CAFE

우주론

쌍곡함수-6

작성자뽀야|작성시간22.04.23|조회수989 목록 댓글 0

사인 (sine), 코사인 (cosine) 함수를 일컬어 "삼각함수"라고 부른다는 사실은 알고 계실 겁니다.

코사인 함수의 경우, 그래프가 아래와 같이 나타나지요.

즉, 코사인 함수는 다음을 만족합니다.

음... 그런데 정말로 그럴까요?

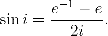
문제 다음의 값을 계산하라.

코사인 함수 안에 "허수"가 들어갔습니다.

이를 계산하기 위해서는, 고전역학의 "11강) 테일러 전개" 시간에 배운 아래의 공식을 사용합니다.

위의 수식으로부터 다음을 얻습니다.

따라서,

위의 결과로부터, 우리는 두 가지 사실을 파악할 수 있습니다.

(1) "cos i"의 값은, 허수가 아니라 실수이다.

(2) "cos i"의 값은, 1보다 크다.

따라서, 우리는 "cosh x"라는 값을 아래와 같이 정의합니다.

위 식에 나타난 "cosh"는 "쌍곡 코사인 (hyperbolic cosine; 하이퍼볼릭 코사인)"이라고 부릅니다.

쌍곡 코사인을 일컬어, 다음과 같이 부르기도 합니다.

(1) 하이퍼볼릭 코사인.

(2) 하이퍼 코사인.

(3) 코사인 하이퍼볼릭.

(4) 커쉬 또는 코쉬 (cosh를 읽은 것입니다).

쌍곡 코사인을 다음과 같이 표현하기도 합니다.

그래프는 아래와 같습니다.

쌍곡 코사인을 정의했으니, 다음에는 "쌍곡 사인 (hyperbolic sine; 하이퍼볼릭 사인)"을 정의해 보겠습니다.

문제 아래의 값을 계산하라.

마찬가지로, 아래의 공식을 사용합니다.

따라서,

보시다시피, 이 값은 "순허수"입니다.

그러므로, 쌍곡 사인 함수는 다음과 같이 정의합니다.

위와 같이 정의하면, "sinh x"의 값은 실수가 나옵니다.

또한, "sinh"는 아래와 같은 방식으로 읽습니다.

(1) 하이퍼볼릭 사인.

(2) 하이퍼 사인.

(3) 사인 하이퍼볼릭.

(4) 신츠 또는 신취 (sinh를 읽은 것입니다).

쌍곡 사인을 아래와 같이 표현하기도 합니다.

그래프는 다음과 같습니다.

사인, 코사인 함수를 다루었으니, 이번에는 탄젠트 함수를 생각해 봅시다.

탄젠트 함수의 정의는 다음과 같습니다.

"쌍곡 탄젠트 (hyperbolic tangent; 하이퍼볼릭 탄젠트)"의 경우, 아래와 같이 정의합니다.

그래프는 다음과 같습니다.

잘 보시면, "tanh x"의 그래프는 ±1에 수렴함을 확인할 수 있습니다.

우리가 고등학생 시절에 배운 삼각함수의 여러 공식...

"쌍곡 함수"에 대해서도 마찬가지로 많은 공식들이 존재합니다만, 외울 필요는 전혀 없습니다.

예컨대, 삼각함수에 대해 아래의 수식이 성립함을 알고 계실 겁니다.

여기서 "x" 대신 "ix"를 대입하면, 쌍곡함수의 공식이 유도됩니다:

이와 같은 방법으로, 쌍곡함수가 만족하는 공식 (배각공식, 반각공식, 덧셈법칙 등)을 모두 유도할 수 있습니다.

그렇다면, 쌍곡함수는 왜 중요한 것일까요?

이 질문에 답하기 위해서는, 고등학생 시절에 배웠던 "삼각함수"의 중요성을 짚고 넘어갈 필요가 있습니다.

아래와 같은 "곡선"의 방정식을 생각해 봅시다.

아시다시피, 이는 "원 (circle)"의 방정식입니다.

여기서 잠깐, "원"이라는 도형은 1차원 도형입니다. 즉, 원 위에는 하나의 좌표만 존재할 수 있습니다.

관련된 문제를 하나 풀어 봅시다.

문제 아래와 같은 원에 대해 좌표계를 설정하고, 메트릭 텐서를 구하여라.

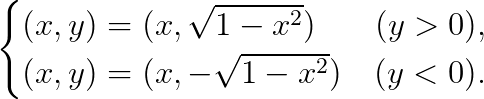
원 위의 한 점을 아래와 같이 나타내 봅시다.

이때, 원의 방정식을 풀면 다음을 얻습니다.

이를 대입합니다.

원 위의 한 점을, 하나의 좌표 (x)로 나타내었으므로, 위 수식은 원 위의 좌표계가 됩니다.

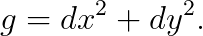
다음으로, 메트릭 텐서를 구하겠습니다. 2차원 평면의 메트릭 텐서는 아래와 같습니다.

위에서 구한 y값을 대입합니다:

따라서, 다음을 얻습니다.

조금 복잡하지요?

삼각함수를 사용하면 훨씬 쉽게 좌표계를 잡을 수 있는데요,

x와 y가 "x^2+y^2=1"을 만족하므로, 아래와 같이 치환할 수 있습니다.

위에서 등장한 "θ"는 다음과 같이 원 위의 한 점을 나타냅니다.

따라서, "θ"는 원 위의 좌표계입니다.

메트릭 텐서 또한 쉽게 구할 수 있습니다:

이처럼, 삼각함수를 사용하면 주어진 상황을 훨씬 쉽게 나타낼 수 있습니다.

그렇다면, 쌍곡 함수는 언제 등장하는 것일까요?

답은 바로 메트릭 텐서에 있습니다.

우리가 기존에 다루던 2차원 공간에서는, 메트릭 텐서가 아래와 같이 주어집니다.

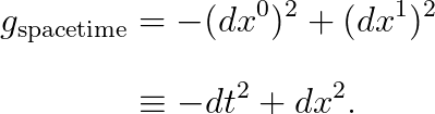
반면, 다음 시간에 다루겠지만, 2차원 "시공간"에서는 메트릭 텐서가 다음과 같습니다.

(위 식에서는, 편의상 아래와 같이 두었습니다.)

보시다시피, 메트릭 텐서가 "쌍곡선"의 형태를 하고 있군요.

문제 아래와 같은 쌍곡선에 대해 좌표계를 설정하고, 메트릭 텐서를 구하여라.

참고로, 2차원 시공간에서의 메트릭 텐서는 아래와 같다.

t와 x가 "-t^2+x^2=1"을 만족하므로, 아래와 같이 치환할 수 있습니다.

메트릭 텐서는 다음과 같습니다.

상대론에서는 쌍곡선이 상당히 자주 등장하기 때문에, 오늘 배운 쌍곡함수가 유용하게 사용될 것입니다.

 

다음검색
현재 게시글 추가 기능 열기

댓글

댓글 리스트
맨위로

카페 검색

카페 검색어 입력폼