CAFE

우주론

전자의 스핀(spin)이란?- 토션필드

작성자뽀야|작성시간21.09.03|조회수6,666 목록 댓글 0

고전물리학에서는 주로 중력장만을 가지고 자연의 현상을 생각했는데...

중력장은 우주의 자연의 극히 제한된 영역이고 자가장이 있다.

 

특히 양자역학에서는 강력과 약력이 있다.

현대에서는 주로 이 들의 4가지만을 생각하는데...

 

사실 스핀장이이 있다.

이른바 토션필드라고도 한다.

전자의 토셩필드 혹은 스핀이란 게 뭔지를 생각해본다.

 

 

==========

 

물리학 또는 화학을 배우다 보면 전자의 '스핀'이라는 개념이 등장한다. 전자는 업 스핀 또는 다운 스핀 두가지 만을 가진다고 말하며, 전자의 오비탈에서는 주양자수, 부양자수, 자기양자수에 이은 4번째 양자수가 스핀 양자수라고 말한다.

그런데 공부를 하다보면 스핀이 갑자기 왜나온거지? 스핀의 정체가 진짜 전자가 자전하는 건가? 등의 궁금증이 생길 수 있다. 이러한 사람들을 위해 이번 포스팅을 준비해 보았다.

흔히 사용되는 스핀의 이미지

 

스핀을 설명하기 전에 먼저 오비탈의 개념에 대해 생각해보자. 고등학교 화학을 공부했다면 오비탈에 대해 들어보았을 것이다. 1s 오비탈, 2p_x 오비탈 등과 같이 다양한 오비탈이 존재한다.

양자역학의 등장으로 전자가 원자핵 주위를 공전하는 것이 아니라, 파동함수의 형태로써 원자 주위에 전자구름 형태로 퍼져있다는 것이 밝혀지게 되었다. 물리학자들은 전자가 파동의 성질을 가진다면 파동방정식을 세울 수 있어야 한다고 생각했고, 그 방정식이 바로 '슈뢰딩거 방정식'이다. 아래의 식이 그 유명한 방정식이다.

time- independent 슈뢰딩거 방정식

 

결국 앞서 말한 오비탈이라는 것은 위의 슈뢰딩거 방정식, 즉 이 미분방정식을 수학적으로 풀어낸 해를 말한다.

 

그런데 이상한점이 있다. 분명 우리는 네가지의 양자수 (주양자수, 부양자수, 자기양자수, 스핀 양자수)가 존재한다고 배웠는데, 슈뢰딩거 방정식을 풀면 앞의 3개에 해당하는 양자수밖에 나오지 않는다.

 

복잡한 슈뢰딩거 방정식의 해(구면좌표계에서 풀어낸 것)

 

슈뢰딩거 방정식을 구면좌표계에서 잘 풀면 위와 같은 해들이 나오는데, 이 과정에서 처음에 n, l, m으로 놓았던 수들이 정수가 되어야만 해가 존재한다는 조건이 나오고, 이 수들을 바로 '양자수'라고 하는 것이다. 그리고 각각의 양자수들이 전자 구름의 크기, 모양, 방향을 결정한다.

그런데 그 어디에도 '스핀 양자수'의 존재를 예측하는 해는 나오지 않는다.

 

이 슈뢰딩거 방정식을 처음 배우며 나도 이러한 궁금증을 가졌고, 여기 저기 책을 읽어본 결과 그 답을 얻을 수 있었다. 그 전에 먼저 물리학자들이 어떻게 스핀의 존재를 알아냈는지부터 살펴보도록 하자.

파울리는 그 유명한 '파울리의 배타원리'를 발견한 사람이다. 이 내용에 따르면 완전히 같은 양자상태를 가지는 입자는 존재할 수 없다. (자세한 설명은 페르미-디랙 통계에 관한 포스팅을 참조해 보자.) 그런데 양자수가 3개만 존재한다고 알고 있을 때 전자가 실제로 어떻게 상태를 점유하는지 보았더니, 하나의 상태당 2개씩 전자가 들어있다는 것을 알게 되었다. 이를 보고 파울리는 두가지 값이 가능한 제 4의 양자수가 있어 2개의 전자가 서로 다른 상태에 있게 해줘야 한다는 사실을 깨달았다.

 

또한 전자의 스핀을 도입함으로써만 설명할 수 있는 실험 결과가 나오는데 그것이 바로 '비정상 제만 효과' 이다. 원래 원자에 자기장을 걸어준 채로 에너지 스펙트럼을 관찰하면 자기양자수에 따라서 스펙트럼이 여러갈래로 갈라지게 된다. 이는 전자의 z방향 자기모멘트가 자기양자수에 비례하기 때문인데, 자기장 안에 자기 쌍극자 모멘트가 존재하게 되면 에너지 준위가 변하기 때문에 여러 갈래로 갈라지는 것이다. 이를 '정상 제만 효과'라 하는데, 과학자들이 더 자세히 스펙트럼을 관찰하던 중 사실 이 스펙트럼이 더 여러 갈래로 갈라진다는 것을 발견하게 되었다.

 

정상 제만 효과와 비정상 제만 효과

위와 같은 비정상 제만 효과의 실험 결과를 해석하던 중, 파울리가 예견한 스핀 양자수의 개념을 각운동량으로써 해석하면 이 실험과 정확히 맞는다는 것을 알게 되었다. 전자가 가지는 스핀 자체에 의한 각운동량에 의해서 자기모멘트가 생기고, 이것이 궤도와 상호작용하여 에너지 준위를 갈라지게 한다는 것이었다. (이를 스핀-궤도 상호작용이라 한다. 전자 입장에서 보면 원자핵이 전자를 돌며 전류를 만들고, 그에 의한 자기장을 경험하는데, 이 자기장 속에 스핀에 의한 자기모멘트가 존재하여 에너지 준위가 갈라지는 것이다. 자세한 설명은 요청이 있다면 따로 포스팅으로!)

 

이렇게 스핀의 존재가 실험적으로 확인되고, 있어야 한다는 것을 알았지만 과학자들은 여전히 찝찝했다. 스핀 양자수를 설명하지 못하는 슈뢰딩거 방정식은 불완전한 것이 아닌가? 이에 대한 고민을 수많은 과학자가 했고, 그 중에서 천재 과학자 '?폴 디랙'이 해답을 찾게 된다.

디랙의 묘비에 적혀있는 '디랙 방정식'

디랙은 굉장히 특이한 캐릭터를 가지고 있는데, 기회가 되면 이야기하도록 하겠다. 어쨌든 디랙은 슈뢰딩거 방정식과 같은 양자역학 방정식에 '특수 상대론적 효과'?를 고려하려고 했다. 슈뢰딩거는 에너지를 p^2/2m 으로 표현하였는데, 이는 고전역학적인 표현 방법이고 빛의 속도에 가깝게 움직이는 입자의 경우 특수 상대성 이론에 의해 E^2 = (pc)^2 + mc^2 의 식을 따른다.

 

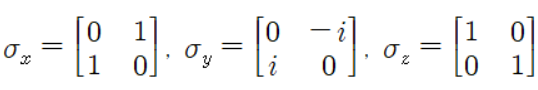
다만 디랙은 E의 제곱 형태로 식이 나타나기 때문에 음의 에너지 해가 나온다는 사실이 마음에 안들었고, 제곱근을 취해 식의 형태를 바꾸기로 한다. (근데 결국 음의 에너지 해는 계속 나와서 디랙의 바다라는 개념으로 반물질을 예견하게 된다.) 디랙은 이 제곱근을 취하는 과정에서 식이 유지되려면 일반적인 수로는 불가능하고, 특수한 '행렬'을 도입해야 한다는 사실을 알게 되었다. 그런데 알고보니 이 행렬이 파울리가 제만 효과를 설명하기 위해 만든 스핀 '파울리 행렬'과 동일한 형태를 가지고 있던 것이었다!

파울리 행렬

배경은 조금 더 복잡하지만 간략하게 설명하면 이렇다. 디랙은 제곱근을 취하기 위해 식을 전개하던 중 A제곱=B제곱=1 이고, AB+BA=0인 성질을 가지는 수가 필요했는데, 실제 수에서는 존재하지 않지만 행렬로 확장하면 가능하기 때문에 행렬을 도입한 것이다. 좀 더 깊은 내용을 알고싶다면? 물리학 전공강의를 들어야 할 것 같다.

 

뭔가 복잡한 설명을 했지만 요점은 양자역학의 파동방정식에 상대성 이론을 첨가했더니 자연스럽게 '스핀'이라는 성질이 유도되었다는 것이다!! 이로써 물리학의 아름다움이 한번더 증명되었다.

 

이러쿵 저러쿵해서 스핀이 등장하게 된 배경과, 이론들을 알아보았는데 그렇다면 진짜 스핀은 전자가 자전하는 것을 의미할까? 스핀에 의해 정말 자기 모멘트가 생기기 때문에 그렇다고 생각할 수도 있지만 실제로 그렇지는 않다. 계산해보면 전자가 해당 각운동량을 가진상태로 자전할 경우 적도 부근 속력이 광속을 넘어서는 불가능한 상황이 나온다고 한다.

결국 스핀이라는 것은 단지 전자에 내재하는 하나의 성질이라고 볼 수 있는 것이다. 마치 질량이나 전하처럼 전자와 같은 입자는 '스핀'이라는 물성을 원래부터 가지고 있다고 생각할 수 있다는 말이다.

 

그냥 up, down 두가지 존재하고 오비탈에 화살표로 그림그리기 좋은 것이라고 알고 있던 스핀에 이런 심오한 배경이 있다는 것은 꽤 놀랍다.

그리고 스핀이 결국 물질이 가지고 있는 물성이라니...

 

전자 스핀은 결국 거대한 토션필드의 전자의 물성에서만 특유한 운동임을 알 수가 있다.

 

 

다음검색
현재 게시글 추가 기능 열기

댓글

댓글 리스트
맨위로

카페 검색

카페 검색어 입력폼