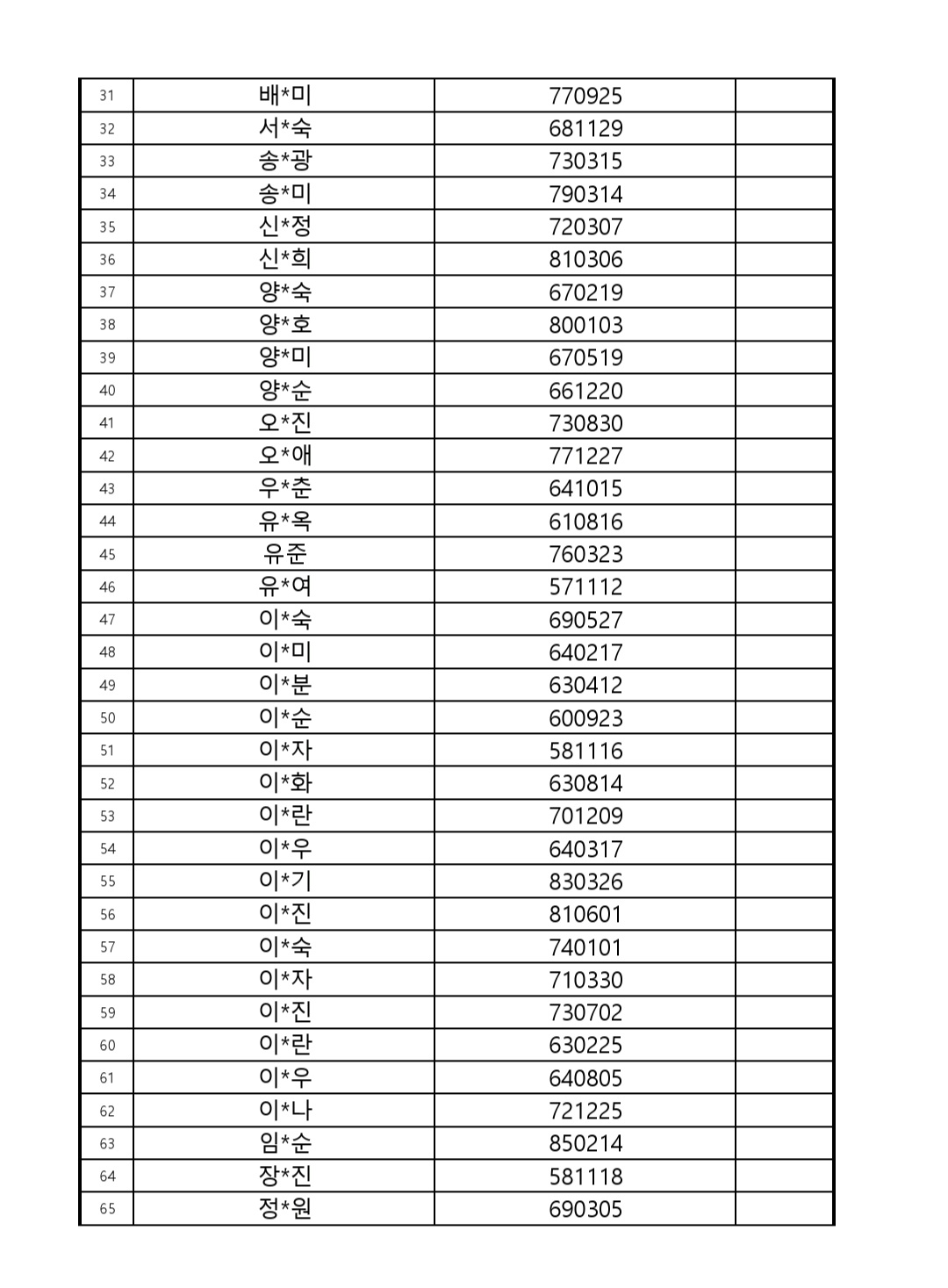
2025년 제35기 장애인탁구 심판강습회 2,3급 합격자 명단을 다음과 같이 공지합니다.

 

□ 2025년 제35기 장애인탁구 심판강습회 개요

 ○ 개최일시: 2025. 11. 21.(금)

 ○ 개최장소: 전라북도 익산시 종합운동장

 

합격여부는 첨부파일을 확인하여 주시기 바랍니다.

 

※자격증은 참가신청서에 기재하신 주소로 발송될 예정입니다.

 

붙임 1. 2025년 제35기 장애인탁구 심판강습회 2급 합격자 명단 1부.

        2. 2025년 제35기 장애인탁구 심판강습회 3급 합격자 명단 1부. 끝.

 

다음검색
현재 게시글 추가 기능 열기

댓글

댓글 리스트
맨위로

카페 검색

카페 검색어 입력폼