CAFE

우주론

물질파와 드브로이 방정식

작성자뽀야|작성시간21.09.14|조회수522 목록 댓글 0

물질도 파동처럼 파장을 갖는다

 

물질파(物質波, matter wave) 또는 드브로이파(de Broglie wave)는 양자역학에서 물질의 파동을 말한다. 드브로이 관계에 의하면 파장은 입자의 운동량에 반비례하고 진동수는 입자의 운동에너지에 비례한다.

물질의 파장은 드브로이 파장이라고도 한다. 이 이론은 1924년에 드브로이에 의해 발전되었고, 이로 인해 1929년에 노벨물리학상을 수상하였다.

 

드브로이 방정식은 실험적으로 증명한 엄청나게 단순한 식입니다.

이 식의 의미는 물질도 파동처럼 파장을 갖는 다는 것입니다.

 

즉 파동을 대표하는 성질인 파장

과 

입자를 대표하는 성질인 운동량

을 연관지어 볼수있는 식 입니다.

 

이는 추후 양자역학에서 파동과 입자를 연관시킬때 자주 쓰입니다.

또한 슈뢰딩거방정식으로 증명도 되는데 이는 슈뢰딩거 방정식(Schrodinger equation) : 비상대론적여기서 확인 가능합니다!

 

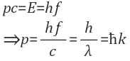
photon의 경우를 예를 들자면 이때 photon의 경우 에너지가 

인데 photon의 질량이 0이므로

라 정의할 수 있고

입니다. 

 

---------------------------

 

드브로이방정식

 

드브로이 방정식은 각각 파장 λ  과 진동수 f  의 운동량 p  와 에너지 E  에 대한 관계이다.

 

h 는 플랑크 상수이다. 이 두 식은 아래처럼도 쓰인다.

 

이고 "h-bar"라고 읽는다.

 

는 파수(wavenumber)이고

 

  ω 는 각진동수(angular frequency)이다.

 

 

특수 상대성 이론의 결과를 이용하면 식은 다음과 같이 쓸 수 있다.

 

 

 

 

 

 

 

 

은 입자의 정지 질량이고

 

는 입자의 속도, 

로런츠 인자   c는  광속

역사적 배경

 

막스 플랑크 (1858-1947)와 알베르트 아인슈타인 (1879-1955) 이후, 닐스 보어(1885-1962)에 의해 전자가 어떻게 운동하는지에 대해 설명하려는 연구가 시작되었다. 보어의 방정식은 수소가스가 압축되고 대전됐을 때 방출되는 빛(네온 사인과 비슷하나, 여기서는 네온이 아닌 수소이다)의 에너지를 설명해준다. 불행하게도, 그의 모델은 수소원자에서만 적용되었다. 하지만 그의 아이디어는 매우 혁명적이어서 양자물리와 양자역학에서 전자의 움직임에 대한 고전적인 관점에서 벗어나 새롭고 신선한 아이디어를 얻는 바탕이 되었다.

루이 드브로이(1892-1987)는 보어의 아이디어를 설명하려고 노력했고, 수소 이외에도 이론을 적용할 수 있게 되었다. 사실 그가 찾은 방정식은 모든 물질의 파동성을 설명할 수 있는 것이었다. 그의 방정식은 1927년에 데이비슨-거머 실험에 의해 증명되었다. 니켈결정체로 발사된 전자들이 이론치와 일치하는 회절무늬를 만들어낸 것이다. 드브로이의 방정식에서 전자의 파장은 플랑크 상수 (6.646×10−34 J‧s)를 전자의 운동량 으로 나눈 것이다. 인간과 같은 일상적인 물체의 경우에는 플랑크상수에 비해 운동량이 매우 커서 물체의 파장은 매우 작게 나타난다. 매우 작은 플랑크상수를 매우 큰 운동량으로 나누기 때문에 일상적인 물체의 파장은 현재의 관측 장비로 측정할 수 없을 만큼 굉장히 작아진다. (10−35m 단위. 혹은 그보다 더 작다.) 반면에 전자와 같은 많은 소립자들은 거시적인 물체에 비해 매우 작은 운동량을 갖는다. 이 경우에 드브로이 파장은 입자들이 파동처럼 작용하는 것을 관측할 수 있을 만큼 충분히 커지게 된다.

작은 운동량을 지닌 입자들의 파동성은 빛과 매우 흡사하다. 예를 들어, 전자현미경은 매우 작은 물체를 보기 위해 빛 대신 전자를 이용한다. 일반적으로 전자가 광자보다 운동량이 크기 때문에 그들의 드브로이 파장은 작아지고 높은 분해능을 갖게 된다.

 

 

드브로이의 착상과 양자역학

 

드브로이는 아인슈타인의 광양자설(빛이 광자라는 입자로 양자화 되어있다는 가설)과 그의 특수 상대성 이론 그리고 양자역학에 대해 관심이 높았다. 특히 광양자설에 대해서 많은 고민을 하였는데 이때 빛이 파동이면서 입자라면 대칭성의 관점에서 입자도 파동이 될 수 있지 않을까 하는 착상을 하였다. 그리고 자신의 생각을 표현해줄 적당한 이론을 아인슈타인의 특수상대성이론과 플랑크의 양자가설에서 발견하게 되었다.

 

 

 

 

가 되며 이는 h ν  와 동치가 되므로 결국 h ν = p C 가 되어 드브로이의 물질파 공식이 등장하게 된다.

이러한 생각을 그의 박사학위 논문으로 발표하였으나 크게 부각되지 않았다. 하지만 아인슈타인이 그의 박사학위 논문에 관심을 표현하면서 그의 물질파 공식은 큰 주목을 받았다.

움직이는 물체를 파장으로 표현될 수 있다는 생각은 에르빈 슈뢰딩거를 자극하여 슈뢰딩거가 

(E = 에너지, T = 운동에너지, V = 위치에너지)라는 고전역학적인 총 에너지 방정식을 양자역학적으로 재해석하는 계기를 만들어냈으며 이 해석과 관련하여 물질을 파동으로 처리하게 되면 가지게 되는 숙명적인 결론인 위치와 운동에너지의 불확정성과 관련하여 불확정성원리를 이끌어내게 되었다.

 

또한 물질을 파동으로 해석하게되면 어떠한 물리적인 의미를 가지게 되느냐에 대한 논의를 이끌어내는 과정에서 코펜하겐 해석이 등장하는 계기를 만들게 되었다. 재미있는 점은 아인슈타인이 '신은 주사위로 장난을 하지 않는다'라는 발언을 하게 만든 코펜하겐 해석에 대한 단초를 드브로이의 논문의 중요성을 알아낸 아인슈타인 자신이 제공했다는 점이 아이러니하다고 할 수 있겠다.

 

다음검색
현재 게시글 추가 기능 열기

댓글

댓글 리스트
맨위로

카페 검색

카페 검색어 입력폼