수학의 한 분야인 환론(環論, 영어: ring theory)은 환(정수의 집합처럼 좋은 성질을 가진 덧셈과 곱셈 연산이 주어진 집합)을 주 대상으로 한다.
환론의 주요 주제로는 환의 표현(혹은 가군)이나 군환, 나눗셈환, 보편포락대수 등의 특수한 환 및 인접 분야인 호몰로지 대수학 등이 있다.
가환환은 비가환환보다 훨씬 많은 성질이 알려져 있으며, 대수기하학 및 대수적 수론과 깊은 관련이 있는 가환대수학의 하위 분야이다. 최근(1980년대 이후)에는 비가환 기하학과 양자군 등의 이론이 나타나면서 비가환환에 대해서도 상당한 연구가 이루어지고 있다.
환의 연구는 다항식환 및 대수적 정수의 이론으로부터 출발했다.
환의 개념은 리하르트 데데킨트가 도입했으며, 처음으로 환(Zahlring)이라는 용어가 사용된 것은 다비트 힐베르트의 글[1] 에서였다.
아브라함 프렝켈은 1914년 논문에서[2] 처음으로 환을 엄밀히 정의했으며, 에미 뇌터는 1921년의 논문 〈Ideal Theory in Rings〉에서 가환환 이론에 대한 공리적 기초를 나타내었다.
----------------------------------
물리학에서, 뇌터의 정리(-定理, 영어: Noether's theorem)란 어떤 미분가능한 한 물리계의 작용의 대칭성이 하나의 보존법칙에 대응된다는 것이다.
여기서 한 물리계의 작용이란 최소작용의 원리에 의해 결정되는 계의 행동으로부터 유도되는 한 라그랑지안 함수의 시간적분(또는 라그랑지안 밀도함수의 공간적분)이다.
뇌터 정리는 현대 이론 물리학과 변분법의 기본적인 도구이며, 라그랑주 역학으로 다룰 수 있는 모든 계에 적용된다.
다만, 순수 라그랑주 역학으로 다룰 수 없는 계들도 존재한다. 예를 들어, 마찰이나 점성이 있는 계의 경우, 레일리 흩어지기 함수(Rayleigh dissipation function)를 사용하여야 한다.
이 경우, 연속적인 대칭이 존재하지만 이에 대응되는 보존 법칙이 존재하지 않을 수도 있다.
독일의 수학자 에미 뇌터가 1915년에 증명하고, 1918년 출판하였다.[1]
장론에서의 뇌터 정리
어떤 대칭에 의하여 장과 시공 좌표가 무한소의 대칭 변환에 대하여 다음과 같이 변환한다고 하자.
- ′ μ = x μ + δ ϵ x μ {\displaystyle x'^{\mu }=x^{\mu }+\delta _{\epsilon }x^{\mu }}

- ′ ( x ′ ) = ϕ ( x ) + δ ϵ ϕ ( x ) = ϕ ( x ′ ) + δ ϵ ϕ ( x ′ ) − ∂ μ ϕ ( x ′ ) δ ϵ x μ ( x ′ ) {\displaystyle \phi '(x')=\phi (x)+\delta _{\epsilon }\phi (x)=\phi (x')+\delta _{\epsilon }\phi (x')-\partial _{\mu }\phi (x')\delta _{\epsilon }x^{\mu }(x')}

만약 작용이 라그랑지언에 대하여 불변이라면, 라그랑지언의 변환은 어떤 벡터장의 발산이어야만 한다.
- ( ϕ ′ ( x ) , ϕ ′ ( x ) , x ) − L ( ϕ ( x ) , ϕ ( x ) , x ) = ∂ μ ( ϵ J μ ( x ) − δ ϵ x μ L ( x ) ) {\displaystyle {\mathcal {L}}(\phi '(x),\phi '(x),x)-{\mathcal {L}}(\phi (x),\phi (x),x)=\partial _{\mu }(\epsilon J^{\mu }(x)-\delta _{\epsilon }x^{\mu }{\mathcal {L}}(x))}

(만약 라그랑지언이 정확히 불변이라면 = 0 {\displaystyle J=0}
이 된다.) 이제
- ( ϕ ′ ( x ) , ϕ ′ ( x ) , x ) − L ( ϕ ( x ) , ϕ ( x ) , x ) = ( ∂ L ∂ ϕ + ∂ L ∂ ( ∂ μ ϕ ) ∂ μ + ∂ L ∂ ( ∂ μ ∂ ν ϕ ) ∂ μ ∂ ν + ∂ L ∂ ( ∂ μ ∂ ν ∂ ρ ϕ ) ∂ μ ∂ ν ∂ ρ + ⋯ ) ( ϕ ′ ( x ) − ϕ ( x ) ) {\displaystyle {\mathcal {L}}(\phi '(x),\phi '(x),x)-{\mathcal {L}}(\phi (x),\phi (x),x)=\left({\frac {\partial L}{\partial \phi }}+{\frac {\partial L}{\partial (\partial _{\mu }\phi )}}\partial _{\mu }+{\frac {\partial L}{\partial (\partial _{\mu }\partial _{\nu }\phi )}}\partial _{\mu }\partial _{\nu }+{\frac {\partial L}{\partial (\partial _{\mu }\partial _{\nu }\partial _{\rho }\phi )}}\partial _{\mu }\partial _{\nu }\partial _{\rho }+\cdots \right)\left(\phi '(x)-\phi (x)\right)}
- δ L δ ϕ ( ϕ ′ ( x ) − ϕ ( x ) ) + ∂ μ ( ∂ L ∂ ( ∂ μ ϕ ) ( ϕ ′ ( x ) − ϕ ( x ) ) ) + ∂ μ ( ∂ ν ( ϕ ′ ( x ) − ϕ ( x ) ) ∂ L ∂ ( ∂ μ ∂ ν ϕ ) ) − ∂ μ ( ( ϕ ′ ( x ) − ϕ ( x ) ) ∂ ν ∂ L ∂ ( ∂ μ ∂ ν ϕ ) ) + ⋯ {\displaystyle ={\frac {\delta {\mathcal {L}}}{\delta \phi }}\left(\phi '(x)-\phi (x)\right)+\partial _{\mu }\left({\frac {\partial L}{\partial (\partial _{\mu }\phi )}}\left(\phi '(x)-\phi (x)\right)\right)+\partial _{\mu }\left(\partial _{\nu }\left(\phi '(x)-\phi (x)\right){\frac {\partial {\mathcal {L}}}{\partial (\partial _{\mu }\partial _{\nu }\phi )}}\right)-\partial _{\mu }\left(\left(\phi '(x)-\phi (x)\right)\partial _{\nu }{\frac {\partial {\mathcal {L}}}{\partial (\partial _{\mu }\partial _{\nu }\phi )}}\right)+\cdots }

이다. 여기서
- L δ ϕ = ∂ L ∂ ϕ − ∂ μ ∂ L ∂ ( ∂ μ ϕ ) + ∂ μ ∂ ν ∂ L ∂ ( ∂ μ ∂ ν ϕ ) − ∂ μ ∂ ν ∂ ρ ∂ L ∂ ( ∂ μ ∂ ν ∂ ρ ϕ ) + ⋯ {\displaystyle {\frac {\delta {\mathcal {L}}}{\delta \phi }}={\frac {\partial {\mathcal {L}}}{\partial \phi }}-\partial _{\mu }{\frac {\partial {\mathcal {L}}}{\partial (\partial _{\mu }\phi )}}+\partial _{\mu }\partial _{\nu }{\frac {\partial {\mathcal {L}}}{\partial (\partial _{\mu }\partial _{\nu }\phi )}}-\partial _{\mu }\partial _{\nu }\partial _{\rho }{\frac {\partial {\mathcal {L}}}{\partial (\partial _{\mu }\partial _{\nu }\partial _{\rho }\phi )}}+\cdots }

는 변분이다. 따라서,
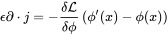
- j μ = J μ − δ ϵ x μ L − ∂ L ∂ ( ∂ μ ϕ ) ( ϕ ′ ( x ) − ϕ ( x ) ) − ∂ ν ( ϕ ′ ( x ) − ϕ ( x ) ) ∂ L ∂ ( ∂ μ ∂ ν ϕ ) + ( ϕ ′ ( x ) − ϕ ( x ) ) ∂ ν ∂ L ∂ ( ∂ μ ∂ ν ϕ ) + ⋯ {\displaystyle \epsilon j^{\mu }=J^{\mu }-\delta _{\epsilon }x^{\mu }{\mathcal {L}}-{\frac {\partial L}{\partial (\partial _{\mu }\phi )}}\left(\phi '(x)-\phi (x)\right)-\partial _{\nu }\left(\phi '(x)-\phi (x)\right){\frac {\partial {\mathcal {L}}}{\partial (\partial _{\mu }\partial _{\nu }\phi )}}+\left(\phi '(x)-\phi (x)\right)\partial _{\nu }{\frac {\partial {\mathcal {L}}}{\partial (\partial _{\mu }\partial _{\nu }\phi )}}+\cdots }
- J μ − δ ϵ x μ L − ∂ L ∂ ( ∂ μ ϕ ) ( δ ϵ ϕ − δ ϵ x μ ∂ μ ϕ ) − ∂ ν ( δ ϵ ϕ − δ ϵ x μ ∂ μ ϕ ) ∂ L ∂ ( ∂ μ ∂ ν ϕ ) + ( δ ϵ ϕ − δ ϵ x μ ∂ μ ϕ ) ∂ ν ∂ L ∂ ( ∂ μ ∂ ν ϕ ) + ⋯ {\displaystyle =J^{\mu }-\delta _{\epsilon }x^{\mu }{\mathcal {L}}-{\frac {\partial L}{\partial (\partial _{\mu }\phi )}}\left(\delta _{\epsilon }\phi -\delta _{\epsilon }x^{\mu }\partial _{\mu }\phi \right)-\partial _{\nu }\left(\delta _{\epsilon }\phi -\delta _{\epsilon }x^{\mu }\partial _{\mu }\phi \right){\frac {\partial {\mathcal {L}}}{\partial (\partial _{\mu }\partial _{\nu }\phi )}}+\left(\delta _{\epsilon }\phi -\delta _{\epsilon }x^{\mu }\partial _{\mu }\phi \right)\partial _{\nu }{\frac {\partial {\mathcal {L}}}{\partial (\partial _{\mu }\partial _{\nu }\phi )}}+\cdots }

로 정의한다면
- ∂ ⋅ j = − δ L δ ϕ ( ϕ ′ ( x ) − ϕ ( x ) ) {\displaystyle \epsilon \partial \cdot j=-{\frac {\delta {\mathcal {L}}}{\delta \phi }}\left(\phi '(x)-\phi (x)\right)}

이 된다. 오일러-라그랑주 방정식을 따르는 경로의 경우 L / δ ϕ = 0 {\displaystyle \delta {\mathcal {L}}/\delta \phi =0}
이므로, 이러한 경로에서는 μ {\displaystyle j^{\mu }}
가 보존류를 이루며, 다음과 같은 보존량이 존재한다.
- = ∫ j 0 ( x ) d 3 x {\displaystyle Q=\int j^{0}(x)\;d^{3}x}

역학에서의 뇌터 정리
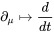
고전역학은 1차원 시공간 (=시간) 위의 고전장론으로 여길 수 있다. 이에 따라 역학에서의 뇌터 정리는 장론에서의 뇌터 정리의 특수한 경우이며,
- μ ↦ d d t {\displaystyle \partial _{\mu }\mapsto {\frac {d}{dt}}}

- μ → t {\displaystyle x^{\mu }\to t}

로 치환하여 얻을 수 있다. 즉, 변환
- ′ ( t ′ ) = q ( t ) + δ ϵ q ( t ) {\displaystyle q'(t')=q(t)+\delta _{\epsilon }q(t)}

- ′ = t + δ ϵ t {\displaystyle t'=t+\delta _{\epsilon }t}

에 대하여, 라그랑지언 ( q , q ˙ , q ¨ , … , t ) {\displaystyle L(q,{\dot {q}},{\ddot {q}},\dots ,t)}
가
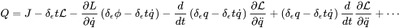
- [ q ′ ( t ) , t ] − L [ q , t ] = − L ˙ δ t + ϵ J ˙ {\displaystyle L[q'(t),t]-L[q,t]=-{\dot {L}}\delta t+\epsilon {\dot {J}}}
![L[q'(t),t]-L[q,t]=-{\dot L}\delta t+\epsilon {\dot J}](https://img1.daumcdn.net/relay/cafe/R400x0/?fname=https%3A%2F%2Fwikimedia.org%2Fapi%2Frest_v1%2Fmedia%2Fmath%2Frender%2Fsvg%2Fa717968b0b7134a9fb5d1fb4ef781e721b76b951)
를 만족시킨다고 하자. 그렇다면 보존량
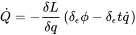
- = J − δ ϵ t L − ∂ L ∂ q ˙ ( δ ϵ ϕ − δ ϵ t q ˙ ) − d d t ( δ ϵ q − δ ϵ t q ˙ ) ∂ L ∂ q ¨ + ( δ ϵ q − δ ϵ t q ˙ ) d d t ∂ L ∂ q ¨ + ⋯ {\displaystyle Q=J-\delta _{\epsilon }t{\mathcal {L}}-{\frac {\partial L}{\partial {\dot {q}}}}\left(\delta _{\epsilon }\phi -\delta _{\epsilon }t{\dot {q}}\right)-{\frac {d}{dt}}\left(\delta _{\epsilon }q-\delta _{\epsilon }t{\dot {q}}\right){\frac {\partial {\mathcal {L}}}{\partial {\ddot {q}}}}+\left(\delta _{\epsilon }q-\delta _{\epsilon }t{\dot {q}}\right){\frac {d}{dt}}{\frac {\partial {\mathcal {L}}}{\partial {\ddot {q}}}}+\cdots }

은
- ˙ = − δ L δ q ( δ ϵ ϕ − δ ϵ t q ˙ ) {\displaystyle {\dot {Q}}=-{\frac {\delta L}{\delta q}}\left(\delta _{\epsilon }\phi -\delta _{\epsilon }t{\dot {q}}\right)}

이므로, 운동 방정식을 따르는 경로 ( t ) {\displaystyle q(t)}
에 대하여 보존된다.
뇌터 보존량의 예
흔히 쓰이는 대칭과 이에 대응하는 보존량은 다음과 같다.
| 대칭 | 보존류 | 보존량 |
|---|
시공간 병진 대칭 x μ = δ ν μ {\displaystyle \delta x^{\mu }=\delta _{\nu }^{\mu }}  | 에너지-운동량 텐서 μ ν {\displaystyle T^{\mu }{}_{\nu }}  | 4차원 운동량 (에너지, 운동량) |
회전 대칭 x μ = δ ν μ x ρ − δ ρ μ x ν {\displaystyle \delta x^{\mu }=\delta _{\nu }^{\mu }x_{\rho }-\delta _{\rho }^{\mu }x_{\nu }}  | 4차원 각운동량 밀도 μ ν x ρ − T μ ρ x ν {\displaystyle T^{\mu }{}_{\nu }x_{\rho }-T^{\mu }{}_{\rho }x_{\nu }}  | 4차원 각운동량 (3차원 각운동량 {\displaystyle \mathbf {L} } , 총 에너지와 질량 중심의 초기 위치의 곱[2] p − x com E {\displaystyle t\mathbf {p} -\mathbf {x} _{\text{com}}E} ) |
확대 변환 x μ = x μ {\displaystyle \delta x^{\mu }=x^{\mu }}  | 확대류[3] μ ν x ν {\displaystyle T^{\mu }{}_{\nu }x^{\nu }}  | E − ∭ d V x ⋅ d p d V {\displaystyle tE-\iiint dV\,\mathbf {x} \cdot {\frac {d\mathbf {p} }{dV}}} (즉, = d d t ∭ d V x ⋅ d p / d V {\displaystyle E={\frac {d}{dt}}\iiint dV\,\mathbf {x} \cdot d\mathbf {p} /dV} ) |
특수 등각 변환 x μ = x 2 δ ν μ − 2 x μ x ν {\displaystyle \delta x^{\mu }=x^{2}\delta _{\nu }^{\mu }-2x^{\mu }x_{\nu }}  | μ ρ ( x 2 δ ν ρ − 2 x ρ x ν ) {\displaystyle T^{\mu }{}_{\rho }(x^{2}\delta _{\nu }^{\rho }-2x^{\rho }x_{\nu })}  | |
전자기 U(1) 회전 (대전 스칼라장: ϵ ϕ = i ϕ {\displaystyle \delta _{\epsilon }\phi =i\phi } ) | 4차원 전류 밀도 μ = ϕ ∗ ∂ μ ϕ {\displaystyle j_{\mu }=\phi ^{*}\partial _{\mu }\phi }  | 전하 |
복소 페르미온 회전 ϵ ψ = i ψ {\displaystyle \delta _{\epsilon }\psi =i\psi }  | 페르미온 수 보존류 ¯ i γ μ ψ {\displaystyle {\bar {\psi }}i\gamma ^{\mu }\psi }  | 페르미온 수 |
파동 함수 회전 ϵ Ψ = i Ψ {\displaystyle \delta _{\epsilon }\Psi =i\Psi }  | 확률류 | Ψ | 2 , ℏ 2 m i ( Ψ ∗ ∇ Ψ − Ψ ∇ Ψ ∗ ) ) {\displaystyle (|\Psi |^{2},{\frac {\hbar }{2mi}}(\Psi ^{*}\nabla \Psi -\Psi \nabla \Psi ^{*}))}  | 1 (=가능한 확률의 합) |
-------------------------------------------
뇌터는 1915년에 괴팅엔에서 이 정리를 증명했다.
당시의 사회는 성차별이 심한 사회였기 때문에 다비트 힐베르트가 뇌터를 괴팅엔의 수학과 사강사 (privatdozent, 한국식으로 하면 시간강사 정도쯤 되는 위치)로 초대하려고 했을 때 대학교의 남자 교수들이 학생들이 전쟁(1차 대전)에서 돌아왔을 때 여자 교수에게 강의를 들어야 한다는 사실을 알면 뭐라고 생각하겠냐?고 항의했을 때에 힐베르트의 답변이 걸작이다.
나는 그녀의 성별이 사강사 임용에 왜 문제가 되는지 이해할 수 없다. 이곳은 대학교지 목욕탕이 아니지 않은가?
독일의 여성 수학자이자 이론 물리학자인 에미 뇌터가 증명한 정리.
어떠한 계에 연속적인 대칭성이 있으면, 대응되는 보존되는 물리량이 존재한다. |
뇌터 정리를 가장 알기 쉽게(?) 풀어 쓴 것이 위의 문장이다.[1] 과학을 배우며 알게 되는 상당수의 보존법칙들(에너지 보존, 운동량 보존, 각운동량 보존 등)은 굳이 대칭성으로부터 출발하지 않고도 하나하나 유도할 수 있기 때문에 굳이 이러한 식으로 쓸데없이 어려워 보이게 기술하는 게 큰 의미가 있는지 의문을 가질 수도 있다.
그러나 아래에서 볼 수 있듯이 뇌터 정리의 진정한 파워는 양자역학이나, 입자이론, 장이론 등에서 등장하는 대칭성에 이를 적용하였을 때 발휘된다.
다음은 고전적인 계가 가지는 각각의 대칭성에 따라 유도되는 보존법칙의 리스트이다.
이번에는 그 반대의 경우, 즉 대칭성이 있는지는 아직 모르지만 무언가 보존되는 것이 있다는 것은 아는 경우를 생각해 보자.
모든 보존량에 대해 그에 해당하는 대칭성이 존재할까? 전하 보존과 같은 법칙은 얼핏 생각해서는 관련된 특별한 대칭성이 바로 떠오르지 않을 수도 있다.
그러나 무언가의 대칭성이 있을 것이라고 생각하고 연구를 지속한 물리학자들은 전자기 퍼텐셜의 글로벌 게이지 대칭이 전하 보존을 이끌어낸다는 것을 밝혀 낼 수 있었다.
더 나아가서 전하를 가진 각 입자들의 양자장의 글로벌 게이지 대칭을 고려하면 각 입자별 전하 보존이라는 더 강한 보존 법칙도 생각할 수 있다.[4]
더 깊이 들어가다 보면, 아예 얼핏 봐선 존재하지 않는 것처럼 보이는 국소적 게이지 대칭이 존재해야 한다고 주장하는 것으로부터 자연계에 존재하는 힘의 근원인 게이지 장과 그것의 양자화된 형태인 게이지 입자의 존재를 예측하고, 그 힘이 어떤 형태로 작용해야만 하는지를 알아낼 수 있다.
2. 쉬운 설명
예를 들어 m m이라는 질량을 가지고 v v라는 속도로 움직이고 있는 물체가 있다고 하자.
정지해 있는 좌표계에 위치한 관찰자가 보았을 때 이 물체가 가지는 운동량은 얼마인가?
당연히 p = mv p=mv이다. 그렇다면 이 관찰자가 좌표계에서 우측으로 5미터만큼 움직였다고 가정하자.
이 상태에서 관찰자가 측정할 수 있는 물체의 운동량은 아까와 동일한 mv mv이다.
이것을 일반화시키면 관찰자가 이 좌표계에서 임의의 거리만큼 움직여도 이 물체의 운동량은 mv mv로 불변함을 알 수 있다.
위에 서술한 공간 이동 대칭이 운동량을 보존한다는 말은 이 예시를 일반화시킨 말이다.
한 마디로 공간에서 이동하는 위치들이 동일할 때에는 그 운동량이 보존된다는 것.
공간 회전 대칭에 대해서도 비슷한 정리가 성립하는데, 같은 원리로 이 경우에는 선운동량이 아닌 각운동량이 보존된다.
3. 간단한 예
한 입자의 라그랑지언이 직교좌표계에서 L = L \left(x, y, z, \dot{x}, \dot{y}, \dot{z} \right) L=L(x,y,z,x˙,y˙,z˙) 로 표현되었다고 하자. 그리고 이 입자에 작용하는 퍼텐셜이 y, z y,z 만의 함수라고 하자. 이 경우 퍼텐셜의 x x 방향 미분이 0이이므로 x x 방향으로는 힘이 작용하지 않을 것이고, 결과적으로 x x 방향의 운동량 p_x px 가 보존된다는 것을 쉽게 알 수 있다. 좀 더 포멀한 수식으로 설명하면,
\displaystyle p_x = {\partial L \over \partial \dot{x}} \ \ \ \ \ \ \dot{p}_x = {d \over dt} \left( {\partial L \over \partial \dot{x}} \right) = {\partial L \over \partial x} = 0 px=∂x˙∂L p˙x=dtd(∂x˙∂L)=∂x∂L=0
중간에 x x 방향의 라그랑지언 운동방정식을 사용하였다. 결국 x x 방향 운동량의 시간미분이 0이므로, 그 운동량이 보존량임이 증명되었다. 훨씬 더 일반화된 경우의 증명은 다음 섹션에 있다.
4. 뇌터 정리의 일반화된 증명
어떠한 고전적인 계의 라그랑지언이 L = L \left(q_1, q_2, \ldots, \dot{q}_1, \dot{q}_2, \ldots \right) L=L(q1,q2,…,q˙1,q˙2,…) 와 같이 일반 좌표계의 함수로 씌여진다고 하고, 그 계의 라그랑지언이 아래 식과 같은 작은 수 \epsilon ϵ 의 1차 오더의 좌표 변환에 대해 불변이었다고 가정하자.
\displaystyle q_i = q_i + \epsilon K_i \left(q_1, q_2, \ldots \right) qi=qi+ϵKi(q1,q2,…)
여기에서의 K_i \left(q_1, q_2, \ldots \right) Ki(q1,q2,…) 가 각 대칭성을 표현하는 함수이다. 라그랑지언이 \epsilon ϵ 의 1차 오더의 변환에 대해 불변이라는 것으로부터 다음과 같은 식을 쓸 수 있다.
\displaystyle 0 = {dL \over d\epsilon} = \sum_i \left( {\partial L \over \partial q_i} \ {\partial q_i \over \partial \epsilon} + {\partial L \over \partial \dot{q}_i} \ {\partial \dot{q}_i \over \partial \epsilon} \right) = \sum_i \left( {\partial L \over \partial q_i} K_i + {\partial L \over \partial \dot{q}_i} \ \dot{K}_i \right) 0=dϵdL=i∑(∂qi∂L ∂ϵ∂qi+∂q˙i∂L ∂ϵ∂q˙i)=i∑(∂qi∂LKi+∂q˙i∂L K˙i)
라그랑지언 운동방정식을 사용하면
\displaystyle 0 = \sum_i \left( K_i {d \over dt} \left( {\partial L \over \partial \dot{q}_i} \right)+ {\partial L \over \partial \dot{q}_i} \ \dot{K}_i \right) = {d \over dt} \left( \sum_i {\partial L \over \partial \dot{q}_i} K_i \right) 0=i∑(Kidtd(∂q˙i∂L)+∂q˙i∂L K˙i)=dtd(i∑∂q˙i∂LKi)
즉, 시간미분해서 0이 되는 다음의 물리량이 바로 보존되는 무언가이다.
\displaystyle P \left(q_1, q_2, \ldots, \dot{q}_1, \dot{q}_2, \ldots \right) = \sum_i {\partial L \over \partial \dot{q}_i} K_i = \sum_i \dot{p}_i K_i \left(q_1, q_2, \ldots, \dot{q}_1, \dot{q}_2, \ldots \right) P(q1,q2,…,q˙1,q˙2,…)=i∑∂q˙i∂LKi=i∑p˙iKi(q1,q2,…,q˙1,q˙2,…)
이렇게 일반화된 형태로 쓰면 끝까지 유도하고 나서도 이게 무엇을 의미하는지 이해하기 힘든데, 아주 간단한 경우로 K_1 K1 이 상수함수이고 K_2, K_3 K2,K3 등등이 전부 0인 경우를 생각해 보면, \dot{p}_1 p˙1, 즉 일반 좌표계 1번 방향의 일반화 운동량이 보존되는 양임을 알 수 있다.
자, 이제 장이론에 뇌터 정리가 어떻게 적용되는지 상대론적인 텐서 포말리즘을 동원하여 유도해 보자. 어떠한 장 \phi \left( x \right) ϕ(x) 가 라그랑지언 밀도 L \left( \phi, \partial_\mu \phi \right) L(ϕ,∂μϕ) 를 결정하는 경우를 생각해 보자. 이러한 장의 라그랑지언을 아래 식과 같은 작은 수 \alpha α 의 1차 오더로 변환하여 보자.
\displaystyle \phi \left( x \right) \rightarrow \phi^\prime \left( x \right) = \phi \left( x \right) + \alpha \Delta \phi \left( x \right) ϕ(x)→ϕ′(x)=ϕ(x)+αΔϕ(x)
여기에서의 \alpha \Delta \phi \left( x \right) αΔϕ(x) 가 장의 변화량을 나타낸다. 이러한 장의 변화를 대칭성이라고 부르려면 운동방정식이 이 변화에 무관하게 일정하여야 하는데, 만약 액션이 불변이라면 액션으로부터 유도되는 운동방정식은 당연히 불변일 것이다. 더 일반적으로는 라그랑지언 밀도를 적분하는 부피의 표면항 만큼만 액션이 변화하는 것까지는 허용할 수 있다. 즉, 위에 주어진 장의 변화에 대해 어떠한 사차원 벡터(4-vector) J^\mu \left( x \right) Jμ(x)가 존재해서 다음과 같은 형태로 라그랑지언을 쓸 수 있다면 대칭성이 존재하는 것이다.
\displaystyle S = \int d^4 x L \left( \phi, \partial_\mu \phi \right) \ \ \ \ \ \ L \rightarrow L + \alpha \Delta L = L + \alpha \partial_\mu J^\mu S=∫d4xL(ϕ,∂μϕ) L→L+αΔL=L+α∂μJμ
실제로 장의 변화에 수반되는 라그랑지언의 변화를 계산하여 보자.
\displaystyle \alpha \delta L = {\partial L \over \partial \phi} \left( \alpha \Delta \phi \right) + {\partial L \over \partial \left(\partial_\mu \phi \right)} \partial_\mu \left( \alpha \Delta \phi \right) = \alpha \partial_\mu \left( {\partial L \over \partial \left(\partial_\mu \phi \right)} \Delta \phi \right) + \alpha \left( {\partial L \over \partial \phi} - \partial_\mu {\partial L \over \partial \left(\partial_\mu \phi \right)} \right) \Delta \phi αδL=∂ϕ∂L(αΔϕ)+∂(∂μϕ)∂L∂μ(αΔϕ)=α∂μ(∂(∂μϕ)∂LΔϕ)+α(∂ϕ∂L−∂μ∂(∂μϕ)∂L)Δϕ
마지막 등식의 두번째 항은 오일러-라그랑주 방정식으로부터 0이 되고, 첫번째 항이 바로 위에서 언급한 액션의 표면항의 변화이다. 이 항이 \alpha \partial_\mu J^\mu \left( x \right) α∂μJμ(x) 와 같아야 하므로,
\displaystyle \alpha \partial_\mu \left({\partial L \over \partial \left(\partial_\mu \phi \right)} \Delta \phi \right) - \alpha \partial_\mu J^\mu \left( x \right) = 0 α∂μ(∂(∂μϕ)∂LΔϕ)−α∂μJμ(x)=0
임을 알 수 있고, 다음과 같이 뇌터 전류를 정의할 수 있다.
\displaystyle j^\mu \left( x \right) \equiv {\partial L \over \partial \left(\partial_\mu \phi \right)} \Delta \phi - J^\mu \left( x \right) \ \ \ \ \ \ \partial_\mu j^\mu = 0 jμ(x)≡∂(∂μϕ)∂LΔϕ−Jμ(x) ∂μjμ=0
보다 일반적으로 하나 이상의 필드가 이 대칭성에 관여하는 경우엔, 위 식의 첫번째 항을 각 필드 방향별로 합한 것으로 대체하여야 할 것이다. 오른쪽 등식은 사차원 벡터의 0번째 항을 전류밀도 \rho ρ 로 표현했을 때, \partial \rho / \partial t + \nabla \cdot \vec{j} = 0 ∂ρ/∂t+∇⋅j⃗=0 과 같은 형태의 연속방정식이다. 이와 같이 라그랑지언의 연속적인 대칭성이 있을 때마다 하나의 보존법칙을 유도할 수 있다. 실제적으로는 위에서 정의한 j^\mu jμ 에 적절한 상수를 곱해 우리가 잘 알고 있는 물리량이 되도록 적절히 맞춰주게 된다.
이 사차원 벡터의 0번째 항이 전하밀도의 역할을 하므로, 실제로 보존되는 전하는 다음과 같다.
\displaystyle Q = \int_{\text {all space}} j^0 d^3 \vec{x} Q=∫all spacej0d3x⃗
사차원 벡터의 남은 세 방향의 성분이 이러한 전하의 흐름을 표현하는 전류 벡터 \vec{j} j⃗ 가 된다.
높은 레벨의 장이론에서는 디랙 장의 글로벌 게이지 대칭에 따른 뇌터 전류로 전하의 본질을 설명하며, 고전역학과 일반상대론 등에서 유용하게 쓰는 에너지-운동량 텐서가 바로 시공간의 대칭으로부터 얻어지는 뇌터 전류를 텐서 형태로 일반화한 결과이다.[5]