CAFE

콘덴서/캐패시터란?

콘덴서는 어떻게 사용하는 것일까(콘덴서의 연결)

작성자덤보|작성시간13.01.23|조회수4,586 목록 댓글 1

 

 

콘덴서는 어떻게 사용하는 것일까?(콘덴서의 연결)

 

전하와 캐패시턴스

 

콘덴서 또는 캐패시터는 전기를 저장할 수 있는 축전기로 내부는 절연체 또는 유전체로 분리된 2개의 도전체판으로

구성되어 있답니다.

이러한 2개의 도전체에 어떤 일정 전압을 걸었을 때 충전되는 전하량의 비율을 정전용량 또는

캐패시턴스(capacitance)라고 한답니다.

다시 말해, 정전용량(캐패시턴스)은 커패시터가 전하를 축적할 수 있는 능력이라고 말할 수 있답니다.

 

이러한 캐패시터의 전하는 도전체의 표면적과 도전체 사이의 거리, 유전체의 유전율, 외부에서 공급되는 인가전압에 의해

다음과 같은 식으로 표현된답니다.(참고하시기 바랍니다.)

 

 더블클릭을 하시면 이미지를 수정할 수 있습니다

 

                 Q : 전하량

                 k : 도전체판 구조와 유전체 의존 상수(즉, 유전율을 의미)

                 A : 도전체판 면적

                 d : 도전체판 거리

                 V : 인가전압

 

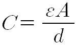
상수 k와 도전체의 표면적, 도전체사이의 거리는 캐패시터에 대한 내용으로 이를 다시 수식으로 정리하면

(상수 k는 유전체 유전률 : k ≈ ε)

 

    (ε : 유전체의 유전율)

 

따라서,  전하량은

 

 

 

가 되므로 캐패시턴스는

 

   가 된답니다.

 

이러한 캐패시턴스의 단위로는 F : 패럿 (farad)을 사용한답니다.

 

 

콘덴서의 연결

 

콘덴서의 연결방법으로는 직렬연결, 병렬연결, 직/병렬연결 방법이 있는데,

여기서는 직렬연결과 방렬 연결에 대해서만 계략적으로 언급하기로 합니다.

 

콘덴서의 직렬연결

 

 

 

콘덴서의 직렬연결회로는 각 콘덴서에 걸리는 전압의 합은 인가된 전압과 같다 것을 알 수 있답니다.

V = V1 + V2 + V3 +...

 

여기서, 콘덴서의 인가전압 V = Q/C 이므로

V1 = Q1/C1, V2 = Q2/C2, V3 = Q3/C3, .....

 

따라서,

V=Q1/C1 + Q2/C2 + Q3/C3 +......가 된답니다.

 

여기서 직렬 연결된 콘덴서의 전하량은 모두 같기 때문에

Q = Q1 = Q2 = Q3 =.... 이 되므로

 

V = Q(1/C1 + 1/C2 + 1/C3 +....)가 된답니다.

 

따라서 직렬연결 콘덴서의 캐패시턴스

1/C = 1/C1 + 1/C2 + 1/C3 +..... 가 되는 것을 알 수 있답니다.

 

 

콘덴서의 병렬연결

 

 

 

콘덴서의 병렬회로에서 콘덴서의 전하량은 각 콘덴서에 축적된 전하의 합이 되는데

이를 식으로 표현하면

Q = Q1 + Q2 + Q3 +....가 된답니다.

 

콘덴서의 전하량 Q = CV 이므로

Q1 = C1V, Q2 = C2V, Q3 = C3V......

 

여기서 전체 전하량은 각 콘덴서 전하의 합이므로

Q = C1V + C2V + C3V +...

= V(C1 + C2 + C3 +....)가 된답니다.

 

따라서 병렬연결 콘덴서의 캐패시턴스

C = C1 + C2 + C3 +....가 되는 것을 알 수 있답니다.

 

 

 

다음검색
현재 게시글 추가 기능 열기

댓글

댓글 리스트
  • 작성자Der Techniker | 작성시간 19.03.14 직렬, 병렬 상태에서의 저항 합성값과 정반대로 나타나는 것 같습니다. 감사합니다.
댓글 전체보기
맨위로

카페 검색

카페 검색어 입력폼