CAFE

인덕터란?

인덕터(inductor)의 인덕턴스와 연결방법

작성자덤보|작성시간13.01.30|조회수10,196 목록 댓글 6

 

인덕터(inductor)의 인덕턴스와 연결방법

 

도선에 흐르는 전류의 자기작용을 이용한 소자를 인덕터라고 한답니다.

인덕터는 전류가 흐를 때 그 전류의 변화를 억제하려는 성질을 가지게 되는데

이러한 인덕터의 성질을 인덕턴스(inductance)라고 한답니다.

인덕턴스의 단위는 “H(헨리)”를 사용하고, 인덕턴스 값을 “L” 이라 한답니다.

 

여기서 설명하는 인덕터와 인덕턴스는 복잡한 수식과, 전자유도, 플래밍의 왼손법칙, 유도기전력등에 대해 이해가

선행되어야 하므로 계략적으로 이해하기 쉽게 풀어보기로 합시다.

 

도선에 전류가 흐르게 되면 자기장이 형성되는데,

직류(DC)의 경우에는 도선에 흐르는 전류의 방향이 일정한 방향으로 흐르기 때문에

도선에 형성된 자기장의 방향 역시 일정한 방향으로 생성되어(자기장 방향의 변화가 발생하지 않는답니다.)

아무런 변화가 일어나지 않고 전류가 흐르게 된답니다.

 

 

교류(AC)의 경우에는 도선에 흐르는 전류의 방향이 주기적으로 바뀌게 되어

자기장의 방향 역시 주기적으로 바뀌게 된답니다.

그러나, 자기장의 방향 변화는 도선에 흐르는 전류의 방향과 동시에 이루어지지 못하고 지연시간을 갖게 되는데,

이로 인해 주기가 바뀐 전류 방향은 이전에 생성된 자기장의 방향에 의해 흐름이 억제되는 현상이 발생하게 되는데,

이러한 성질이 바로 인덕턴스라고 하는 것이랍니다.

 

 

 

 

이렇듯 도선에 흐르는 전류에 의해 생성되는 인덕터스는 도선 자체에 생성되는 자체유도(self inductance)

근접한 두 개 이상의 도선에서 생성되는 상호유도(mutual inductance)로 구별된답니다.

(자체 인덕턴스, 상호 인덕턴스라고도 한답니다.)

 

자체유도와 상호유도에 대해 개략적으로 알아봅시다.

 

자체 유도(self inductance)

자체 유도는 코일에 흐르는 전류가 변화하면 코일 중의 자속이 변화되어 코일 자체에 기전력이 유도되는 현상이 발생하는데,

이렇게 유도된 기전력은 외부에서 공급해준 전류의 변화를 방해하는 방향으로 생기기 때문에 역기전력이라고도 한답니다.

 

 

 

 

상호인덕턴스(mutual inductance)

근접한 두개의 코일 중 한쪽 코일(1차코일)에 전류를 흘리면 자속이 발생하게 되는데,

전류가 변화하면 전류가 흐르는 코일(1차코일)의 자속이 변화되어 근접한 코일(2차코일)에 영향을 주어

1차코일의 자속의 변화를 방해하려는 방향으로 기전력이 발생한답니다.

 

쉽게 풀이하면, 1차 코일의 전류가 변화하면, 2차 코일에 유도기전력이 발생하는 것을 상호유도라 한답니다.

  

 

 

 

 

인덕터의 연결

 

인덕터의 연결은 직렬 또는 병열 연결, 직/병열 연결 방법이 있는데, 인덕터와 인덕턴스는 복잡한 수식의 전계가 필요하므로

단순한 결과식 만으로 계략적으로 이해하기 쉽게 풀어보기로 합니다.

 

인덕터의 직렬연결

2개 이상의 인덕터를 일렬로 연결한 것을 직렬연결이라고 하는데, 인덕터를 직렬 연결하게 되면

전체 인덕터값은 연결된 인덕터 값을 모두 더한 값이 된답니다.

그럼 직렬 연결된 인덕터값을 어떻게 계산하는지 알아봅시다.

 

 

 

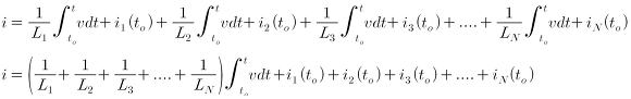
그림에서와 같이 인덕터가 직렬로 연결된 회로에 흐르는 전류와 전압은 다음과 같이 계산되어진답니다.

인덕터 L1, L2, L3...LN 에 흐르는 전류를 I1, I2, I3.... IN 이라고 하면,

전체 회로에 흐르는 전류 I 는 항상 일정하므로 전체전류 I = I1 = I2 = I3 = IN이 된답니다.

 

인덕터 L1, L2, L3, ..... LN에 걸리는 전압을 VL1, VL2, VL3, ..... VLN, 이라고 하면,

회로에 걸리는 전체 전압 V는 각각의 인덕터에 걸리는 전압을 모두 더한 값이 되므로

전체 전압 V = VL1 +VL2 +VL3 +.... +VLN,가 된답니다.

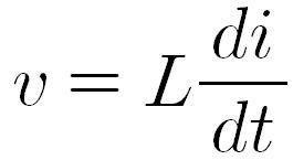
여기서, 인덕터의 전압과 전류의 미분 관계식

 

 

이므로, 전체전압은

 

   

가 된답니다.(수식은 참고만 하세요..^^)

 

따라서, 인덕터값 L = L+ L2 + L+ ..... +LN 이 된답니다.

즉, 직렬 연결된 인덕터의 합성 인덕터값은 연결된 모든 인덕터값을 합한 값이 된답니다.

 

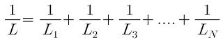
인덕터의 병렬연결

2개 이상의 인덕터 양쪽 끝을 평형하게 연결한 것을 병렬연결이라고 하는데,

인덕터를 병렬 연결하게 되면 전체 인덕터값은 연결된 인덕터 값의 역수를 모두 더한 값이 된답니다.

그럼 병열 연결된 인덕터값은 어떻게 계산하는지 알아봅시다.

 

 

 

그림에서와 같이 인덕터가 병렬로 연결된 회로에 흐르는 전류와 전압은 다음과 같이 계산되어진답니다.

인덕터 L1, L2, L3...LN 에 흐르는 전류를 I1, I2, I3.... IN 이라고 하면, 전체 회로에 흐르는 전류 I 는

각각의 인덕터에 흐르는 전류를 모두 더한값이 되므로 전체전류 I = I1 + I2 + I3 + ...... + IN이 된답니다.

인덕터 L1, L2, L3...LN 에 걸리는 전압 V는 동일하므로 각각의 인덕터에 걸리는 전압은 모두 같은 값이 되므로

전체 전압 V = VL1 = VL2 = VL3 = .... = VLN,가 된답니다.

 

여기서, 인덕터의 전압과 전류의 적분 관계식

 

인덕터에 초기 전류량이 있다면

  

 

이므로, 전체 전류는

 

 

가 된답니다.(수식은 참고만 하세요...^^)

따라서 인덕터 값

 

 

즉, 인덕터를 병렬 연결했을 때, 합성 인덕터값의 역수는 병열 연결된 각 인덕터의 역수의 합과 같아지는 것을

알 수 있답니다.

다음검색
현재 게시글 추가 기능 열기

댓글

댓글 리스트
  • 작성자덤보 작성자 본인 여부 작성자 | 작성시간 14.08.20 전자회로에서 인덕터는 매우 중요한 기능을 수행한답니다...
    또한 전자회로에서 인덕터가 없는 회로는 없다고 생각하시면 된답니다...
    전자회로 하면 우선 IC나 트랜지스터 등을 많이 생각하시는데.. 이러한 부품들은 능동소자라고 하고, 저항, 인덕터, 캐패시터 등을 수동소자라고 하지요..
    이러한 인덕터는 아시는 것과 같이, 한가지 예로 초크코일.... 교류로 인한 잡음제거에 활용되는데.. 모든 전자제품의 회로에 꼭 필요한 회로부품으로 사용되어진답니다.....
  • 작성자덤보 작성자 본인 여부 작성자 | 작성시간 14.08.20 예를 들어, 트랜스포머라는 것은 상호인덕턴스를 이용하여 220Vac 전압을 5Vac 또는 사용하고자하는 전원 전압으로 변환시키고, 인덕터라는 것은 초크코일등과 같이 전자파가 발생하는 것을 억제하기 위해 사용되어지고,, 또한 무선통신에서 사용되는 출력 안테나의 메칭 등 매우 다양한 곳에서 사용한답니다......
  • 작성자아리람알 | 작성시간 15.09.30 학교에서 레귤레이터 만드는데 인덕터가 들어가는데 많이 도움이 되었습니다.
  • 작성자Der Techniker | 작성시간 19.03.14 인덕터의 인덕턴스구하는 방법은 저항값을 구하는 것과 매우 비슷하네요. 캐패시터와는 정반대이군요.

    좋은 글 감사합니다. 그리고 전자회로 설계를 함에 있어서 푸리에 급수 등의 수학적 지식이 없으면 아주 힘들것같다는 생각이 듭니다. 그러고보니 프랑스에는 훌륭한 수학자들이 많이 있는 것 같습니다.
  • 작성자전자 배움 | 작성시간 19.03.15 자료 감사드립니다.
댓글 전체보기
맨위로

카페 검색

카페 검색어 입력폼