CAFE

[스크랩] 2024학년도 수능 수학 1번 문제

작성자충무공 이순신|작성시간23.11.16|조회수5,995 목록 댓글 54
다음검색
스크랩 원문 : 樂soccer
현재 게시글 추가 기능 열기

댓글

댓글 리스트
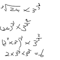
  • 작성자혼합유기물 | 작성시간 23.11.16 24^1/3 x 3^2/3
    24^1/3 => 2^(3/3) x 3^(1/3)
    2^(3/3) x 3^(1/3) x 3^(2/3)
    2 x 3
  • 작성자호떡호떡 | 작성시간 23.11.16 6 댓글 첨부 이미지 이미지 확대
  • 작성자댓글이쁘게달기 | 작성시간 23.11.16 어 시벌 암산이 안되네
  • 작성자고양이가세상을구한다 | 작성시간 23.11.16 암산 안될 뻔 했네 ㅅㅂ
  • 작성자나이샤찢을때나는신음소리가좋아 | 작성시간 23.11.16 5초컷 ㅋ
댓글 전체보기
맨위로

카페 검색

카페 검색어 입력폼