CAFE

◈ 안산김씨 이야기

[스크랩] 안김 독립운동가 김경념, 김정극, 김정련

작성자희망나라|작성시간12.09.17|조회수596 목록 댓글 0

 

 

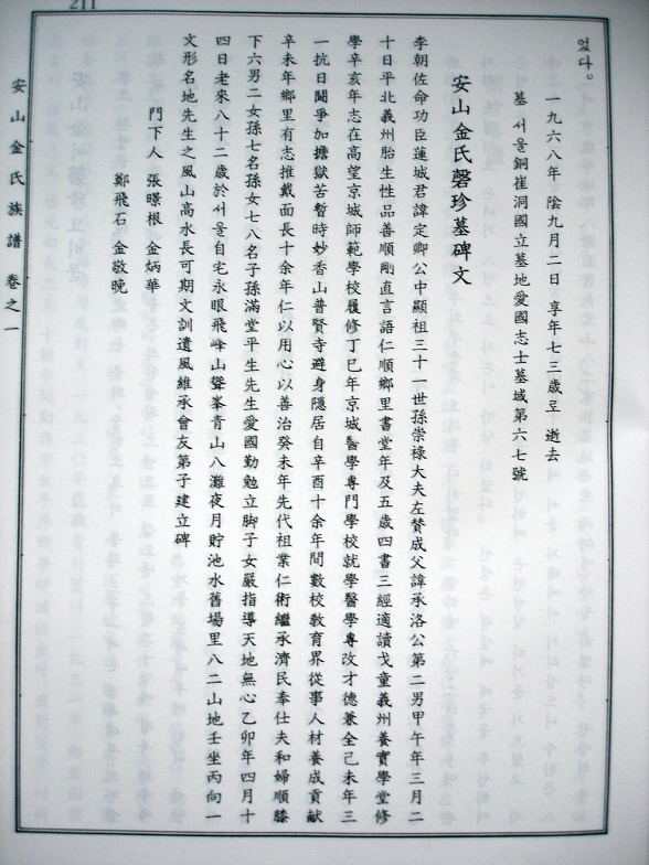
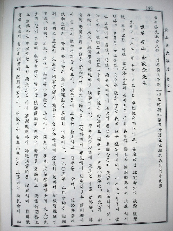
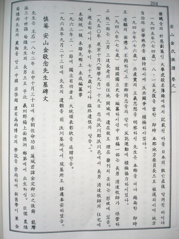
김경념 (金敬念 1882년-1950년)

 

 

독립운동가 / 교육자 

자 : 의전,호 : 신암

지역 : 경기도 안산시

시대 : 근대 / 일제강점기

출신지 : 경기도 안산시

본관 : 안산 (安山) / 상호군 휘 암(巖) (의주파)

: 경기도 시흥군 소래면 금리리(始興郡 蘇萊面 錦利里)

       1965년 충북 옥천에서 이장

 

일제강점기 안산 출신의 독립운동가이자 교육자.

 

본관은 안산(安山), 자는 의전(義田), 호는 신암(愼庵)이다. 아버지는 김정락(金定洛)이다. 1882년(고종 19) 지금의 경기도 안산 지역에서 출생하였다.

 

김경념은 5세에 한문과 서예를 사사하였고, 약관 20세에 사서삼경(四書三經)과 독학으로 사학과 법제·경제학을 두루 섭렵하였다.

 

1897년 신문화 수입을 주창하면서 부조금제의 폐지 등 신생활 운동을 전개하였다.

 

1905년 을사조약으로 조국의 위기를 직감한 김경념은 청소년들에게 국가 수호의 정신을 함양시키기 위하여 신교육기관인 옥성(玉成)·흥명(興明)·오봉(五鳳)·선화(善化)·남제(南薺) 등의 소학교를 위시하여 동지인 최광옥(崔光玉)[백낙준 전 연세대학교 총장의 장인]과 함께 각처에 초등학교 및 강습소를 설치하여 교육자 양성과 청소년 교육에 힘썼다.

 

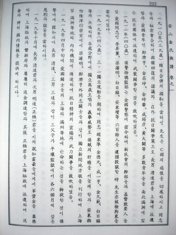
그 뒤 안창호가 주도하는 신민회에 가입하여 비밀결사와 국권 회복의 모의 및 국내외 항일 투쟁책으로 장남인 김청달(金淸達)을 상하이에, 2남인 김명달(金明達, 다른이름 정극 正極)을 만주에 파견한 것이 발각되어 안병찬(安秉瓚) 등과 함께 체포되어 옥고를 치렀다.

 

1919년 3·1운동이 일어나자 조병준(趙炳準)·백일진(白日鎭) 등과 함께 각처에서 독립운동을 주도하였다.

 

특히, 안동현 이륭양행(怡隆洋行) 밀실에서 양준명(梁俊明) 등과 『독립신문』 지방판을 간행해 만주와 국내에 배달하여 항일정신을 고무하였다.

 

1919년 4월부터 국내 애국지사들이 상하이와 만주로 망명할 때 경의선 비현역과 백마역 중간 지점인 연대산장에서 하루를 묵으면서 압록강을 무사히 건널 수 있게 안내한 것이 일본 경찰에 발각되어, 장남·3남과 함께 삼부자가 체포되어 평양감옥에서 1년 반 동안 옥고를 치렀다.

 

그 뒤 독립 자금을 모집하여 10여 차례 임시정부에 송금하였고, 1920년에는 임시정부 연통제(聯通制)의 용천군 참사(參事)로 임명되어 활동하다가 일본 경찰에 체포되어 평양감옥에서 복역하였다. 이듬해 기독교에 입교하였고 1923년에는 선교사 매큔의 요청으로 선천(宣川)의 신성중학교·보성여학교의 교원이 되어 학생들의 애국정신을 함양하였다.

 

광복 후에는 반탁 운동에 참가하였고, 개성에 있는 3남인 김삼달(金三達) 자택에서 『대한독립사(大韓獨立史)』를 편찬하다가 충청북도 옥천에 있는 장남 자택에서 1950년 향년 79세를 일기로 세상을 떠났다.

 

1963년 대통령표창이 추서되었다.

 

[참고문헌]

『대한민국독립유공자공훈록』(국가보훈처, 1985)

『시흥군지』(시흥군지편찬위원회, 1988)

『경기인물지』(경기도, 1991)

『경기도항일독립운동사』(경기도사편찬위원회, 1995)

『안산시사』(안산시사편찬위원회, 1999)

 

-----------------------------------------------

 

김정극 (金正極 1897 ~1970) 다른이름 : 김명달(金明達)

 

 

별명 : 명달(明達)·창의(昌義)

활동분야 : 독립운동

출생지 : 평북 용천

본관 : 안산 (安山) / 상호군 휘 암(巖)파 (의주파)

 

1920년 대한민국 임시정부의 이름으로 발행된 여권 (김정극 : 안산김씨)

 

여행증서 제 14호

성명 김정극

년 25세

(주?) 평안북도 용천군 양광면 용덕리

직업 학업

우인이 유학차로 미국에 여행하는바 여행증서를 자에 발급하노니 우인의 경로와 체류간에 귀국 관리는 상당한 보호와 편의 주심을 희망

대한민국외무총장대리차장 정인과

대한민국 2년 4월 22일

외사국장

 

 

이 여권은 같은 내용을 영문, 불문, 소련어로 각각 쓴 문서와 함께 발행되었다.

 

 

 

 

 

 

 

 

 

     

독립운동가. 본관은 안산(安山) 아버지는 독립운동가 겸 교육자이신 김경념 (金敬念1882년-1950년) 이다.

상해임시정부에서 발행한 여권이 유일하게 남아있는 주인공이다.

 

별명은 명달(明達)·창의(昌義). 1910년 만주로 건너가 독립운동 단체에 가입한 후 형인 청달(淸達)과 연락을 주고받으며 국내와의 연락을 담당하였다.

 

1919년 고향에서 3·1만세시위에 참가한 뒤 다시 만주로 건너가 1920년 대한민국임시정부의 자금 조달과 연통제(聯通制) 실시를 위해 활약했다.

 

같은 해 상하이임시정부 외무부의 구미 유학생으로 선발되어 미국으로 건너가 버지니아 주 오로녹 대학에서 공부를 했다. 그러면서 조국의 실정을 각국에 호소하는 한편 대한국민회 청년혈성단 지방부를 조직하고 군자금 모집 활동을 벌였다.

 

1931년 귀국하여 김포공항장을 역임한 후 농촌진흥운동을 전개했다. 1963년 대통령표창, 1990년 건국훈장 애족장이 추서되었다.

 

참조항목 : 일제강점기

역참조항목 : 대한국민회 

 

김정극  : 1897. 6.28 ~ 1970. 7. 2

출생지 : 평북 용천

운동계열 : 군자금모집

 

평북 용천(龍川) 사람이다.일찍부터 지방청년들과 함께 민족사상을 고취하다가 1919년 고향에서 3·1독립운동 시위에 참가하였다고 한다.

 

그후 임시정부 연통제(聯通制)에 의한 연락망을 조직하고 군자금 조달 등의 활동을 하였다.

 

1920년 임시정부 외무부의 구미 유학생으로 선발되어 도미(渡美), 버지니아주 오로녹대학에 유학하였다. 이곳에서 조국의 실정을 각국에 호소하는 한편 청년 혈성단(血誠團)을 조직하여 군자금 모집활동을 벌였다고 한다.

 

광복 후에는 김포공항장(空港長)을 역임하였다.정부에서는 고인의 공훈을 기리어 1990년에 건국훈장 애족장(1963년 대통령표창)을 추서하였다.  註 한국독립사(김승학) 하권 126면

 

독립운동 관련 판결문

 

이름/별명 : 김정극(金正極)

당시나이 : 37세

본적/주소

함경남도 영흥군 고령면 연동리 276번지(본적)

중국 지나 간도 연길현 수신향 평강 개척리(주거)

판결기관 : 경성복심법원

죄명 : 치안유지법위반

주문 : 1심 무죄 2심 검사공소 공소취하

관리번호 : CJA0016614

판결날짜 : 1심 1927.

M/F번호 : 93-617

---------------------------------------- 

이름/별명 : 김정극(金正極)

당시나이

본적/주소

판결기관 : 간도총영사관

죄명 : 치안유지법위반

생산년도

주문 : 검사 공소취하 무죄

관리번호 : CJA0016616

판결날짜 : 1927.06.01

M/F번호 : 93-617

 

=================================================

 

김정련 (金正蓮) 독립운동가

 

애국지사 김정련 (김정연)의 묘 : 동작동 국립묘지

 

1895. 9. 27(고종 32) - 1968. 10. 23

호 : 진혼(震魂)

출신지 : 평안북도 용천 / 사망 : 서울

관련사건 : 3ㆍ1운동

안장 : 서울 애국지사묘역-67

본관 : 안산 (安山)

 

호는 진호, 평양의 숭실중학교 졸, 숭실전문학교 졸

일명 정연(正淵), 호는 진혼(震魂). 평안북도 용천 출신.

 

향리의 오암서원(梧巖書院)에서 7년간 한학을 배운 뒤, 평양의 숭실중학교(崇實中學校)를 거쳐 숭실전문학교를 졸업하였다.

전문학교 재학 중 항일 활동을 한 혐의로 여러 차례 구금된 일이 있다. 그 뒤 숭덕소학교(崇德小學校)와 숭실중학교 교사로 근무하였으며, 1919년 3·1운동 때에는 만세 시위에 참가하였다가 일본 경찰에 붙잡혀 태형(笞刑) 90도를 선고받았다.

 

1919년 8월 신덕영, 최양옥 등과 함께 대동단의 전협과 연락, 전남 군자금 모집 활동으로 징역 7년 구형을 받았으나 증거불충분으로 석방 되었다.

1919년 8월 전라남도 광주로 옮겨 숭일중학교(崇一中學校) 등지에서 항일 교육을 펼치다가, 징역 8월에 집행유예 2년 6월을 언도받았다.

 

1920년 10월 부한청년단원(扶韓靑年團員)인 신덕영(申德永)·최양옥(崔養玉) 등과 함께 대동단(大同團)의 전협(全協)과 연락을 맺으면서 전라남도 지역을 중심으로 군자금 모집 활동을 하다가, 일본 경찰에 체포되어 징역 7년형을 구형 받았으나 증거 불충분으로 풀려 나왔다.

 

그 뒤 해외로 망명하여 상해·북경 등지를 거쳐 산시성 타이위안부(山西省太原府)로 가서 안창남(安昌男)·이용화(李容華)·정동석(鄭東錫)·노중현(盧仲鉉) 등과 같이 대한독립군의 공명단(共鳴團)에 가입하여 활약하다가, 일본의 밀정에게 붙잡혀 징역 2년6월형을 언도받고 톈진(天津)의 일본 감옥에서 옥고를 치렀다.

 

출옥 후 1927년 비행사 안창남 등과 함께 독립군 비행사를 양성하기 위하여 비행학교 설립을 계획하고, 그에 필요한 기금 모집과 공명단 지부를 서울에 설치할 목적으로 공명단장 최양옥, 단원 이선구(李善九)와 함께 1929년 국내로 잠입하였다.

 

잠입한 뒤 서울 교외 망우리 근처에서 일본의 우편차를 습격하여 돈을 빼앗은 뒤 강원도 쪽으로 향하였으나, 이들을 추격한 일본 경찰과 1주일 여의 항전을 벌이다가 붙잡혔다. 이 때문에 그는 징역 8년형을 언도받아 옥고를 치렀다. 1962년 3월 1일 건국공로훈장 독립장이 수여(추서)되었다.

 

참고문헌

韓國獨立史(金承學, 統一問題硏究會, 1965)

독립운동사 7(독립운동사편찬위원회, 1976)

독립운동사자료집 14(독립운동사편찬위원회, 1978)

 

출처 : 한국민족문화대백과, 1996.1.5, 한국학중앙연구원

 

독립운동 관련 판결문

이름/별명 : 김정련(金正連)

당시나이 : 27세

본적/주소 : 전라남도 광주군 효천면 양림리

판결기관 : 광주지방법원형사부

죄명 : 대정8년 제령 제7호 위반, 공갈, 가택침입, 방화미수,

         총포화약류 취체령 시행규칙위반

생산년도 : 1921

주문 : 무죄

관리번호 : CJA0001960

판결날짜 : 1921.05.31

M/F번호 : 00960598

 

 

 

 

 

-----------------------------------------------

 

항일투사 김성진 (묘 : 화성군 팔탄면 구장리 華城郡 八灘面 舊場里)

抗日鬪士 鶴塢 諱 聲鎭 之 墓 (항일투사 학오 휘 성진 지 묘)

 

-----------------------------------------------

 

신암 김경념 (金敬念) 선생

 

 

 

 

 

 

 

 

 

 

김정극 지사 (金正極, 다른이름 김명달)

 

 

 

 

김정련 지사 (金正蓮)

 

 

 

  

 

다음검색
스크랩 원문 : 안 산 김 씨
현재 게시글 추가 기능 열기

댓글

댓글 리스트
맨위로

카페 검색

카페 검색어 입력폼