CAFE

저항이란?

저항의 연결방법과 저항값의 계산에 대해 알아봅시다.

작성자덤보|작성시간12.12.16|조회수8,988 목록 댓글 4

 

저항의 연결방법과 저항값의 계산에 대해 알아봅시다.

 

저항의 연결방법에는, 저항을 직렬로 연결하여 회로를 구성하는 방법과, 병렬로 연결하여 회로를 구성하는 2가지 연결방법이 있답니다.

 

저항을 직렬로 연결하게 되면 합성 저항값은 커지게 되고, 병렬로 연결하게 되면 합성 저항값은 작아지게 된답니다.

여기서 저항의 직렬연결과 병렬연결에 대해 알아봅시다.

 

저항의 직렬연결

 

2개 이상의 저항을 일렬로 연결한 것을 직렬연결이라고 하는데, 저항을 직렬 연결하게 되면 전체 저항값, 즉 합성 저항값은 연결된 저항의 값을 모두 더한 값이 된답니다.

그럼 직렬 연결된 합성 저항값을 어떻게 계산하는지 알아봅시다.

 

 

저항의 직렬연결

 

 

그림에서와 같이 저항이 직렬로 연결된 회로에 흐르는 전류와 전압은 다음과 같이 계산되어진답니다.

 

저항 R1과 저항 R2에 흐르는 전류를 I1 과, I2 라고 하면,

 

전체 회로에 흐르는 전류 I 는 항상 일정하므로 전체전류 I = I1 = I2이 된답니다.

 

저항 R1과 저항 R2에 걸리는 전압을 VR1과 VR2라고 하면,

 

회로에 걸리는 전체 전압 V는 각각의 저항에 걸리는 전압을 모두 더한 값이 되므로 전체 전압 V = VR1 + VR2가 된답니다.

 

따라서, 각 저항에 걸리는 전압은 옴(Ω)의 법칙 V = I × R 에 의해

 

VR1 = I × R1, VR2 = I × R2 가 되므로

 

전체 전압 V = VR1 + VR2 = (I × R1) +(I × R2) = I × (R1+R2) 가 된답니다.

 

여기서, 전체 저항값 R = R1 + R2 가 되므로

 

저항을 직렬 연결했을 때 합성 저항값은 직렬 연결된 모든 저항값을 합한 값이 된다는 것을 알수 있답니다.

 

즉, 직렬연결에서의 합성 저항 R = R1 + R2+ R3+ R4 + R5 + ....... 로 계산 된답니다.

 

한가지 더 알아두어야 할 것은, 각 저항에 걸리는 전압비는 VR1 : VR2 = IR1 : IR2 가 되는데, 전류는 항상 일정하므로,

 

V1 : V2 = R1 : R2로 표현되어, 각 저항에 걸리는 전압은 직렬로 연결된 각 저항의 크기에 비례하는 것을 알 수 있답니다.

 

 

저항의 병렬연결

 

2개 이상의 저항 양쪽 끝을 평형하게 연결한 것을 병렬연결이라고 하는데, 저항을 병렬 연결하게 되면 전체 저항값, 즉, 합성 저항값은 연결된 저항의 값의 역수를 모두 더한 값이 된답니다.

그럼 병열 연결된 합성 저항값을 어떻게 계산하는지 알아봅시다.

 

 

저항의 병렬연결

 

 

그림에서와 같이 저항이 병렬로 연결된 회로에 흐르는 전류와 전압은 다음과 같이 계산되어진답니다.

 

저항 R1과 저항 R2에 흐르는 전류를 I1 과 I2 라고 하면,

 

회로에 흐르는 전체전류는 저항 R1에 흐르는 전류와 저항 R2에 흐르는 전류를 모두 더한 값이 되므로

 

전체전류 I = I1 + I2 이 된답니다.

 

저항 R1과 저항 R2에 걸리는 전압 V는 동일하므로 각각의 저항에 걸리는 전압은 모두 같은 값이 되므로

 

전체 전압 V = VR1= VR2가 된답니다.

 

저항 R1과 저항 R2에 흐르는 전류는 옴(Ω)의 법칙 V = I × R 에 의해

 

 

가 된답니다.

 

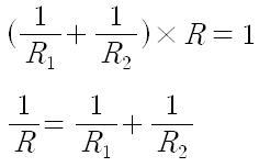
따라서, 저항을 병렬 연결했을 때, 합성 저항값의 역수는 병열연결된 각 저항의 역수의 합과 같아지는 것을 알 수 있답니다.

 

즉, 병렬 연결에서의 합성 저항은

 

 

로 계산 된답니다.

 

위의 식에서 2개의 병렬 저항 합성 저항값은

 

 

 

로 계산되어진답니다.

 

한가지 더 알아두어야 할 것은, 각 저항에 흐르는 전류비 I1 : I2 = V/R1 : V/R2 가 되는데,

전압 V는 항상 일정하므로 I1 : I2 = 1/R1 : 1/R2로 표현되어,

병렬로 연결된 각 저항에 흐르는 전류 세기는 저항의 크기에 반비례한다는 것을 알 수 있답니다.

 

다음검색
현재 게시글 추가 기능 열기

댓글

댓글 리스트
  • 작성자nguoi | 작성시간 15.02.02 감사합니다. 또 배웠읍니다.
  • 작성자Der Techniker | 작성시간 19.03.13 V = I X R
  • 작성자전자 배움 | 작성시간 19.03.15 자료가 깔끔 하고 좋습니다.
  • 작성자DS4HIT | 작성시간 21.09.28 알기 쉽게 설명을 해 두셨네요
댓글 전체보기
맨위로

카페 검색

카페 검색어 입력폼