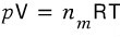
이상기체 상태 방정식
![]()
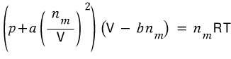
반데르발스 기체상태 방정식(Van der Waals gas)

1) 관찰
가. 일회용 가스라이터 속 기체의 분자량 측정
액화된 기체가 들어있는 가스라이터로부터 눈금실린더에 대고 노즐을 눌러 기체를 모은다. 이때 가스라이터 속 기체는 물에 녹지 않기 때문에 기포의 형태로 기체가 발생하는 것을 관찰할 수 있다. 눈금실린더 내부와 수조의 수면의 높이를 같게 맞춰 기체의 부피를 측정하고 물에서 꺼낸 가스라이터의 물기를 완전히 제거하고 질량의 차이를 구해 기체의 질량을 측정한다.
나. 아이소프로판올의 분자량 측정
둥근 바닥 플라스크 입구를 알루미늄 포일로 덮어씌운 뒤 바늘로 작은 구멍을 2~3개 정도 뚫는다. 이때 플라스크 속에 들어있는 아이소프로판올까지 기화되어 빠져나가지 않도록 최대한 작은 구멍을 뚫는다.
비커에 물을 3/4정도를 넣고 둥근 바닥 플라스크가 입구까지 잠기도록 넣는다. 아이소프로판올을 증발시키면 발생된 기체는 공기보다 무거우므로 아래부터 천천히 차오르게 되고 플라스크 속의 원래의 공기는 은박지의 작은 구멍으로 밀려 나오게 된다. 이렇게 발생된 기체는 빛의 굴절 때문에 새어 나오는 것을 관찰할 수 있다. 또한, 둥근바닥 플라스크 속의 시료가 모두 증발하여 바닥에 액체가 보이지 않게 되면 물의 온도를 측정하고 플라스크를 꺼내 표면의 물을 닦고 상온으로 식힌다. 온도가 내려가게 되면서 기화되었던 아이소프로판올이 둥근바닥 플라스크의 표면에 응결되어 나타나는 것을 관찰할 수 있다.
2) 측정 결과
가. 일회용 가스라이터 속 기체의 분자량 측정
내용 | 측정 및 계산값(단위) |
기체가 들어있는 가스라이터의 질량 | 13.5g |
물에서 꺼낸 가스라이터의 질량 | 13.3g |
기체의 질량 | 0.2g |
눈금실린더에 모아진 기체의 부피 | 89.5mL |
기체의 온도 | 24℃ |
실험실의 기압 | 760mmHg |
실험 조건에서 물의 증기압 | 23.377 |
PV=nRT
M=wRT/PV
=0.2*0.082*(273.15+24)=56.1016571246
737.623/760*0.0895
오차: 58-56.1016=1.8984
오차%:1.8984/58*100=3.2731034483(%)
나. 아이소프로판올의 분자량 측정
내용 | 측정 및 계산값(단위) |
알루미늄 포일로 입구를 씌운 플라스크의 질량 | 91.5g |
아이소프로판올이 모두 기화했을 때 물의 온도 | 88℃ |
아이소프로판올 기체의 압력 | 1atm |
완전히 식은 후 아이소프로판올이 담긴 플라스크의 질량 | 92.2g |
아이소프로판올 기체의 질량 | 0.7g |
PV=nRT
M=wRT/PV
=0.7*0.082*(88+273.15)/1*110=66.7667854545
오차:66.7667854545-60=6.7667854545
오차%:6.7667854545/60*100=11.277(%)
6. 고찰 (Discussion & Conclusion)
1.기체의 부피를 측정할 때 눈금실린더와 수조의 수면의 높이가 다를 경우 높이차를 보정하는 방법을 설명해보자.
눈금실린더의 높이보다 수조의 수면의 높이가 더 높다면 물을 빼내서 그 높이차를 보정하고 눈금실린더의 높이가 수조의 수면의 높이보다 더 높다면 차이만큼 물을 채워 넣어 높이차를 보정한다. 이렇게 수면의 높이가 같아지게 되면 플라스크 눈금을 통해서 기체의 부피를 측정할 수 있다.
2. 일회용 가스라이터에는 왜 기체가 아니고 액체가 들어있는지 생각해보고 기화시키기 위해 어떤 요인을 변화시켰는지 설명해보자.
라이터 안에는 액화석유가스가 들어있는데 만약 액체가 아닌 기체가 들어있다면 몇 번도 사용하지 못하고 수명을 다할 것이다. 또한, 라이터 안에 들어있는 기체의 압력과 대기압이 같기 때문에 라이터 밖으로 기체가 나오지 않을 가능성도 있다.
따라서 석유가스에 높은 압력을 가하고 끓는점을 낮추어 액화시켜 많은 양의 기체를 액체 상태로 넣어 놓는 것이다. 이렇게 만들어진 액체가 들어있는 라이터의 손잡이를 누르게 되면 라이터 속의 기체의 압력이 대기압보다 커서 기체가 빠져나오게 된다.
3. 일회용 가스라이터 실험에서 오차가 발생하는 원인을 분석해보자.
오차가 발생할 수 있는 원인은 크게 두 가지가 있다. 첫 번째는, 일회용 가스라이터를 통해서 기체를 발생시킬 때 플라스크가 아닌 수조로 기체가 빠져나가는 경우이다. 이렇게 되면 발생된 기체의 부피에 오차가 발생하기 때문에 분자량 또한 실제와 달라진다. 두 번째로는, 가스를 발생시키고 난 후의 일회용 가스라이터의 질량을 잴 때 수분을 완벽히 제거하지 못했을 때 실제로 빠져나간 기체의 질량과 차이가 발생하게 되고 분자량에 오차가 발생하게 된다.
4. 아이소프로판올과 같은 방법으로 분자량을 측정하기 위해서 액체 물질이 갖추어야 하는 조건들을 설명해보자.
아이소프로판올과 같은 방법으로 분자량을 측정하기 위해서는 액체 물질이 기화되는 온도가 물의 끓는점인 100도보다 낮아야 한다. 만약 물의 끓는점보다 높다면 액체물질이 기화되지 않기 때문에 둥근바닥 플라스크 속의 원래 공기가 빠져나가지 않게 되고 시료의 질량을 제대로 측정할 수 없게 된다. 아이소프로판올의 끓는점은
82.4℃이다.
5. 아이소프로판올이 모두 기화한 후 플라스크를 꺼내어 표면에 묻어 있는 물을 닦고, 실온이 될 때까지 방치하여 두면 시료는 어떤 변화가 일어나는지 설명해보자.
아이소프로판올이 모두 기화된 플라스크는 높은 온도의 상태인데 이를 실온이 될 때까지 방치하여 두면 온도가 내려가면서 기화되었던 아이스프로판올이 다시 둥근 바닥 플라스크 내부에 응결되어 액체 상태로 돌아올 것이다.
6. 아이소프로판올의 분자량 측정 실험에서 플라스크를 물속에 깊이 잠기도록 해야 하는 이유를 설명해보자.
플라스크를 물속에 깊이 잠기도록 하지 않는다면 둥근 바닥 플라스크의 윗부분과 아랫부분의 온도의 차이가 발생하게 된다. 분자량을 구할 때 온도를 제어할 수 있는 플라스크의 아랫부분의 온도를 사용하는데 위, 아래의 온도의 차이가 생기게 되면 실제 플라스크 안의 온도는 측정된 플라스크 아랫부분의 온도보다 낮을 것이다. 따라서 실제보다 높은 온도로 계산하게 되므로 분자량은 높게 측정될 것이다.
이러한 이유로 플라스크를 물속에 깊이 잠기도록 해 둥근 바닥 플라스크의 윗부분과 아랫부분의 온도 차이가 나지 않도록 해야 한다.
7. 알루미늄 포일의 구멍을 가능한 한 작게 뚫도록 한 이유를 설명해보자.
알루미늄 포일에 구멍을 뚫는 이유는 내부압력을 대기압과 같게 하기 위해서이고, 가열을 통해 원래의 공기가 구멍을 통해서 빠져나가면서 외부의 대기압과 플라스크 내 압력이 평형을 이루게 된다. 하지만 증발된 시료까지 둥근 바닥 플라스크로부터 빠져나가는 것을 막는 알루미늄 포일에 큰 구멍이 생기게 되면 아이소프로판올과 같은 시료가 같이 증발되어 빠져나가 오차가 발생할 수 있으므로 가능한 한 작은 구멍을 뚫어야 한다.
8. 아이소프로판올을 증발시킬 때 기체가 플라스크 내벽에 응축하거나 아이소프로판올에 기화하지 않는 불순물이 녹아 있다면, 실험 결과는 어떻게 될지 설명해보자.
아이소프로판올을 증발시킬 때 기체가 플라스크 내벽에 응축하게 되면 정확한 시료의 질량을 측정할 수 없게 되어 실제 분자량과 계산된 분자량 사이에 오차가 발생하게 된다. 그리고 아이소프로판올에 기화되지 않는 불순물이 녹아 있다면 실험을 할 때에 불순물을 시료라고 착각하여 기화될 때까지 지속적으로 가열을 할 것이고 둥근 바닥 플라스크 위에 뚫어놓은 구멍을 통해서 시료까지 모두 빠져나가게 될 것이다. 따라서 불순물과 시료의 평균적인 분자량이 나오게 될 것이고 만약 불순물의 분자량이 시료보다 높다면 분자량이 높게, 불순물의 분자량이 낮으면 분자량은 낮게 계산될 것이다.
9. 아이소프로판올이 모두 기화되지 않아서 오차가 발생하는 경우 어떻게 오차의 범위를 줄일 수 있을까?
아이소프로판올은 무색의 액체이므로 모두 기화가 되었는지 정확히 관찰할 수 없다. 그렇기 때문에 색소를 첨가하여 시료가 기화하는 것을 잘 관찰할 수 있게 된다면 아이소프로판올이 모두 기화될 시점을 정확히 알게 되고 오차의 범위를 줄일 수 있게 된다. 그리고 알루미늄 구멍을 통해서 기화된 아이소프로판올이 나갈 수 있는데 색소를 첨가한다면 이 또한 방지할 수 있을 것이다.
7. 참고 문헌(Reference)
1.[화학실험] 기체상태방정식을 이용한 분자량측정|작성자 주상
http://blog.naver.com/PostView.nhn?blogId=jusang0154&logNo=140147126572
2. 일반화학실험 (동국대학교 화학과 화학실험실편전, 녹문당)
3. 분자량 측정실험_네이버 블로그
http://blog.naver.com/jsj5373/20113461001
4.시료 증발 시 기체가 플라스크 내벽에 응축되거나 기화하지 않는 불순물이 함께 포함되어 있다면 결과는 어떻게 달라질까?
https://prezi.com/t2xin0-_q2c9/untitled-prezi/
5.부테인의 분자량_고교생이 알아야 할 화학 스페셜
http://terms.naver.com/entry.nhn?docId=982522&mobile&cid=47337&categoryId=47337
6.아이소프로판올[ isopropanol ] 의 끓는점과 화학식_두산백과
http://terms.naver.com/entry.nhn?docId=1134927&cid=40942&categoryId=32273&mobile