2014년 3회 정보처리산업기사 필기시험 기출문제

작성자무지개|작성시간14.10.14|조회수509 목록 댓글 0
[정보처리산업기사 필기 학습 콘텐츠(기출문제 CBT) 자료실 안내]
아래 배너를 선택(클릭)하신 후 이동하는 카페 문제은행 목차에서 '정보처리산업기사'를 선택하시면 최근까지 출제된 기출문제 파일 다운로드 및 CBT(자동채점, 틀린 문제 다시풀기, 랜덤모의고사 등)를 활용하실 수 있습니다.
1. 선형 자료구조에 해당하지 않는 것은?
① 큐
② 트리
③ 스택
④ 리스트

2. 스택(STACK)의 응용 분야로 거리가 먼 것은?
① 함수 호출
② 인터럽트 처리
③ 작업 스케줄링
④ 수식 계산

3. 인덱스 순차 파일(Index Sequential File)의 인덱스 영역의 종류에 해당하지 않는 것은?
① Track Index Area
② Cylinder Index Area
③ Master Index Area
④ Primary data Index Area

4. Which of the following is an ordered list in which all insertions take place at one end, the rear, while all deletions take place at the other end, the front?
① Queue
② Tree
③ Stack
④ Graph

5. 데이터베이스 설계 단계 중 트랜잭션 인터페이스 설계와 관계되는 것은?
① 물리적 설계
② 개념적 설계
③ 논리적 설계
④ 요구 조건 분석

6. 다음 트리를 중위 순서로 운행한 결과는?

① A B C D E F G H
② D B A G E H C F
③ A B D C E G H F
④ B D G H E F A C

7. 관계대수의 조인연산에서 결과가 동일한 애트리뷰트는 하나만 나타내는 것을 무엇이라고 하는가?
① 택일 조인
② 자연 조인
③ 완전 조인
④ 2차 조인

8. 트랜잭션의 특성 중 다음 설명에 해당하는 것은?

트랜잭션의 연산은 데이터베이스에 모두 반영되든지 아니면 전혀 반영되지 않아야 한다.

① Atomicity
② Consistency
③ Isolation
④ Durability

9. 시스템 카탈로그에 대한 설명으로 옳지 않은 것은?
① DBMS가 스스로 생성하고 유지하는 데이터베이스 내의 특별한 테이블들의 집합체이다.
② 데이터베이스 구조에 관한 메타 데이터를 포함한다.
③ 데이터베이스 구조가 변경될 때마다 DBMS는 자동적으로 시스템 카탈로그 테이블을 갱신한다.
④ 일반 사용자도 SQL을 사용하여 직접 시스템 카탈로그를 갱신할 수 있다.

10. 인사 테이블의 주소 필드에 대한 데이터 타입을 VARCHAR(10)으로 정의하였으나 필드 길이가 부족하여 20바이트로 확장하고자 한다. 이에 적합한 SQL 명령은?
① MODIFY FIELD
② MODIFY TABLE
③ ALTER TABLE
④ ADD TABLE

11. SQL 명령 중 DDL에 해당하는 것으로만 짝지어진 것은?
① SELECT, INSERT, UPDATE
② UPDATE, DROP, INSERT
③ ALTER, DROP, UPDATE
④ CREATE, ALTER, DROP

12. 데이터 모델이 포함하는 구성요소와 거리가 먼 것은?
① concept
② structure
③ operation
④ constraint

13. 뷰(view)에 대한 설명으로 옳은 것은?
① 둘 이상의 기본 테이블에서 유도된 실제 테이블이다.
② 시스템 내부의 물리적 표현으로 구현된다.
③ 뷰 위에 또 다른 뷰를 정의할 수 없다.
④ 뷰는 데이터의 논리적 독립성을 제공한다.

14. 릴레이션의 특징으로 옳지 않은 것은?
① 모든 튜플은 서로 다른 값을 갖는다.
② 하나의 릴레이션에서 튜플의 순서는 없다.
③ 각 속성은 릴레이션 내에서 유일한 이름을 가지며, 속성의 순서는 큰 의미가 없다.
④ 한 릴레이션에 나타난 속성 값은 논리적으로 분해 가능한 값이어야 한다.

15. 버블 정렬을 이용한 오름차순 정렬 시 3회전 후의 결과는?

10, 7 ,8, 4, 6

① 7, 8, 4, 6, 10
② 7, 10, 8, 4, 6
③ 4, 6, 7, 8, 10
④ 7, 4, 6, 8, 10

16. DBMS의 필수기능 중 데이터 제어기능에 해당하지 않는 것은?
① 병행수행 제어
② 무결성 유지 제어
③ 사용자와 데이터베이스 사이의 인터페이스 수단 제공
④ 보안 및 권한 검사

17. 다음 ( )에 알맞은 용어는?

( ) is the activity of copying databases so that they will be preserved in case of equipment failure of other catastrophe.

① Transaction
② Backup
③ RDBMS
④ DBA

18. 해싱에서 동일한 홈 주소로 인하여 충돌이 일어난 레코드들의 집합을 무엇이라고 하는가?
① Bucket
② Collision
③ Synonym
④ Working Set

19. 데이터베이스의 정의에 관한 옳은 내용 모두를 나열한 것은?

㉠ 동일 데이터의 중복성을 최소화해야 한다.
㉡ 컴퓨터가 접근할 수 있는 저장 매체에 저장된 자료이다.
㉢ 조직의 존재 목적이나 유용성 면에서 존재 가치가 확실한 필수적 데이터이다.
㉣ 정보 소유 및 응용에 있어 지역적으로 유지되어야 한다.

① ㉠, ㉣
② ㉠, ㉡, ㉢
③ ㉡, ㉢, ㉣
④ ㉠, ㉡, ㉢, ㉣

20. 관계 데이터베이스의 정규화에 대한 설명이다. 괄호의 내용으로 옳은 것은?

어떤 릴레이션 R이 ( ㉠ )이고, 릴레이션의 키가 아닌 속성 모두가 R의 어떤 키에도 이행적 함수종속이 아닐 때 R은 ( ㉡ )에 속한다.

① ㉠ 1NF ㉡ 2NF
② ㉠ 3NF ㉡ 2NF
③ ㉠ 2NF ㉡ 3NF
④ ㉠ 3NF ㉡ 1NF

21. 다음 중 입출력 프로세스와 관계가 없는 것은?
① DMA(Direct Memory Access)
② 폴드인터럽트(Polled interrupt)
③ 데이지체인(daisy-chain)
④ 인터리빙(interleaving)

22. 기억 소자로서 표준 플립플롭을 사용하는 것은?
① dynamic RAM(DRAM)
② static RAM(SRAM)
③ PROM
④ EPROM

23. 다음 중 기능이 다른 연산자는?
① COMPLEMENT
② OR
③ AND
④ EX-OR

24. 중앙처리장치에서 마이크로 동작의 실행이 순서적으로 발생할 수 있도록 하는 역할을 담당하는 것은?
① 레지스터(REGISTER)
② 제어(CONTROL) 신호
③ 누산기(ACCUMULATOR)
④ 프로그램 카운터(PROGRAM COUNTER)

25. CPU가 직접 제어하는 방식 중에서 입출력 장치의 요구가 있을 때 데이터를 전송하는 제어 방식은?
① 프로그램 입출력 제어 방식
② 인터럽트 입출력 제어 방식
③ 채널에 의한 입출력 제어 방식
④ DMA에 의한 입출력 제어 방식

26. 명령어 연산자(operation code)의 기능과 관계없는 것은?
① 입출력 기능
② 제어 기능
③ 논리연산 기능
④ 주소지정 기능

27. 전원 공급이 중단되어도 내용이 지워지지 않으며, 전기적으로 삭제하고 다시 쓸 수도 있는 기억장치는?
① SRAM
② PROM
③ EPROM
④ EEPROM

28. 다음 주변 장치 중 그 성격이 다른 하나는?
① scanner
② CRT
③ printer
④ plotter

29. 0-주소 명령어의 형식에서 결과자료는 어디에 저장되는가?
① 스택
② 누산기
③ 범용 레지스터
④ 명령 레지스터

30. 다음 Interrupt 중 우선순위가 가장 높은 것은?
① Program Interrupt
② I/O Interrupt
③ Paging Interrupt
④ Power Failure Interrupt

31. N개의 입력 데이터에서 입력선을 선택하여 단일 채널로 송신하는 것은?
① 인코더
② 감산기
③ 전가산기
④ 멀티플렉서

32. parity bit에 대한 설명으로 옳은 것은?
① error 검출용 bit이다.
② bit 위치에 따라 weight 값을 갖는다.
③ BCD code에서만 사용한다.
④ error bit 이다.

33. 256×4비트의 구성을 갖는 메모리 IC를 사용하여 4096×16비트 메로리를 만들고자 한다. 몇 개의 IC가 필요한가?
① 16
② 32
③ 64
④ 128

34. 명령어 사이클(Instruction Cycle)이 아닌 것은?
① Fetch Cycle
② Control Cycle
③ Indirect Cycle
④ Interrupt Cycle

35. 다음 중 소수점 이하를 잃어버리는 절단(truncation) 현상인 것은?
① (10001111)₂을 좌측으로 시프트
② (10001111)₂을 우측으로 시프트
③ (11110000)₂을 좌측으로 시프트
④ (11110000)₂을 우측으로 시프트

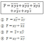
36. 다음과 같은 함수를 카르노맵(karnaugh-map)을 이용하여 간략화한 식은?


37. 마이크로오퍼레이션에서 중앙처리장치의 정보를 기억장치에 기억시키는 동작은 무엇인가?
① LOAD
② STORE
③ TRANCE
④ BRANCH

38. 다음 뺄셈의 값은?

(11101)₂-(1011)₂

① 10010
② 10100
③ 01010
④ 10101

39. 동기 가변식 마이크로 사이클에 관한 설명으로 틀린 것은?
① CPU의 시간을 효율적으로 이용할 수 있다.
② 마이크로 오퍼레이션 수행시간이 현저한 차이를 나타낼 때 사용한다.
③ 제어기의 구현이 단순하다.
④ 그룹화된 각 마이크로 오퍼레이션들에 대하여 서로 다른 사이클 시간을 정의한다.

40. SRAM과 DRAM에 대한 설명으로 옳은 것은?
① SRAM의 소비전력이 DRAM 보다 낮다.
② DRAM은 SRAM에 비해 속도가 빠르다.
③ SRAM은 재충전이 필요 없는 메모리이다.
④ DRAM의 가격이 SRAM보다 고가이다.

41. 시스템의 특성 중 시스템이 정의된 기능을 오류가 없이 정확히 발휘하기 위해 정해진 규정이나 한계, 또는 궤도로부터 이탈되는 사태나 현상을 미리 인식하여 그것을 올바르게 수정해 가는 것을 의미하는 것은?
① 목적성
② 자동성
③ 제어성
④ 종합성

42. 다음 설명에 해당하는 소프트웨어 개발주기 모형은?

하향식 생명주기 모형으로 각 단계가 끝나는 시점에서 확인, 검증, 검사를 거쳐 다음 단계로 넘어가거나 이전 단계로 환원하면서 구현 및 운영 단계에 이르는 생명주기 모형이다.

① 단계적 모형
② 구조적 모형
③ 객체지향적 모형
④ 폭포수 모형

43. 프로세스 설계 시 유의해야 할 사항으로 가장 거리가 먼 것은?
① 사용자의 하드웨어와 프로그래밍에 관한 상식 수준을 고려한다.
② 신뢰성과 정확성을 고려하여 처리 과정을 명확히 표현한다.
③ 시스템의 상태 및 구성요소, 기능 등을 종합적으로 표시한다.
④ 오류에 대비한 체크 시스템도 고려한다.

44. 파일 편성 방법 중 순차파일 편성 방법의 특징이 아닌 것은?
① 집계용 파일이나 단순한 마스터 파일 등이 대표적인 응용 파일이다.
② 기본 키 값에 따라 순차적으로 배열되어 있다.
③ 파일 내 레코드 추가, 삭제 시 파일 전체를 복사할 필요가 없다.
④ 기억공간의 활용률이 높다.

45. 자료 사전에서 자료의 연결(and) 시 사용하는 기호는?
① -
② { }
③ ( )
④ +

46. 파일 편성 중 랜덤 편성에 대한 설명으로 옳지 않은 것은?
① 특정 레코드 접근이 직접 가능하다.
② 대화형 처리에 적합하다.
③ 주소 계산 방법에는 직접 주소법, 디렉토리 조사법, 해싱 함수 이용법 등이 있다.
④ 충돌 발생의 염려가 없으므로 예비 기억 공간의 확보가 필요 없다.

47. LOC기법에 의해 예측된 모듈의 라인수가 80000 라인이고 개발에 투입되는 프로그래머의 수가 4명, 프로그래머의 월 평균 생산량이 1000 라인이라고 할 때, 이 소프트웨어를 완성하기 위해 개발에 필요한 기간은 얼마인가?
① 10개월
② 15개월
③ 20개월
④ 25개월

48. 문서화에 대한 설명으로 거리가 먼 것은?
① 시스템 보수 및 운용하는 그룹에 인계인수 작업이 용이하다.
② 시스템 개발 프로젝트의 관리가 용이하다.
③ 개발자의 순서도 작성, 코딩, 디버깅, 테스팅 만을 위해서 작성한다.
④ 개발 진척 관리의 지표가 될 수 있다.

49. 코드 설계 절차의 순서로 옳은 것은?
① 코드 대상 항목 결정 → 코드화 목적 설정 → 사용기간의 결정 → 사용범위의 결정 → 코드 대상의 특성 분석 → 코드화 방식 결정 → 코드의 문서화
② 코드 대상 항목 결정 → 코드화 목적 설정 → 사용범위의 결정 → 사용기간의 결정 → 코드 대상의 특성 분석 → 코드화 방식 결정 → 코드의 문서화
③ 코드 대상 항목 경정 → 코드화 목적 설정 → 코드 대상의 특성 분석 → 사용범위의 결정 → 사용기간의 결정 → 코드화 방식 결정 → 코드의 문서화
④ 코드 대상 항목 결정 → 코드화 목적 설정 → 코드 대상의 특성 분석 → 코드화 방식 결정 → 사용범위의 결정 → 사용기간의 결정 → 코드의 문서화

50. 객체지향 개념에서 이미 정의되어 있는 상위 클래스(슈퍼 클래스 혹은 부모 클래스)의 메소드를 비롯한 모든 속성을 하위 클래스가 물려받는 것을 무엇이라고 하는가?
① abstraction
② method
③ inheritance
④ message

51. 시스템의 기본 요소 중 입력된 자료를 가지고 결과를 얻기 위하여 변환, 가공하는 행위를 의미하는 것은?
① feedback
② control
③ process
④ output

52. 출력 설계 단계 중 출력 항목 명칭, 출력 정보의 목적, 기밀성 유무와 보존, 이용자 및 이용경로, 출력정보의 이용주기 및 시기 등을 검토하는 단계는?
① 출력 분배의 설계
② 출력 정보 내용의 설계
③ 출력 매체의 설계
④ 출력 이용의 설계

53. 모듈화의 특징이 아닌 것은?
① 모듈의 이름으로 호출하여 다수가 이용할 수 있다.
② 변수의 선언을 효율적으로 하여 기억장치를 유용하게 사용할 수 있다.
③ 실행은 독립적이며, 컴파일은 종속적이다.
④ 모듈마다 사용할 변수를 정의하지 않고 상속하여 사용할 수 있다.

54. 입력의 형식 중 발생한 정보를 원시 전표 위에 기록하고 일정 시간 단위로 수집하여 매체화 전문 기기에서 매체화해서 일괄 입력하는 방식은?
① 집중 입력 방식
② 분산 입력 방식
③ 직접 입력 방식
④ 반환 입력 방식

55. 검사의 종류 중 대차대조표에서 대변과 차변의 합계를 비교, 체크하는 것과 같이 입력 정보의 여러 데이터가 특정 항목 합계 값과 같다는 사실을 알고 있을 때 컴퓨터를 이용해서 계산한 결과와 분명히 같은지를 체크하는 방법은?
① Blank Check
② Matching Check
③ Limit Check
④ Balance Check

56. 출력 방식 중 출력 시스템과 입력 시스템이 일치된 방식이며, 일단 출력된 정보가 다시 이용자의 손에 의해 입력되는 시스템은?
① 턴 어라운드 시스템
② 디스플레이 출력 시스템
③ 파일 출력 시스템
④ COM 시스템

57. 프로세스의 표준 처리 패턴 중 마스터 파일 내의 데이터를 트랜잭션 파일로 추가, 변경, 삭제하여 항상 최근의 정보를 갖는 마스터 파일을 유지하는 것은?
① Conversion
② Sort
③ Update
④ Merge

58. 십진 분류 코드의 특징이 아닌 것은?
① 배열이나 집계 용이
② 코드의 범위 확장 용이
③ 자료의 삽입 및 추가 용이
④ 기계처리가 용이

59. 파일 설계 순서로 옳은 것은?

㉠ 파일 편성법의 검토
㉡ 파일 매체의 검토
㉢ 파일 특성의 조사
㉣ 파일 항복의 검토

① ㉠→㉡→㉢→㉣
② ㉡→㉢→㉠→㉣
③ ㉠→㉢→㉡→㉣
④ ㉣→㉢→㉡→㉠

60. 코드 설계 단계 중 다음 고려사항과 가장 관계있는 것은?

- 정보의 체계화 유무
- 정보처리 효율성 유무
- 정보 호환성 유무
- 정보 표준화 유무

① 코드 목적 명확화
② 코드 대상 항목 결정
③ 코드 대상 특성 분석
④ 사용 범위 결정

61. FIFO 기법을 적용하여 작업 스케줄링을 하였을 때, 다음 작업들의 평균 회수시간(Turnaround time)은? (단, 문맥교환시간은 무시한다.)

① 9.25
② 8.25
③ 7.75
④ 7.25

62. HRN 스케줄링 기법을 적용할 경우 우선순위가 가장 높은 것은?

① A
② B
③ C
④ D

63. 먼저 도착한 요청이 먼저 서비스를 받으며, 일단 요청이 도착하면 실행 예정순서가 고정된다는 점에서 공평한 디스크 스케줄링 정책은?
① SSTF
② SCAN
③ FCFS
④ C-SCAN

64. 운영체제에 대한 옳은 설명 모두를 나열한 것은?

㉠ 사용자와 시스템 간의 용이한 인터페이스를 제공한다.
㉡ 자원의 효과적 관리 및 스케줄링을 수행한다.
㉢ 시스템의 오류를 검사하고 복구한다.
㉣ 프로그램 실행을 위한 목적 프로그램을 생성한다.

① ㉠, ㉣
② ㉡, ㉣
③ ㉠, ㉡, ㉢
④ ㉠, ㉡, ㉢, ㉣

65. 파일 디스크립터가 가지고 있는 정보가 아닌 것은?
① 파일의 구조
② 접근 제어 정보
③ 보조기억장치상의 파일의 위치
④ 파일의 백업 방법

66. 은행원 알고리즘(backer's algorithm)과 가장 관계가 깊은 것은?
① 교착상태 지연
② 교착상태 발견
③ 교착상태 회피
④ 교착상태 회복

67. 운영체제의 운용 기법 중 시분할(Time-Sharing) 처리 시스템에 대한 설명으로 옳지 않은 것은?
① 하나의 CPU를 여러 개의 작업들이 일정한 시간 간격 동안 사용함으로써 각각의 작업은 CPU를 공유한다.
② Round-Robin 방식이라고도 한다.
③ 다중프로그래밍 방식과 결합하여 모든 작업이 동시에 진행되는 것처럼 대화식 처리가 가능하다.
④ 시스템의 효율 향상을 위하여 작업량이 일정한 수준이 될 때까지 모아두었다가 한꺼번에 일시에 처리한다.

68. SJF(Shortest Job First) 스케줄링에서 작업 도착 시간과 CPU 사용시강은 다음 표와 같다. 모든 작업들의 평균 대기시간은 얼마인가?

① 15
② 16
③ 24
④ 25

69. 프로세스를 스케줄링 하는 목적으로 옳지 않은 것은?
① 모든 작업에 대해 공평성을 유지해야 한다.
② 응답시간을 최소화해야 한다.
③ 프로세스의 처리량을 최소화해야 한다.
④ 경과시간의 예측이 가능하여야 한다.

70. 분산처리 운영체제 시스템의 구조 중 성형구조에 대한 설명으로 옳지 않은 것은?
① 시스템 내의 각 사이트가 인접한 다른 두 사이트와만 직접 연결된 구조이다.
② 사이트의 증가에 따라 통신 회선도 증가한다.
③ 중앙 사이트의 고장 시 모든 통신이 단절된다.
④ 비교적 간단한 구조이며, 유지보수가 용이하다.

71. SSTF 스케줄링 알고리즘을 이용할 경우 현재 헤드가 12트랙에 위치한다면 가장 먼저 처리되는 트랙은? (단, 현재 헤드는 바깥쪽에서 안쪽으로 진행 중이며, 가장 안쪽의 트랙 번호는 0이다.)

요구 큐 : 98, 183, 37, 122, 14, 124, 65, 67, 5

① 5
② 14
③ 98
④ 183

72. UNIX의 쉘(Shell)에 대한 설명으로 틀린 것은?
① 사용자와 커널 사이에서 중계자 역할을 한다.
② 스케줄링, 기억장치 관리, 파일관리, 시스템 호출 인터페이스 등의 기능을 제공한다.
③ 여러 가지의 내장 명령어를 가지고 있다.
④ 사용자 명령의 입력을 받아 시스템 기능을 수행하는 명령어 해석기이다.

73. 다음 설명이 의미하는 것은?

단일 사용자 시스템에서 프로그램의 크기는 주기억장치의 용량보다 클 수는 없다. 그러나 사용하지 않는 프로그램의 부분을 보조기억장치로 옮겨와서 이제 더 이상 필요하지 않는 프로그램 부분이 사용하고 있던 장소를 다른 프로그램이 사용하게 하면 실제 영역보다 더 큰 프로그램의 실행이 가능하다.

① 오버레이(overlay)
② 구역성(locality)
③ 워킹 셋(working set)
④ 스레드(thread)

74. 분산처리 운영 시스템에 대한 설명으로 적당하지 않은 것은?
① 시스템을 구성하는 소형 컴퓨터들의 자율성을 보장하므로 전체 시스템의 통합적 제어기능은 불필요하다.
② 하나의 대형 컴퓨터에서 하던 일을 지역적으로 분상된 여러 개의 소형 컴퓨터에서 분담 수행하므로 시스템의 효율을 증대시킬 수 있다.
③ 데이터 처리 장치와 데이터베이스가 지역적으로 분산되어 있으며 정보교환을 위해 네트워크로 상호 결합된 시스템이다.
④ 자료가 중앙에 집중된 대형 컴퓨터의 고장으로 인한 업무 마비를 예방할 수 있다.

75. 16K의 작업을 40K 공백의 작업공간에 할당했을 경우, 사용된 기억장치 배치전략 기법은?

① First-Fit
② Worst-Fit
③ Last-Fit
④ Best-Fit

76. 디렉코리 구조 중 모든 파일들이 유일한 이름을 가지고 있어야 하며, 하나의 디렉토리 내에 위치하여 관리되는 구조는?
① 트리 디렉토리 구조
② 비순환 그래프 디렉토리 구조
③ 1단계 디렉토리 구조
④ 2단계 디렉토리 구조

77. 3 페이지가 들어갈 수 있는 기억장치에서 다음과 같은 순서로 페이지가 참조될 때 FIFO 기법을 사용하면 페이지 부재(page fault)는 몇 번 발생하는가? (단, 현재 기억장치는 모두 비어 있다고 가정한다.)

참조열 : 1, 2, 3, 4, 1, 3, 1, 2

① 4
② 5
③ 6
④ 8

78. 데이터 암호화 시스템 중, 암호화 키와 해독 키가 따로 존재하여 암호화 키는 공용 키로 공개되어 있고 해독 키는 개인 키로 비밀이 보장되어 있는 방식은?
① 비밀번호(password)
② DES(Data Encryption Standards)
③ 공개 키 시스템(public key system)
④ 디지털 서명(digital signature)

79. 다음은 무엇에 대한 정의인가?

- 실행 중인 프로그램
- 커널에 등록되고 커널의 관리 하에 있는 작업
- 각종 자원들을 요청하고 할당받을 수 있는 개체

① Page
② Semaphore
③ Monitor
④ Process

80. UNIX에 대한 설명으로 옳지 않은 것은?
① 다양한 유틸리티 프로그램들이 존재한다.
② 멀티유저, 멀티태스킹을 지원한다.
③ 2단계 디렉토리 구조의 파일 시스템을 갖는다.
④ 대화식 운영체제이다.

81. 데이터 교환방식 중 축적 교환방식에 해당하지 않는 것은?
① 메시지 교환방식
② 회선 교환방식
③ 데이터그램 패킷교환방식
④ 가상회선 패킷교환방식

82. 정보통신의 발달에 큰 기여를 하였던 미국 항공회사의 좌석 예약 시스템은?
① SAGE
② CTSS
③ SABRE
④ ALOHA

83. 프로토콜의 기능 중 전송된 데이터를 수신하는 개체가 근원지로부터 송신되는 데이터의 전송량이나 전송속도를 제한하는 기능은?
① 연결제어
② 흐름제어
③ 오류제어
④ 동기화

84. 다음 중 광섬유케이블의 장점이 아닌 것은?
① 안정된 통신 및 누화 방지
② 많은 중계 급전선 필요
③ 광대역이며 대용량 전송
④ 경량 및 부피가 적음

85. OSI 7계층 중 데이터 링크 계층에 해당되는 프로토콜이 아닌 것은?
① HDLC
② PPP
③ LLC
④ UDP

86. HDLC(High level Data Link Control) 프로토콜에 대한 설명으로 틀린 것은?
① 흐름 및 오류제어를 위한 방식으로 ARQ를 사용할 수 있다.
② 링크는 점대점, 다중점 및 루프 형태로 구성할 수 있다.
③ 특정 문자 코드에 따라서 필드의 해석이 달라지므로 코드에 의존성을 갖는다.
④ 단방향, 반이중, 전이중 방식의 통신방식을 제공한다.

87. 아날로그 음성신호를 표본화(sampling)하면 어떤 형태의 펄스로 변환되는가?
① PAM
② PWM
③ PCM
④ PPM

88. 통신 프로토콜의 기본적이 구성 요소가 아닌 것은?
① 제어(Control)
② 구문(Syntax)
③ 의미(Semantics)
④ 타이밍(Timing)

89. 변조방식 중 ASK 변조란 어떤 변조 방식인가?
① 전송편이 변조
② 주파수편이 변조
③ 위상편이 변조
④ 진폭편이 변조

90. 다음 설명에 해당하는 에러검출기법은?

- 프레임 단위로 검출을 위한 코드를 계산하여 프레임 끝에 부착하는데 이를 FCS(Frame Check Sequence) 혹은 CRC 디지트라고 부른다.
- 데이터 통신에는 16비트 혹은 32비트 FCS가 널리 사용된다.

① 순환 중복 검사
② 수평 패리티 검사
③ 블록 합 검사
④ 수직 패리티 검사

91. 정보통신시스템의 기본적인 구성 중 이용자와 정보통신시스템과의 접점에서 데이터의 입출력을 담당하는 것은?
① 단말장치
② 정보처리시스템
③ 데이터전송회선
④ 변복조장치

92. OSI-7계층 중 네트워크 종단(end) 시스템 간에 신뢰성 있고 투명한 데이터의 전송을 담당하는 계층은?
① 응용계층
② 표현계층
③ 전송계층
④ 물리계층

93. 효과적인 데이터통신 시스템이 갖는 기본 특성으로 가장 거리가 먼 것은?
① 전달성(delivery)
② 복구성(recovery)
③ 정확성(accuracy)
④ 적시성(timeliness)

94. 잡음이 있는 통신채널의 경우 통신용량을 표시하는 샤논이론의 식 C = B log₂(1+S/N)에 대한 기호 설명으로 옳은 것은?
① C : 신호전력
② B : 대역폭
③ S : 잡음전력
④ N : 통신용량

95. 데이터통신에서 송․수신이 쌍방으로 동시에 통신이 가능한 전송방식은?
① Simplex
② Half-Duplex
③ Full-Duplex
④ Single-Duplex

96. 가상회선 패킷교환 방식에 대한 설명으로 옳은 것은?
① 수신은 송신된 순서대로 패킷이 도착한다.
② 우회 경로로 패킷을 전달할 수 있어 신뢰성이 높다.
③ 비연결형 서비스 방식이다.
④ 대역폭 설정에 융통성이 있다.

97. 다음 중 전화회선을 이용하지 않는 통신서비스는?
① FAX
② TELETEXT
③ ARS
④ VIDEOTEX

98. ATM 교환기에서 처리되는 셀의 길이는?
① 24바이트
② 48바이트
③ 53바이트
④ 64바이트

99. 디지털 시그널링(Digital Signaling)을 위해 데이터 비트를 디지털 전송 신호 요소로 대응시키는 장치는?
① 부호화기(Encoder)
② 복호화기(Decoder)
③ 변조기(Modulator)
④ 복조기(Demodulator)

100. 통신시스템에서 다음과 같은 설명에 해당하는 잡음은?

번개나 통신 시스템 장애 등에 의해 순간적으로 큰 에너지를 갖는 잡음

① 충격성 잡음
② 누화 잡음
③ 열 잡음
④ 상호 변호 잡음
다음검색
현재 게시글 추가 기능 열기

댓글

댓글 리스트
맨위로

카페 검색

카페 검색어 입력폼