오일러의 공식은 그 자체로도 매우 아름다워 '수학자들이 내놓은 보석'으로 불리지만, 복소해석에서 오일러의 공식은 약방의 감초처럼 절대 빠질 수 없는 존재이며 활용 빈도가 아주 높습니다. 이 글에서는 오일러 공식의 대표적인 증명 2개와 복소해석에서 이 공식이 어떠한 의미를 갖는지 살펴보기로 하겠습니다. 먼저 오일러의 공식은 다음과 같습니다.

1. 증명
1.1 자연상수 e의 정의를 이용한 증명
1.1.1 자연상수 e
자연상수 또는 오일러의 수라고 알려진 e는
와 함께 가장 널리 알려진 대표적 무리수 중 하나입니다. 자연상수 e에 대한 직관적인 설명을 먼저 드리겠습니다. 지수에 관한 설명입니다.
와 함께 가장 널리 알려진 대표적 무리수 중 하나입니다. 자연상수 e에 대한 직관적인 설명을 먼저 드리겠습니다. 지수에 관한 설명입니다.성질1) 1보다 큰 수는 거듭제곱할수록 커진다. 따라서 1보다 큰 수를 무한히 거듭제곱하면 결국 무한이 된다.
성질2) 1은 거듭제곱을 해도 그대로이다. 따라서 1을 무한히 거듭제곱하여도 값은 변하지 않는다.
성질3) 절대값이 1보다 작은 수는 거듭제곱할수록 절대값이 작아진다. 따라서 무한히 거듭제곱하면 0이 된다.
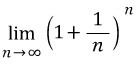
저희가 여기에서 주목할 것은 성질1과 2입니다. 여기서 생각을 해 봅시다. 1보다 큰 수는 무한히 거듭제곱하면 무한이 된다고 하였고, 1은 무한히 거듭제곱을 하여도 1이라고 하였습니다. 그렇다면 1보다 크긴 큰데 아주 조금 큰, 거의 0에 가까운 수만큼 큰 수를 무한히 거듭제곱하면 어떻게 될까요? 이 말을 극한을 사용하여 나타내면 다음과 같습니다.

n이 커지면 커질수록 1/n은 0에 가까워지죠. 그렇다면 이 수는 어떻게 정의될까요? 따지고 보면 1보다 큰 것이니 무한이 될까요? 아니면 1과 다름이 없으니 1일까요? 놀랍게도 이 수는 어떤 상수로 수렴하게 되는데 이 값을 자연상수 e라 부르고 그 값은 2.718182...로 끝없이 이어지는 무리수라는 것이 알려져 있습니다.
1.1.2 자연상수의 거듭제곱
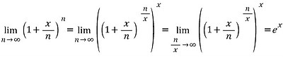
자연상수는 하나의 상수이니 거듭제곱을 하여도 전혀 이상할 것이 없지만, 자연상수가 특별한 수이니 만큼 거듭제곱도 특별한 모양으로 나타납니다. 수식을 설명 겸 증명으로 올립니다.

1.1.3 자연상수를 이용한 허수지수
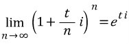
위에서 얻은 식으로 이제 허수지수를 표현할 수 있게 되었습니다. x를 ti로 바꾸면 되는 것이죠.

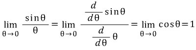
t는 어느 복소수나 될 수 있지만 증명의 편의를 위해 여기에서는 t를 실수로 가정하겠습니다. 그렇다면 거듭제곱 안에 있는 수는 실수부가 1이고 허수부가 t/n인 복소수가 됩니다. 복소수 複素數 Complex Number의 2.2.2 곱셈을 참고하시면 모든 복소수는 극좌표를 이용한 표현으로 나타낼 수 있고, 그것을 거듭제곱으로 확장하면 다음과 같다는 것을 쉽게 알 수 있을 것입니다.
곱셈: 

거듭제곱: 

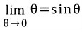
1.1.4 보조정리: 사인극한정리
증명을 하기 위한 마지막 준비로 사인함수에 대한 다음 극한을 생각해보기로 하겠습니다.
따라서 
분모와 분자가 모두 0으로 가는 극한이므로 로피탈의 정리를 사용하여 분모와 분자를 모두 미분하면,

1.1.5 오일러의 공식 증명
마지막으로, 위에서 얻은 결과들을 종합하여 오일러의 공식을 증명하도록 하겠습니다.
먼저,
에서
을 극좌표로 나타내면,
에서
을 극좌표로 나타내면,
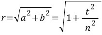
이고, n이 커질수록 허수부는 0에 가까워져 r은 사실상 1입니다. 그리고 1과 실수축이 이루는 각도는 0이므로 사인극한정리에서 각도가 0에 가까워질 때, 그 값은 사인과 같아집니다. 극좌표에서 사인은 허수부를 나타내므로,

마지막으로 1.1.3에서 다룬 거듭제곱을 적용하면,

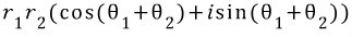
r은 1이니 제외하고, 세타(각도)를 위에서 얻은 값으로 치환하면,

이것으로 첫 번째 증명을 마칩니다.
1.2 테일러 급수를 이용한 증명
사실 오일러의 공식은 테일러 급수를 이용한 증명이 더 잘 알려져 있습니다. 개인적으로, 테일러 급수는 수식적으로 더 간결하지만 기하학적인 핵심 개념은 자연상수를 이용한 증명이라고 생각됩니다.
1.2.1 테일러 급수: 다항함수
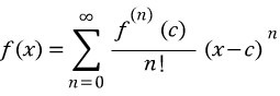
테일러 급수(Taylor Series)는 다항함수로 정의되지 않았던 삼각함수나 로그함수 또는 지수함수 등을 다항식으로 표현하기 위해 사용됩니다. 대게 이런 함수들은 무리수가 끝없이 이어지듯, 무한차 함수로 표현됩니다. 그렇다면 어떤 함수가 다항함수로 표현될 수 있다고 가정해 봅시다. 그 어떤 함수 f(x)는 다음과 같이 나타날 것입니다.

저희의 목표는 계수 즉 a를 구하는 것입니다. 만약 5차함수라면 a_6부터는 0으로 정의하면 되므로 꼭 무한차일 필요는 없습니다.
그렇다면 a를 어떻게 구할 수 있을까요? 간단합니다. x=0이면 a_0이 나오겠죠. 다음과 같습니다.

a_1을 구하기 위해서는 1번 미분합니다.


규칙이 보이십니까? a_2는 당연히 2번 미분하면 나오겠지요.


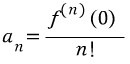
일반화하면, a_n은 다음과 같은 공식을 따릅니다.

참고로, x=0일 때 a를 구할 수 있는 이러한 형태를 매클로린 급수(Maclaurin Series)라고 합니다. x를 x-c로 (c는 상수)바꿔주면 테일러 급수가 됩니다.

1.2.2 지수함수의 테일러 전개
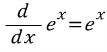
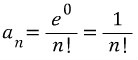
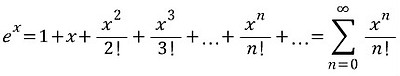
먼저 지수함수의 테일러 전개를 해봅시다. 지수함수는 미분을 해도 그대로 형태가 유지되는 유일하고도 특이한 함수입니다.


이므로 지수함수를 다항함수로 나타내면 다음과 같습니다.

1.2.3 사인함수의 테일러 전개
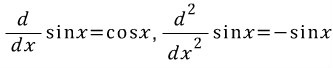
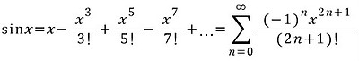
사인함수는 미분하면 코사인함수가 됩니다. 코사인함수는 미분하면 -사인함수가 되고, 다시 이것을 미분하면 -코사인, 또 다시 이것을 미분하면 처음 형태인 사인함수가 되어 주기를 이루게 됩니다. 이것을 수식으로 표현하면,


4번 미분할 때마다 반복된다는 것을 알 수 있습니다.
이제 계수를 공식에 대입하여 구해보면, 사인에 0을 대입하면 0, 코사인에 0을 대입하면 1이 되므로 다음과 같습니다.

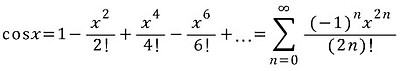
1.2.4 코사인함수의 테일러 전개
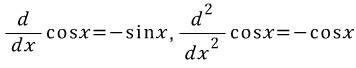
코사인함수도 사인함수와 마찬가지로 4번마다 주기를 이룹니다.


각각 0을 대입하여 다시 공식에 대입하면 a를 얻을 수 있습니다.

1.2.5 테일러 급수를 이용한 오일러의 공식 증명
오일러의 공식은 다음과 같습니다. 만약 양변을 다항식으로 전개했을 때 같다면 증명되는 것이겠죠?

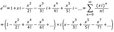
1.2.2에서 얻은 등식에 x대신 xi를 대입해 주면,

그리고 이것은 사인함수에 i를 곱하여 코사인함수를 더한 것과 같다는 것을 알 수 있습니다. 이것으로 두 번째 증명도 마칩니다.
2. 복소해석학에서의 오일러 공식 활용
2.1 복소수의 표현
오일러의 공식을 이용하면 복소수를 더 간결하게 표현할 수 있습니다. 저희는 데카르트 직교좌표의 표현을 극좌표 표현으로 바꿀 수 있다는 것을 알고 있습니다.

그런데 이제 오일러의 공식을 이용하면 저 표현을 보다 간단한 형태로 바꿀 수가 있습니다.

이전에는 실수와 허수를 분리해서 표현해야 했지만, 이제는 복소수를 하나의 항으로 표현할 수 있게 되었습니다. 이 표기법은 지수를 사용했으니 곱셈에서 특히 유용합니다.
2.2 원의 방정식
복소평면에 이 공식을 적용하면 원의 방정식을 얻을 수 있습니다. 반지름이 1인 단위원의 방정식을 매개변수로 표현하면 다음 그림과 같습니다.

출처:wikibook
복소평면에서는 y축이 허수를 나타내니 각도가 t인 임의의 점은
즉
가 됩니다. 따라서, 다음과 같은 식은 복소평면 위에 반시계 방향으로 도는 반지름이 r인 원을 나타냅니다.
원의 방정식이 복소해석에서 중요한 이유는 복소함수를 선적분할 때 경로를 보통 원으로 잡는 경우가 많고, 열린 구간을 설정할 때도 반지름이 매우 작은 원을 생각하는 경우가 많기 때문입니다. 이와 같이 원의 방정식을 오일러의 공식으로 익혀두는 것은 복소해석학에서 매우 기본적이며 중요한 일입니다.
[출처] 오일러의 공식 --- 公式 Euler's Formula|작성자 웅곰
다음검색