CAFE

제5회 신라금관배 전국탁구대회 참가자 명단안내(최종)

작성자FM핑퐁(경탁)|작성시간25.06.24|조회수1,840 목록 댓글 6

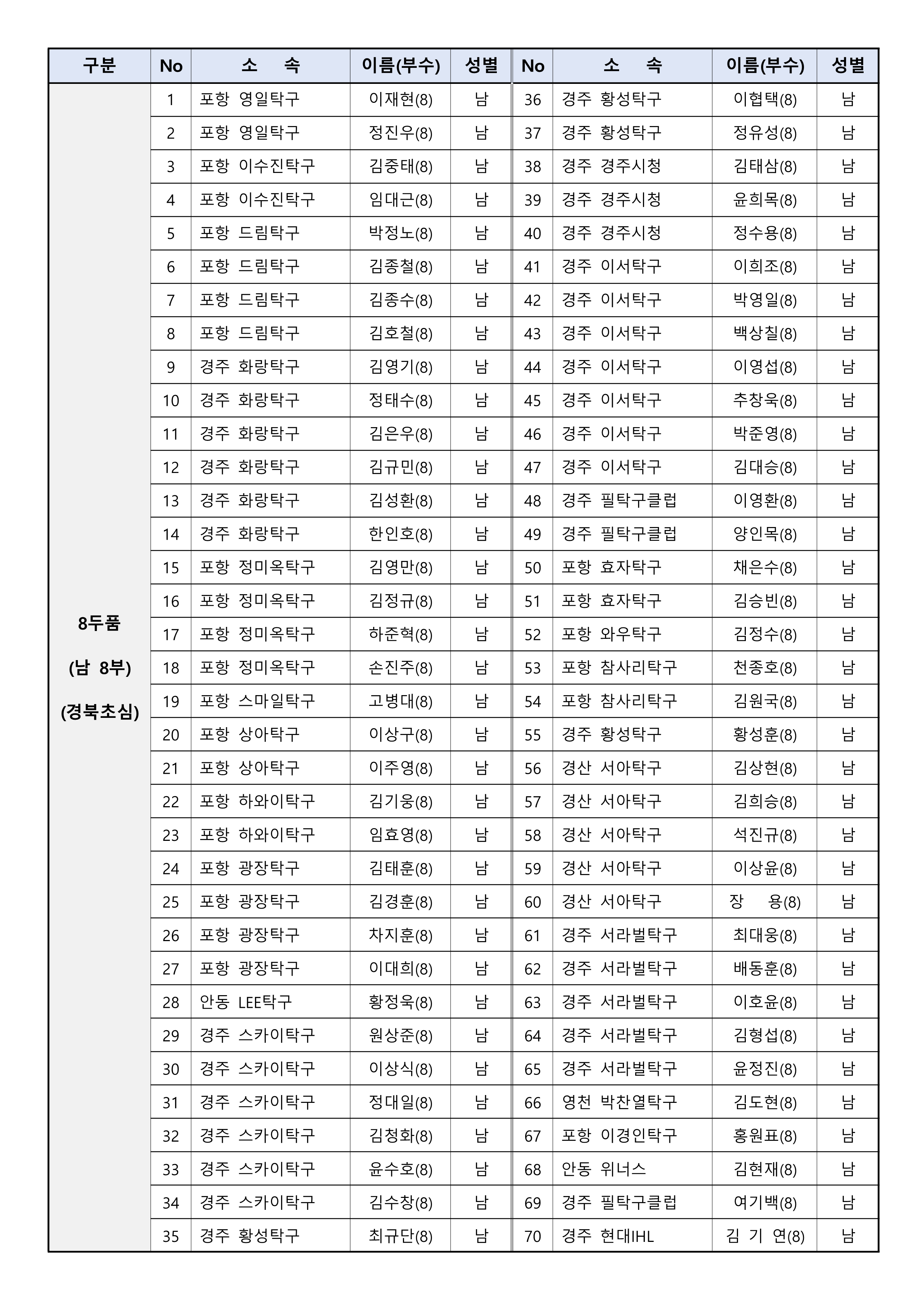
아래와 같이 2025년 제5회 신라금관배 전국탁구대회에 참가해 주신 선수분들의 명단을 알려드립니다.

본 명단은 팜플렛 제작과 경기 당일 사용될 대진표 용지에 들어갈 최종명단입니다.

이후 누락, 변경 및 수정 등은 본 협회 카페에서는 더이상 진행하지 않음을 알려드립니다.

 

단, 선수교체 및 오타수정 등이 필요한 경우 협회 전무님을 통해 소통하시기 바라며,

출전 취소의 경우 시합장 당일 진행석에 말씀해 주시길 부탁드립니다.

원활한 대회 진행을 위해 부득이 선수명단 수정은 아래 마감작업으로 마치도록 하겠습니다.

감사합니다.

 

 

 

 

 

 

 

 

 

 

 

다음검색
현재 게시글 추가 기능 열기

댓글

댓글 리스트
  • 해당 댓글은 작성자와 운영진만 볼 수 있습니다.
  • 작성자skinct | 작성시간 25.06.24 경북부 복식대진표가 빠진것같습니다^^
  • 답댓글 작성자FM핑퐁(경탁) 작성자 본인 여부 작성자 | 작성시간 25.06.24 업데이트 때 빠트렸네요.. 올려놨습니다.
  • 해당 댓글은 작성자와 운영진만 볼 수 있습니다.
  • 해당 댓글은 작성자와 운영진만 볼 수 있습니다.
댓글 전체보기
맨위로

카페 검색

카페 검색어 입력폼