CAFE

핵심 1500제 9장 개념확인문제 2번

작성자윤이|작성시간25.07.11|조회수86 목록 댓글 1

양식을 지키지 않으면 예고없이 강등될 수 있습니다.

<제목양식>

강의교재 질문: 해당과정, 단원, 문제번호 명시 (적중 2000제 17장 전기화학 34번)

편입기출문제 질문 : 학교, 연도, 문제번호를 명시(중앙대 2022년도 12번)

 

<질문글 양식>

1. 질문이 2개 이상일 때 각각의 질문마다 번호를 붙여주세요.

2. 한번에 한 문제에 대해서만 질문 해주세요.

3. 문제의 그림이나 사진을 첨부하시면 답변을 빨리 받으실 수 있습니다.

4. 한번에 정확히 질문해주세요. 답변에 대한 추가댓글 질문 X

5. '이렇게 풀면 왜 답이 안나오나요?' 유형의 질문 X 


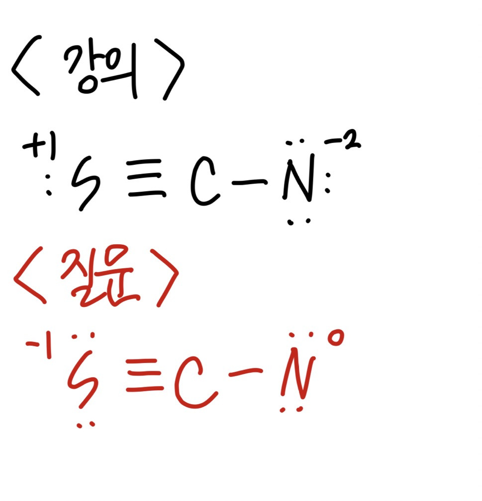
 Q. 강의에서는 (다)를 질소가 형식전하가 -2가 되게끔 설명하셨는데 '사진'의 구조도 맞는 공명구조인건가요?

사진처럼 공명구조를 그리면 질소의 형식전하가 0이 되어서 4번의 선지와는 맞지 않지만 또 다른 공명구조가 될 수 있을 것 같아서요.

다음검색
현재 게시글 추가 기능 열기

댓글

댓글 리스트
  • 작성자박인규 | 작성시간 25.07.11 교재사진의 (다)에서 S에는 비공유전자쌍 수는 2가 아니라 1입니다. 아래의 사진의 빨간 그림도 잘못되었습니다. S의 원자가전자가 10개로 옥텟규칙을 위반하기 때문입니다.
댓글 전체보기
맨위로

카페 검색

카페 검색어 입력폼