CAFE

우주론

로렌츠 변환-7

작성자뽀야|작성시간22.04.23|조회수688 목록 댓글 0

"상대론 입문" 강의도 벌써 7번째 시간이로군요.

지난 1강에서 6강에 이르기까지, 우리는 상대론에 필요한 수학 개념들을 배웠습니다.

그리고 이번 시간에는, 본격적으로 "물리"를 논의해 볼 것입니다.

아래와 같은 시공간을 생각합시다.

시공간 상에서 움직이는 물체를 고려하겠습니다. 물체의 궤적 (세계선)은 아래와 같이 파란색으로 나타내겠습니다.

상황을 정리해 봅시다:

(1) 우리는 위 그림과 같이 움직이는 물체를 관측하고 있다.

(2) 이를 바탕으로 궤적을 그려 놓은 것이, 바로 위의 그림이다.

(3) 즉, 위 그림의 시공간은, 우리가 관측한 시공간이다.

그러면, 이번에는 "물체"가 관측한 시공간을 그려 보겠습니다.

물체가 관측한 시공간의 경우, 아래와 같이 좌표에 "프라임" 기호를 붙여서 표기하겠습니다.

마찬가지로, 위의 시공간에 물체의 궤적을 그려 볼까요?

물체가 스스로를 관측할 경우, 자기 자신은 정지해 있을 것입니다.

즉, 아래와 같이 물체의 궤적은 "물체의 시간축"과 일치하게 됩니다.

다시 한 번 강조하겠습니다.

" 물체의 궤적 (세계선)은, 물체의 시간축과 일치한다. "

자, 이제 우리가 관측하는 시공간으로 돌아오겠습니다. 앞서 그렸던 궤적을 다시 그려 봅시다:

위 그림에서 물체의 궤적은, 곧 물체의 시간축이므로 아래와 같이 표현할 수 있습니다.

즉, 우리는 다음의 결론에 도달합니다.

" 시간축은 자유롭게 휘어질 수 있다. "

이는 사실 고전역학에서도 성립하는 내용입니다. 다만, 고전역학에서는 시간축에 관심이 없었을 뿐입니다.

문제 다음과 같은 시공간을 생각하라.

아래 그림과 같이, 속도 v인 물체가 등속도 운동하고 있다.

시공간 상에서, 물체의 속도 벡터를 구하여라.

위 그래프에 나타난 직선의 "기울기"를 구하면 되는 문제입니다.

우선, 물체의 속도는 "v"이므로 다음이 성립합니다.

따라서, 시공간 상의 속도를 "대문자 V"라고 하면, 다음을 얻습니다.

그림으로 나타내면, 다음과 같습니다.

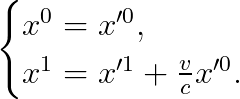
문제 아래와 같은 시공간을 고려하라.

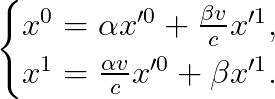
이를 다음과 같이 좌표변환하였다.

위 그림의 새로운 시간축 (파란색 시간축)이, 속도 v로 등속도 운동하는 관측자의 시간축일 때, 해당하는 좌표 변환식을 유도하여라.

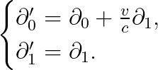
파란색 시간축이 "속도 v"로 등속도 운동하는 관측자의 시간축이므로, 기저 (basis) 벡터는 아래와 같습니다.

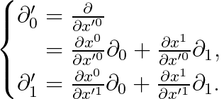
연쇄법칙을 적용하겠습니다:

따라서, 아래의 미분 방정식을 얻습니다.

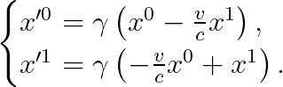
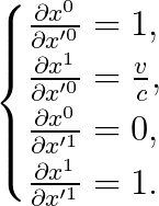
이를 풀어 다음을 얻습니다.

"x^0=ct"를 대입하여 아래와 같이 정리합니다.

보시다시피 "시간은 불변한다"는 결론을 얻었는데요, 이것이 바로 우리가 알던 고전역학입니다.

즉, 다음의 결론에 도달합니다.

" 고전역학에서는, 시간축은 휘지만 공간축은 그대로이다. "

반면, 상대성 이론에서는 시간축과 공간축이 모두 휘는데요, 이를 보이기 위해서는

"광속 불변의 원리 (invariance of speed of light; 인배리언스 오브 스피드 오브 라잇)"가 필요합니다.

광속 불변의 원리의 내용은 매우 간단합니다. 진공에서의 빛의 속도는, 누가 관측하건간에 "상수 c"로 관측된다는 내용입니다.

자, 그러면 아래 그림과 같은 상황을 고려해 보겠습니다.

보시다시피, 레이저 포인터에서 빛이 출발하면, 거울에서 반사되어 다시 돌아오는 상황입니다.

이를 시공간 상에 나타내 보겠습니다 (빛의 세계선은 기울기가 "1"임에 유의합시다):

그렇다면, 이러한 현상을, "움직이는 관찰자의 시점"에서 관측한다면 어떨까요?

일단, 아래와 같은 시공간을 고려합니다.

그 후, 등속도 운동하는 물체의 시간축을 그리겠습니다.

위 그림의 파란색 시간축에서, 빛의 발사할 것입니다.

이때, 광속 불변의 원리에 의해서 빛의 속도는 c 이므로, 궤적 (세계선)은 아래와 같이 나타납니다.

다음으로, 거울에서 반사된 뒤에 돌아오는 빛의 궤적을 그려 보겠습니다.

위 그림에서, 빛의 궤적이 꺾이는 지점이, 바로 거울이 놓여 있는 지점, 즉 "공간축"이 되겠습니다.

이로써, 아래의 결론에 도달합니다.

" 광속 불변의 원리에 의하면, 공간축이 기울어질 수 있다. "

이제, 우리는 시간축과 공간축이 기울어 지는 상황에 대한 "좌표 변환식"을 유도할 것인데요,

이를 일컬어 "로렌츠 변환 (Lorentz transformation; 로렌츠 트랜스포메이션)"이라고 부릅니다.

본격적으로 유도를 시작해 봅시다.

다시 한 번, 아래와 같은 시공간을 고려합니다.

다음으로, 속도 v인 물체의 시간축을 그려 보겠습니다.

광속 불변의 원리에 의해, 해당 물체의 공간축 또한 아래와 같이 기울어야 합니다.

즉, 새로운 좌표축의 기저 벡터는 다음과 같습니다.

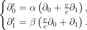
위 식의 기저 벡터를 바탕으로, 아래와 같은 좌표 변환식을 유도할 수 있습니다 ("4강" 참조).

보시다시피, 상수 "α"와 "β"가 남아 있으므로, 좌표 변환식이 완전히 유도되지 않았습니다.

("α=β=1"로 놓는 것은 불가능한데요, 왜냐하면 광속 불변의 원리는 좌표축의 방향만 제시해 줄 뿐, 좌표축의 길이에 대한 정보는 제공하지 않기 때문입니다.)

위 수식의 상수 α, β를 결정하기 위해서는, "상대성 원리 (principle of relativity; 프린시플 오브 렐러티비티)"가 필요합니다.

상대성 원리란, 등속 직선하는 상황에서도 물리 법칙은 변하지 않는다는 사실을 의미하는데요,

이때의 "물리 법칙"이 무엇인지를 먼저 설명해 드리겠습니다.

물리학이라는 학문에는, 크게 세 가지 요소가 있습니다.

(1) 초기 조건.

(2) 물리 법칙.

(3) 결과.

초기 조건을 물리 법칙에 대입하면 결과가 나옵니다. 그것이 바로 물리학이라는 학문입니다.

즉, 물리 법칙이 같다는 것은, 동일한 초기 조건을 주었을 때 같은 결과가 나온다는 뜻입니다.

물리 법칙이 같다는 것을 다르게 표현하자면, "물리 공식"이 같다고 보아도 무방합니다.

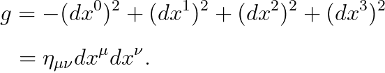
이때, 물리 공식이 불변하기 위해서는 "메트릭 텐서"가 불변해야 합니다.

왜일까요? 이유는 간단합니다.

이 세상 모든 물리 공식은, "라그랑지안" 개념으로 설명됩니다 (적어도 현재까지 만들어진 물리 이론은요).

그리고, 라그랑지안은 "스칼라"입니다.

즉, 일반적인 물리량 (벡터와 텐서)을 스칼라로 만들기 위해서는, 아래와 같이 "내적"을 해야 합니다:

그리고, 4차원 시공간에서 내적을 하기 위해서는, 메트릭 텐서가 필요합니다 ("5강" 참조):

따라서, 물리 법칙이 불변하기 위해서는 라그랑지안이 불변해야 하므로, 로렌츠 변환에 대해서 메트릭 텐서가 불변해야 합니다.

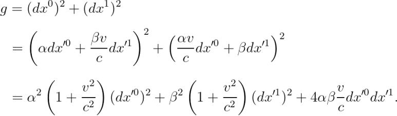
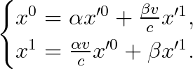
자, 그러면 메트릭 텐서를 아래와 같이 잡아 봅시다.

위에서 구한 좌표 변환식을 기억하시나요?

이를 대입하여 다음을 얻습니다.

상대성의 원리에 의해, 위 메트릭은, 아래와 같이 원래의 메트릭과 동일한 형태이어야 합니다.

(잘 보시면 x에 프라임이 붙은 것을 확인할 수 있습니다.) 따라서, 다음을 얻습니다.

이는 속도 v가 "0"이라는 결론이므로, 모순입니다.

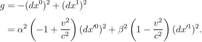
이러한 모순을 막기 위해서, 메트릭 텐서를 아래와 같이 잡아 보겠습니다.

보시다시피, 시간축 방향의 부호가 마이너스가 되었습니다.

만일, 주어진 시공간이 4차원이라면, 메트릭 텐서는 아래와 같이 주어집니다.

이를 행렬로 표기하면, 다음과 같습니다.

이러한 형태의 메트릭 텐서를, "민코프스키 메트릭 텐서 (Minkowski metric tensor)"라고 부르며,

위와 같은 형태의 "행렬"을 아래와 같이 "그리스 문자 η (이타)"로 치환하여 표기합니다.

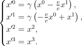
이제, 우리가 구한 좌표 변환식을 적용하여 다음을 얻습니다.

상대성의 원리에 의해, 메트릭 텐서는 "x 프라임" 좌표계에서 다음과 같아야 합니다.

따라서,

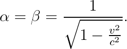
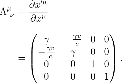
위의 수식을 "로렌츠 팩터 (Lorentz factor)"라고 부르며, "그리스 문자 γ (감마)"로 나타냅니다:

이를 대입하여, 다음과 같은 "로렌츠 변환 (Lorentz transformation; 로렌츠 트랜스포메이션)"을 얻습니다.

만일, 주어진 시공간이 4차원이라면, 로렌츠 변환은 다음과 같이 주어집니다.

로렌츠 변환을 행렬의 형태로 나타낼 때에는, "그리스 문자 Λ (람다)"를 사용합니다.

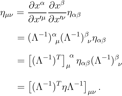
이를 바탕으로, 메트릭 텐서의 좌표 변환식을 살펴 보겠습니다.

우선, 메트릭 텐서는 다음과 같습니다.

따라서, 메트릭 텐서의 성분 (component)는 다음과 같습니다.

"x 프라임" 좌표계에서도 메트릭 텐서의 형태는 같기 때문에, "x 프라임" 좌표계에서의 메트릭 텐서의 성분 역시, 민코프스키 메트릭 텐서의 형태로 주어집니다:

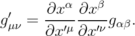
이때, 메트릭 텐서의 좌표 변환식은 다음과 같습니다 ("4강"에서 다루었던 식입니다).

따라서, 다음을 얻습니다 (아래 식에서 행렬의 트랜스포즈 관련 내용은, "3강"의 맨 마지막 부분에 있습니다).

Λ의 역행렬을 이항하면, 다음의 결론에 도달합니다.

상대론 교재를 보시다 보면, 위의 수식이 자주 등장할 것입니다.

(본 블로그에서는, 그다지 자주 다루지 않을 예정입니다만...)

마지막으로, 로렌츠 변환식을 좀 더 간단하게 기술하는 방법을 알려 드리겠습니다.

2차원 시공간 (1차원 공간+1차원 시간)을 생각합시다.

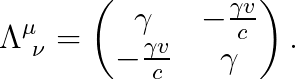
로렌츠 변환 행렬은 다음과 같습니다.

아래와 같이 치환합니다.

"tanh"는, "6강"에서 배웠던 쌍곡 탄젠트입니다.

로렌츠 팩터 γ는, 다음과 같이 나타납니다.

따라서, 로렌츠 변환 행렬은 아래와 같이 주어집니다.

간단하지요?

여기서 등장한 물리량 "φ (파이; f 발음입니다)"를, "신속-도 (rapidity; 래피디티)"라고 부릅니다.

(원래는 "신속도"라고 표기함이 옳은데, "신+속도"라고 오해하실까봐 "신속-도"라고 표기하였습니다.)

문제 행렬 Λ (람다)를 아래와 같이 정의하라.

이때, 아래의 수식을 증명하여라.

고등학교때 배웠던 삼각함수의 덧셈 공식을 활용하면 됩니다. 쌍곡함수에 대해 모르시다면 "6강"을 참조하세요.

이로써, "로렌츠 변환"에 대해 배웠습니다.

다음 시간에는, 로렌츠 변환으로 알 수 있는 여러 가지 물리 현상들 (시간 지연/길이 수축/쌍둥이 역설)에 대해 공부해 보겠습니다.

 

다음검색
현재 게시글 추가 기능 열기

댓글

댓글 리스트
맨위로

카페 검색

카페 검색어 입력폼