CAFE

공지사항

[업데이트]3월 4일(화) 업데이트 패치 안내

작성자GM 그랜드체이스|작성시간25.02.28|조회수9,377 목록 댓글 14

안녕하세요. 영웅님.

차원을 넘어선 모험의 시작. 그랜드체이스입니다.

 

이번 업데이트에서는 앞서 ‘3월 업데이트 사전 안내’로 말씀드린 ‘아신’, ‘린’, ‘디오’, ‘명화린’, ‘라그나(T)’, ‘라그나’, ‘넬리아’, ‘에우로파’ 캐릭터 8종 밸런스 패치‘집결! 그랜드체이스’ 미션 개선 업데이트가 진행될 예정입니다.

더불어, 스페셜 영웅 ‘엘리시스(S)’와 ‘아르메(S)’ 중 1명을 선택하여 최대 성장까지 성장 지원받을 수 있는 ‘스페셜 영웅 리턴! 이벤트’, 고급 장비 및 계정 성장 재화 추가 획득이 가능한 ‘도전 미션’ 추가, 듀얼 레이드 파티 매칭 기능, 에르나시스의 해머 17단계 등의 업데이트가 진행될 예정입니다.

뿐만 아니라, 장비 슬롯 강화 아이템 수급처 추가(듀얼 레이드 보상에 ‘정제된 슬롯 세공석’ 추가), 베르카스의 요새 보상(S등급 펫 선택권) 획득량 개선, 레이드 16 쉬움 난이도 하향, 대전 교환소 상점 빨점 노출 조건 개선 등 영웅님의 편의를 위한 개선이 진행될 예정입니다.

 

※ 이번 업데이트는 업데이트 점검과 함께 진행될 예정이며, 현재 25년 3월 4일(화)를 목표로 준비 중에 있습니다.

※ 업데이트 점검 일정은 내부 테스트 및 심의 과정에 따라 변경될 수 있으며, 일정이 변경되는 경우 공지를 통해 안내해 드릴 수 있도록 하겠습니다.

※ 안내되는 내용은 실제 업데이트 이전까지는 변경되는 내용이 있을 수 있습니다.

 

 

[업데이트 내용]

■ 영웅 '아신, 린, 디오, 명화린, 라그나(T), 라그나, 넬리아, 에우로파’의 밸런스가 조정됩니다.

 

[아신]

[영웅大백과] 아신 (250304)  클릭

아신의 속성이 ‘생명’에서 ‘파괴’ 속성으로 변경됩니다.

아신의 전용 장비 ‘아신 타이린의 암가드’에 장착된 생명 속성 특수룬은 장착 해제되어 인벤토리로 지급됩니다.

- 속성 변경에 따라 네모네모 아신의 색상이 수정됩니다.

- 속성 변경에 따라 서포트 파티 선택 가능 영웅에서 아신이 제거됩니다.

- 속성 변경에 따라 ‘집결! 그랜드체이스’에서 아신 영웅은 '파괴 수호형' 영웅 선택으로 획득할 수 있습니다.

(이미 아신을 획득한 유저는 더 이상 '파괴 수호형' 영웅 선택에서 아신을 획득할 수 없습니다.)

- 속성 변경에 따라 베르카스/머큐리아/보이드 총력전 컨텐츠에서 아신 영웅의 배치가 해제됩니다.

- 속성 변경에 따라 모험 익스프레스 영웅 교환권 영웅 리스트에서 아신이 제외됩니다.

 

기본 스킬 / 체이서 스킬 주요 효과

영혼 각인 주요 효과

 

[아신 펫 ‘신’]

아신 펫 ‘신’의 속성이 ‘생명’에서 ‘파괴’ 속성으로 변경됩니다.

 

 

[린]

[영웅大백과] 린 (250304)  클릭

린의 속성이 ‘순환’에서 ‘파괴’ 속성으로 변경됩니다.

린의 전용 장비 ‘나래 부채’에 장착된 순환 속성 특수룬은 장착 해제되어 인벤토리로 지급됩니다.

- 속성 변경에 따라 네모네모 린의 색상이 수정됩니다.

- 속성 변경에 따라 ‘집결! 그랜드체이스’에서  린 영웅은 '파괴 치유형' 영웅 선택으로 획득할 수 있습니다. (이미 린을 획득한 유저는 더 이상 '파괴 치유형' 영웅 선택에서 린을 획득할 수 없습니다.)

- 속성 변경에 따라 베르카스 컨텐츠에서 린 영웅의 배치가 해제됩니다.

- 린의 변신을 공격대 설정에서 선택할 수 있도록 개선됩니다.

기본 스킬 / 체이서 스킬 주요 효과

* 체이서 스킬명이 ‘혼돈의 기운’으로 변경됩니다.

영혼 각인 주요 효과

[린 펫 ‘니아’]

린 펫 ‘니아’의 속성이 ‘순환’에서 ‘파괴’ 속성으로 변경되고, 스킬 효과가 변경됩니다.

 

 

[디오]

[영웅大백과] 디오 (250304)  클릭

체이서 스킬 주요 효과

영혼 각인 주요 효과

 

 

[명화린]

[영웅大백과] 명화린 (250304)  클릭

영혼 각인 주요 효과

 

 

[ 라그나(T) ]

[영웅大백과] 라그나(T) (250304)  클릭

영혼 각인 주요 효과

[라그나]

[영웅大백과] 라그나 (250304)  클릭

- 액티브 1 스킬 ‘트리니티 샷’의 소모 SP가 1SP에서 2SP로 조정됩니다.

 

기본 스킬 / 체이서 스킬 주요 효과

영혼 각인 주요 효과

 

 

[넬리아]

[영웅大백과] 넬리아 (250304)  클릭

기본 스킬 / 체이서 스킬 주요 효과

영혼 각인 주요 효과

[에우로파]

[영웅大백과] 에우로파 (250304)  클릭

- 기본 스킬 주요 효과

영혼 각인 주요 효과

■ 스페셜 영웅 ‘엘리시스(S)’와 ‘아르메(S)’ 중 1명을 선택하여 최대 성장까지 성장 지원받을 수 있는 ‘스페셜 영웅 리턴! 이벤트’가 진행됩니다.

- 스페셜 영웅인 ‘엘리시스(S)’와 ‘아르메(S)’는 해당 이벤트 기간 동안만 획득할 수 있습니다.

- 이벤트 기간: 25년 3월 4일(화) 정기 점검 후 ~ 4월 7일 (월) 23:59

위 이벤트 기간 내에 접속 시 ‘스페셜 영웅 리턴! 이벤트’를 시작할 수 있고, 시작된 이벤트는 28일간 진행할 수 있습니다.

Ex) 25년 4월 7일 (월) 23:59 접속하여 ‘스페셜 영웅 리턴! 이벤트’ 시작 시 25년 5월 5일(월) 23:59까지 이벤트 진행 가능

 

‘스페셜 영웅 리턴! 이벤트’는 메인 화면의 ‘이벤트’ 아이콘에 진입하면 확인할 수 있습니다.

- ‘스페셜 영웅 리턴! 이벤트’에 진입 시, 바로 ‘차원 개방 나침반’ 아이템을 인벤토리로 획득합니다.

- ‘차원 개방 나침반’은 ‘스페셜 영웅 리턴! 이벤트’ 영웅 개방에 사용되는 아이템으로 이벤트 종료 시 삭제됩니다.

- ‘차원 개방 나침반’ 아이템은 ‘스페셜 영웅 리턴! 이벤트’에서 선택 가능한 스페셜 영웅 ( 엘리시스(S), 아르메(S) ) 중 한 명을 선택하여 ‘영웅 개방’ 버튼 터치 시 ‘차원 개방 나침반’ 아이템이 소모됩니다. ( 제외 영웅: 우노(S) )

- 선택을 완료한 이후에 선택된 영웅은 변경이 불가능합니다.

- 이미 보유 중인 스페셜 영웅도 선택이 가능합니다.

- 영웅 선택을 완료하면, 바로 0초월 25체이서 영혼 각인 1단계 (기억의 코어 개방 완료) 성장 상태의 1Lv 스페셜 영웅을 영웅 인벤토리로 획득합니다.

스페셜 영웅은 이벤트 기간 동안 일일 미션, 주간 미션, 도전 미션 클리어를 통해 성장 포인트를 획득하면서 최대 성장 (6초월, 15 영혼각인)까지 필요한 보상을 획득할 수 있습니다.

스페셜 영웅의 영혼 각인 성장과 초월 성장에는 성장 큐브, 코어 개방권, 동일 영웅 대신 '스페셜 영웅 전용 영혼석'이 사용됩니다.

'스페셜 영웅 전용 영혼석' 1개는 동일 영웅 1개와 동일한 가치로 사용되며, 스페셜 영웅 성장 이벤트에서만 획득할 수 있습니다.

스페셜 영웅의 모든 영혼 각인 특성 개방 시, 스페셜 영웅의 일러스트와 외형을 획득할 수 있습니다.

스페셜 영웅은 판매가 불가능합니다.

 

스페셜 영웅을 6초월까지 성장시키면 ‘스토리 보기’ 버튼이 활성화되어 숨겨진 스토리 연출을 볼 수 있습니다. 스토리 연출은 제한 없이 열람할 수 있습니다.

스토리 연출 열람이 종료되면 최초 1회에 한해 선택한 스페셜 영웅의 펫 50개를 보상으로 획득할 수 있습니다.

이미 스페셜 영웅을 보유했더라도 미션 수행을 통해 이벤트 보상을 다시 획득할 수 있습니다.

기존에 스페셜 영웅을 어느정도 성장시켰거나 6초월까지 성장을 완료하여 스페셜 영웅의 영혼석이 남게 될 경우, 해당 영혼석’을 판매하여 개당 3,000 블루젬을 획득할 수 있습니다.

 

 

■ ‘집결! 그랜드체이스’ 합동 훈련 미션이 개선됩니다.

- 기존 합동 훈련 미션 중 기다림만 요구하는 일일/주간 미션이 제거되고, 추가 노력 및 달성형 미션으로 재구성됩니다.

 

 

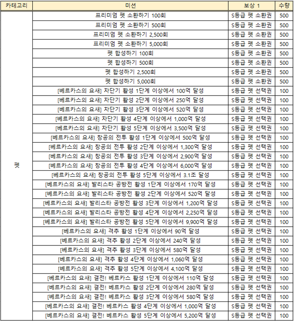
■ 고급 장비 및 계정 성장 관련 재화 추가 획득이 가능하도록 관련 컨텐츠의 ‘도전 미션’이 추가됩니다.

- 메인 로비 ‘메뉴’ > 미션 UI 내에 ‘도전 미션’ Tab이 추가됩니다.

- 도전 미션은 전용 장비, 유물, (장비)액세서리, 펫, 장비 슬롯 강화, 영웅 훈련소, 성물 총 7개의 카테고리로 구성됩니다.

- 각 카테고리별 도전 미션들은 동시 진행이 가능하며, 3/4 정기 점검 전에 이미 해당 미션에 해당하는 조건을 클리어한 경우 3/4 정기 점검 후 미션 완료 상태로 보상 획득이 가능합니다.

- 각 카테고리별 도전 미션들은 단계별 미션이 존재하며, 이전 단계 미션 보상을 수령해야 다음 단계 미션 보상 수령이 가능합니다. 단, 이전 단계 미션이 완료되지 않은 상태에서 이후 단계 미션이 먼저 완료된 경우에는 이후 단계 미션 보상을 먼저 수령할 수 있습니다.

- 도전 미션을 통해 각 카테고리 관련 성장 재화 획득이 가능하며, 추후 관련 컨텐츠 확장 시 도전 미션도 함께 확장될 예정입니다.

(도전 미션 & 보상 리스트)

 

 

■ 듀얼 레이드 ‘파티 매칭’ 기능이 추가됩니다.

- ‘파티 매칭’은 듀얼 레이드 방을 생성해서 유저를 기다리지 않아도 파티를 모집할 수 있는 기능입니다.

- 듀얼 레이드 컨텐츠가 오픈 되는 모험 던전 8-3 클리어 시 파티 매칭 가이드 연출이 진행됩니다.

- 듀얼 레이드 UI 우측 하단에 ‘파티 매칭’ 버튼이 추가되며, ‘파티 매칭’ 버튼 터치 시 파티 매칭UI에 진입되어 ‘파티 매칭 등록’을 진행할 수 있습니다.

- 듀얼 레이드 컨텐츠가 오픈 되지 않은 경우 파티 매칭 UI에 진입이 불가능합니다.

- 메인 로비 > 채팅 > ‘파티 모집’ 우측 상단에 추가된 ‘파티 매칭’ 버튼 터치 시에도 진입 가능합니다. 단, 전투 중인 상태에서는 채팅 UI 진입 시 ‘파티 매칭’ 버튼이 노출되지 않습니다.

- 파티 매칭 UI에서는 매칭 등록을 하거나 기존에 등록되어 있는 매칭에 신청을 할 수 있습니다.

- 파티 매칭 UI에서는 참여하고자 하는 ‘레이드 던전 종류, 내 숙련도, 매칭 상대방의 최소 전투력, 모집글’ 등의 옵션 설정 후 매칭 등록이 가능합니다.

* 던전: 베이직, 챌린지 중 선택하여 설정 가능

* 내 숙련도: 루키, 엘리트, 마스터 중 선택하여 설정 가능

* 최소 전투력: 계정 파티(4인 기준) 최고 전투력으로 최소 50만, 최대 1000만까지 설정 가능하며 좌우 버튼을 이용하여 50만 단위로 설정 가능

* 모집글: 제공되는 문구 중에 선택하여 설정 가능

- 파티 매칭이 등록되면 우측 파티 매칭 리스트 첫번째에 나의 매칭 등록 정보가 노출되며, 게임 화면 중앙 상단에 ‘파티 매칭 중’ 문구가 상시 노출됩니다. 등록된 파티 매칭 리스트는 아래로 스크롤하여 추가 확인이 가능합니다.

 

- 파티 매칭이 등록되면 매칭이 완료될 때까지 기다리지 않고 다른 게임 플레이를 진행할 수 있습니다.

 

[ 매칭 등록 설명 ]

- ‘매칭 취소’ 버튼을 터치하면 등록한 파티 매칭을 취소가 가능합니다.

- 설정된 조건에 부합하는 파티 매칭이 이루어진 뒤에는 화면 중앙 상단에 매칭 수락 팝업 UI가표시되며 60초 제한 시간 내에 응답을 진행해야 합니다. 매칭을 수락하면 듀얼 레이드 방으로 자동 입장됩니다.

- 파티 매칭 등록자(닉네임: AAAA)가 매칭 수락 후 듀얼 레이드 방으로 자동 입장되면, 파티 매칭 신청자(닉네임: BBBB)가 입장할 때까지 대기합니다.

- 만약, 파티 매칭 등록자(닉네임: AAAA)가 매칭을 수락한 시점에 전투 플레이 중이라면 전투가 종료된 이후에 듀얼 레이드 방으로 자동 입장됩니다.

- 단, 전투 진행 중에 매칭 수락을 하면 전투 강제 종료로 인한 손해가 생길 수 있습니다.

반복 전투(연속 전투)를 진행 중에 매칭 수락을 하면 반복 전투(연속 전투)가 종료 처리됩니다.

- 매칭 수락 요청이 왔을 때 파티 매칭 등록자(닉네임: AAAA)가 시한 내에 응답하지 않거나, 게임종료 또는 서버와 연결이 끊어지는 경우 파티 매칭이 취소됩니다.

- 파티 매칭이 취소된 경우 화면 중앙 상단에 ‘파티 매칭 취소’ 문구가 뜨며, ‘파티 매칭 취소’ 문구는 매칭 UI에 진입하거나 듀얼 레이드 방에 입장 시 사라집니다.

- 매칭 수락 요청이 왔을 때, 파티 매칭 등록자(닉네임: AAAA)가 수락을 거절할 경우 파티 매칭 등록이 해제됩니다.

(파티 매칭 등록자(닉네임: AAAA)가 매칭 거절 시, 파티 매칭 신청자(닉네임: BBBB) 에게 뜨는 ‘파티 매칭 신청 거절’ 알림)

- 파티 매칭 등록 이후, 파티 매칭과 무관하게 듀얼 레이드 방을 생성 또는 참가한 경우에도 파티 매칭 등록이 해제됩니다.

- 파티 매칭 등록이 해제된 경우 다시 파티 매칭 등록이 필요합니다.

 

[ 매칭 신청 설명 ]

- 매칭 리스트에서 등록한 유저 닉네임과 전투력을 확인할 수 있고, 던전 타입 및 전투력 조건 등을 확인하여 매칭 신청을 할 수 있습니다.

- ‘새로 고침’ 버튼 터치 시 등록된 파티 매칭 리스트가 갱신됩니다. ‘새로 고침’은 10초에 한 번씩만 가능합니다.

 

- 만약, 등록된 파티 매칭의 설정된 전투력 조건에 만족되지 않는 경우에는 해당 파티 매칭에 매칭 신청이 불가능합니다.

Ex) 파티 매칭 등록자(닉네임: BBBB)가 등록한 파티 매칭(최소 전투력 조건: 5,000,000)

> 파티 매칭 신청자(닉네임: AAA)(파티 최고 전투력: 3,012,366)으로 매칭 신청 시, 해당 파티 매칭 조건에 만족되지 않아 매칭 신청이 불가능

- 매칭 신청을 하게 되면 상대가 응답을 할 때까지 대기 화면이 노출되며, 도중에 취소 버튼을 누르는 경우에 매칭 신청이 취소됩니다.

- 상대가 매칭 신청을 수락하면 자동으로 듀얼 레이드 방으로 입장됩니다.

- 상대가 매칭 신청을 거절하면 매칭 신청이 취소됩니다.

- 상대가 제한 시간 내에 응답이 없을 경우에는 대기 화면이 종료됩니다.

 

 

■ 장비 슬롯 강화에 필요한 재화 수급처가 추가됩니다.

- 듀얼 레이드 플레이 보상에 ‘정제된 슬롯 세공석’이 추가됩니다.

- 플레이 보상 변경에 따라 ‘골드 보너스’ 표기가 ‘플레이 보너스’로 변경됩니다.

(플레이 횟수에 따른 보너스 보상)

위 개편 사항으로 인해 3/3(월) 00:00 ~ 3/4(화) 정기 점검 시까지 레이드(싱글&듀얼) 컨텐츠 입장이 제한됩니다.

 

레이드 16 ‘피에 새겨진 힘’ 쉬움 난이도가 하향됩니다.

 

 

■ 에르나시스의 해머 17단계가 추가됩니다.

새롭게 추가된 17단계는 계정 최고 전투력 3,300,000 이상부터 입장할 수 있습니다.

[17단계 완료 보상]

- 10등급 오버디움 상자: 일반 56Lv, 희귀 155Lv, 전설 435Lv 무기 초월석 중 랜덤 1개 획득

■ 베르카스의 요새 보상(S등급 펫 선택권) 획득량이 개선됩니다.

- ‘베르카스 코인’으로 구매 가능한 ‘S등급 펫 25개 선택권’의 구매제한이 주간 1회에서 월간 10회로 변경됩니다.

2025-03-03(월) ~ 2025-03-04(화) 정기 점검 전까지의 기간 중 ‘베르카스 코인’으로 ‘S등급 펫 25개 선택권’(주간 구매제한 1회)을 이미 구매했더라도, 2025-03-04(화) 정기 점검 후 ‘S등급 펫 25개 선택권’의 구매제한이 월간 한정 10회로 초기화되는 점 참고 부탁드립니다.

 

■ 대전 교환소 상점의 빨점 노출 조건이 개선됩니다.

- 기존 조건: 검투사의 백금화, 승리의 증표 보유 수량 변동으로 구매 가능한 상품이 있을 경우

- 변경 조건: 대전 주간 보상 또는 시즌 보상 획득 시 구매 가능한 상품이 있을 경우

 

■ +10 강화 미만 전용 장비 착용 중 전용 장비 강화에 필요한 강화 재료(강화 대상 클래스의 에르나스 세 여신의 선택 또는 강화 대상 영웅의 전용 장비)를 충분히 보유하고 있을 경우 빨점 표기가 추가됩니다.

 

영혼 각인 가이드 연출에 영혼 각인 성장 조건(20체이서 이상 성장) 내용이 추가됩니다.

 

■ 일부 컨텐츠(레이드, 에르나시스의 해머, 보스 어택, 시련의 )의 초보자 가이드 정보가 최신화됩니다.

 

■ 대전 시즌이 종료되며, 새로운 시즌이 시작됩니다.

대전 시즌 보상이 각 등급별로 지급되며, 대전 점수가 등급별로 초기화됩니다.

 

[대전 등급별 초기화 점수]

복구 입장 횟수와 젬 요구 수량이 초기화됩니다.

연승 정보도 함께 초기화됩니다.

 

■ 데일리 영웅 소환 이벤트가 재진행됩니다.

이벤트 기간: 25년 3월 4일(화) 정기 점검 후 ~ 3월 24일(월) 23:59

데일리 영웅 소환은 [소환 상점 > 데일리 영웅 소환]에서 확인할 수 있습니다.

이벤트 기간 동안 매일 영웅 소환 10회를 진행할 수 있습니다.

데일리 영웅 소환은 SS 영웅 0.5%, S 영웅 10%, A 영웅 89.5% 확률로 소환하게 됩니다.

신규, 복귀 대상 유저들은 추가로 매일 영웅 소환 10회를 추가로 진행할 수 있습니다.

신규 / 복귀 무료 소환 버튼은 신규, 복귀 대상 유저들에게만 노출됩니다.

※ 단, 바이스, 우노(S), 우라라, 데아, 아르메(S), 엘리시스(S), 가이안, 아르사드는 데일리 영웅 소환에서 제외됩니다.

■ 영웅 '아신'의 희귀 아바타 [다크 드림 아신]이 특별 판매됩니다.

※ 필살기 스틸 컷을 별도로 첨부합니다.

판매 기간: 25년 3월 4일(화) 정기 점검 후 ~ 4월 1일(화) 09:59

- [상점] → [커스텀] → [아바타 샵] → [신규 Tab] → [다크 드림 아신]에서 아바타 상품권을 소모하여 구매가 가능합니다.

다크 드림 아신은 아신을 보유하지 않아도 구매 가능한 점 참고하여 주시기 바랍니다.

 

[아바타 패키지 구성 목록]

다크 드림 아신 스페셜 아바타 패키지: 기본 아바타, 일러스트, 이펙트, 테두리, 아이콘 + 스페셜 아바타

다크 드림 아신 아바타 패키지: 기본 아바타, 일러스트, 이펙트, 테두리, 아이콘

다크 드림 아신 아바타: 기본 아바타, 일러스트, 이펙트

 

 

상시 판매 희귀 아바타 리스트에 ‘루미너스 씨 데아’, ‘쿨 웨이브 티아(T)’가 추가됩니다.

■ 희귀 아바타 프로필 패키지와 단품이 존재하는 희귀 아바타 중 1종을 구매한 경우 나머지 희귀 아바타 구성품을 구매할 수 없는 이슈가 개선됩니다.

- 대상 희귀 아바타들의 단품 상품(‘아바타 상품권’ 150개로 구매 가능)과 패키지 업그레이드 상품(‘아바타 상품권’ 70개로 구매 가능)이 추가됩니다.

- 대상 희귀 아바타: 여주인 레이 / 해결사 라스 / 어둠의 실천자 엘리시스 / 해적왕 레이 / 하트의 여왕 린 / 냉혹한 지배자 베이가스 / 겨울의 주인 에델 / 할로윈 마녀 마리 / 한복 지크하트 / 한복 라임 / 한복 엘리시스 / 한복 로난

 

 

[오류 수정 및 개선 내용]

■ 대전, 길드전, 길드 토너먼트, 아레나 다시보기가 불가능한 문제가 수정됩니다.

■ 바이스 부활 시 별읽기 이펙트가 표시되지 않는 문제가 수정됩니다.

■ 미스트(T) 체이서 스킬의 소환체 텔리 스킬 툴팁에 ‘ ‘텔리’는 ‘관찰 대상’과 동일한 클래스의 적으로 간주된다 ’가 아닌 동일한 속성의 적으로 간주된다로 잘못 표기된 문제가 수정됩니다.

■ 특정 던전에서 웨딩 이오(T) 아바타 무기와 ‘아이’ 일부 아바타 무기(오르도 소대, 온실의 레이디, 온실의 레이디 스페셜) 착용 시 투명하게 노출되는 문제가 수정됩니다.

■ 간헐적으로 커스텀 불러오기가 안되는 문제가 수정됩니다.

■ 필살기 연출에서 카메라 흔들리는 효과 연출이 동작하지 않는 문제가 수정됩니다.

■ 베르카스의 요새 창공의 전투에서 카메라 줌 인, 줌 아웃 연출이 동작하지 않는 문제가 수정됩니다.

■ ‘바이스 성장 큐브’ 아이템 툴팁에 전용 성장 재료가 아닌 체이서 큐브로 잘못 표기되어 있는 문제가 수정됩니다.

■ 넬리아 대사 ‘최후에 웃는 게 누구일지.. 꼭 말로 해야 알겠어?’에 오탈자가 있는 문제가 수정됩니다.

 

 

[이벤트]

■ 캐릭터 밸런스 패치를 기념하여, 미션 클리어 및 빙고 완성 시 SS 영웅 선택권, S등급 펫 선택권, 성장 큐브 등의 영웅 성장 재화를 획득할 수 있는 이벤트가 진행됩니다.

이벤트) 영웅 리뉴얼 빙고 1탄 ← 클릭

 

■ 캐릭터 밸런스 패치를 기념하여, 밸런스 패치 영웅 로얄 소환 시 보너스로 획득하는 ‘성장의 기운’을 사용하여 영웅 성장 재화를 추가 획득할 수 있는 이벤트가 진행됩니다.
- 이벤트) 성장의 기운 1탄 ← 클릭

 

■ 출석 및 에르나시스의 해머 플레이 시, 에르나시스의 해머 입장권과 10 등급 오버디움 상자(무기 초월석), 아서의 연마제를 획득할 수 있는 이벤트가 진행됩니다.

이벤트) 에르나시스의 해머 돌파! ← 클릭

 

■ 무기 초월 및 장비 슬롯 성장에 필요한 보상을 획득할 수 있는 이벤트가 진행됩니다.

이벤트) 에르나시스의 해머 패스 이벤트 ← 클릭

 

■ 성물 성장에 필요한 보상을 획득할 수 있는 이벤트가 진행됩니다.

이벤트) 성물 패스 이벤트 ← 클릭

 

■ 출석 및 혼돈의 관문 컨텐츠 플레이 시 잃어버린 은총 파편, 축성의 그릇을 획득할 수 있는 이벤트가 진행됩니다.

이벤트) 관문돌파 이벤트 ← 클릭

 

■ 56등급 세트 장비를 제작할 수 있는 장비 제작 재료와 특수룬, 장비 재감정 재료를 획득할 수 있는 이벤트가 진행됩니다.

이벤트) 장비 패스 이벤트 ← 클릭

 

■ 영웅님의 파티 성장을 위한 차원의 균열과 레이드 보상을 2배로 획득할 수 있는 이벤트가 진행됩니다.

이벤트) 차원의 균열&레이드 보상2배 이벤트 ← 클릭

다음검색
현재 게시글 추가 기능 열기

댓글

댓글 리스트
  • 작성자대만은독립국 | 작성시간 25.03.04 뭐지 매칭 저거 설명이 뭔가 복잡한데 그냥 게시판처럼 바뀐단 거 아냐?
  • 작성자ENDO | 작성시간 25.03.06 개선된 ‘집결! 그랜드체이스’ 합동 훈련 미션의

    체이서 25단계 미션4가 "혼돈의 관문 4 STEP 클리어"로 되어 있는데
    "4 STEP 이상 클리어"도 인정 되는 건가요? 아니면 "4 STEP 클리어"만 인정 되는 부분인가요?

    영혼 각인 15단계 미션 4에선 "혼돈의 관문 7 STEP 이상 클리어"로 돼 있어서
    확인차 여쭤보아요.
  • 답댓글 작성자위시서 | 작성시간 25.03.08 관문 같은건 그 이상만 되면 자동으로 넘어가지더라구요
  • 작성자도딩 | 작성시간 25.03.09 성장재화 완전 마니 퍼줘서 조아효
    저는 매주 여러이벤트 하는거 넘 조하요
    이제 티마리랑 티에델도 쓰게해조용 헤헤
  • 작성자sole1202 | 작성시간 25.03.09 디온 너프가 너무 심하네
댓글 전체보기
맨위로

카페 검색

카페 검색어 입력폼