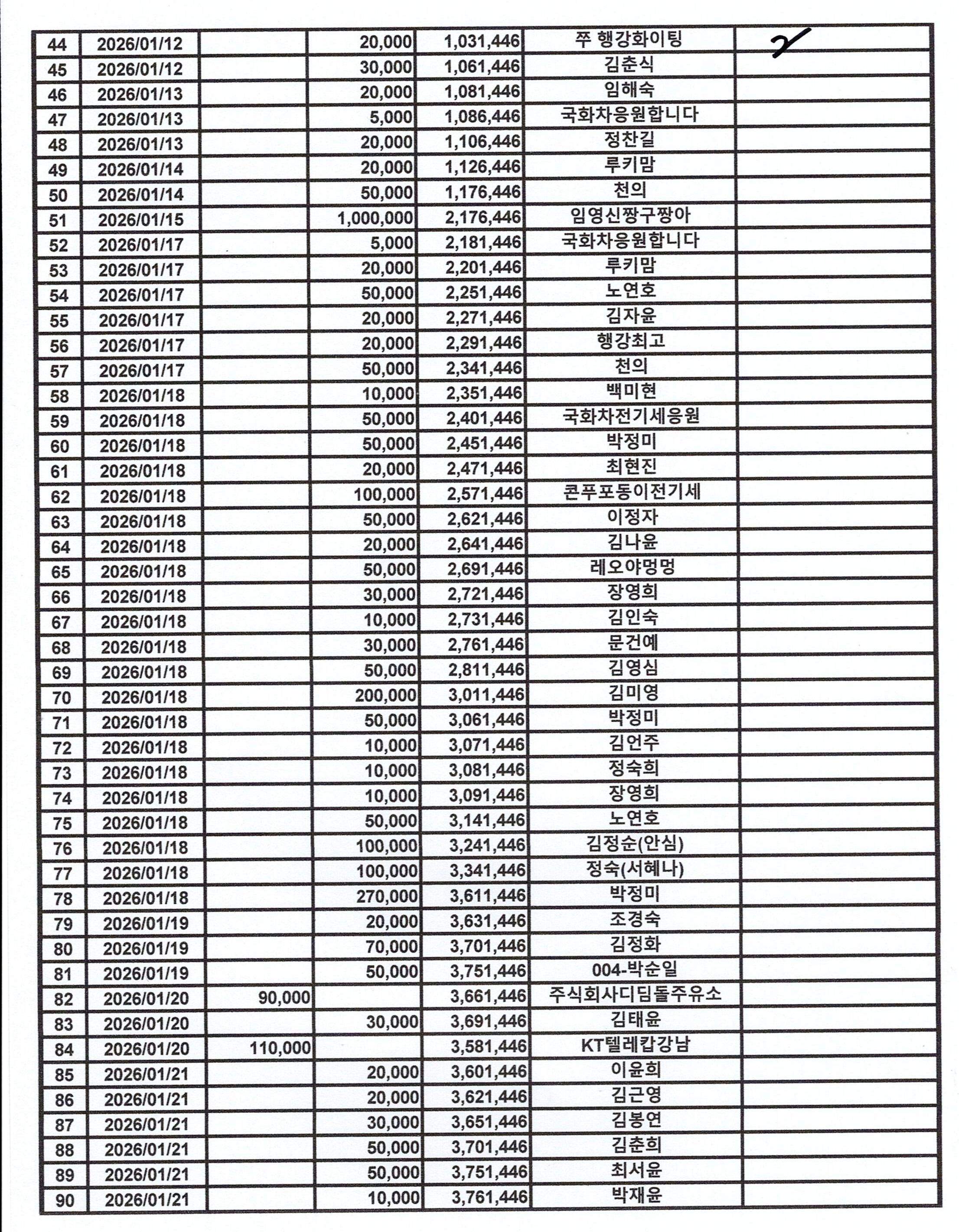
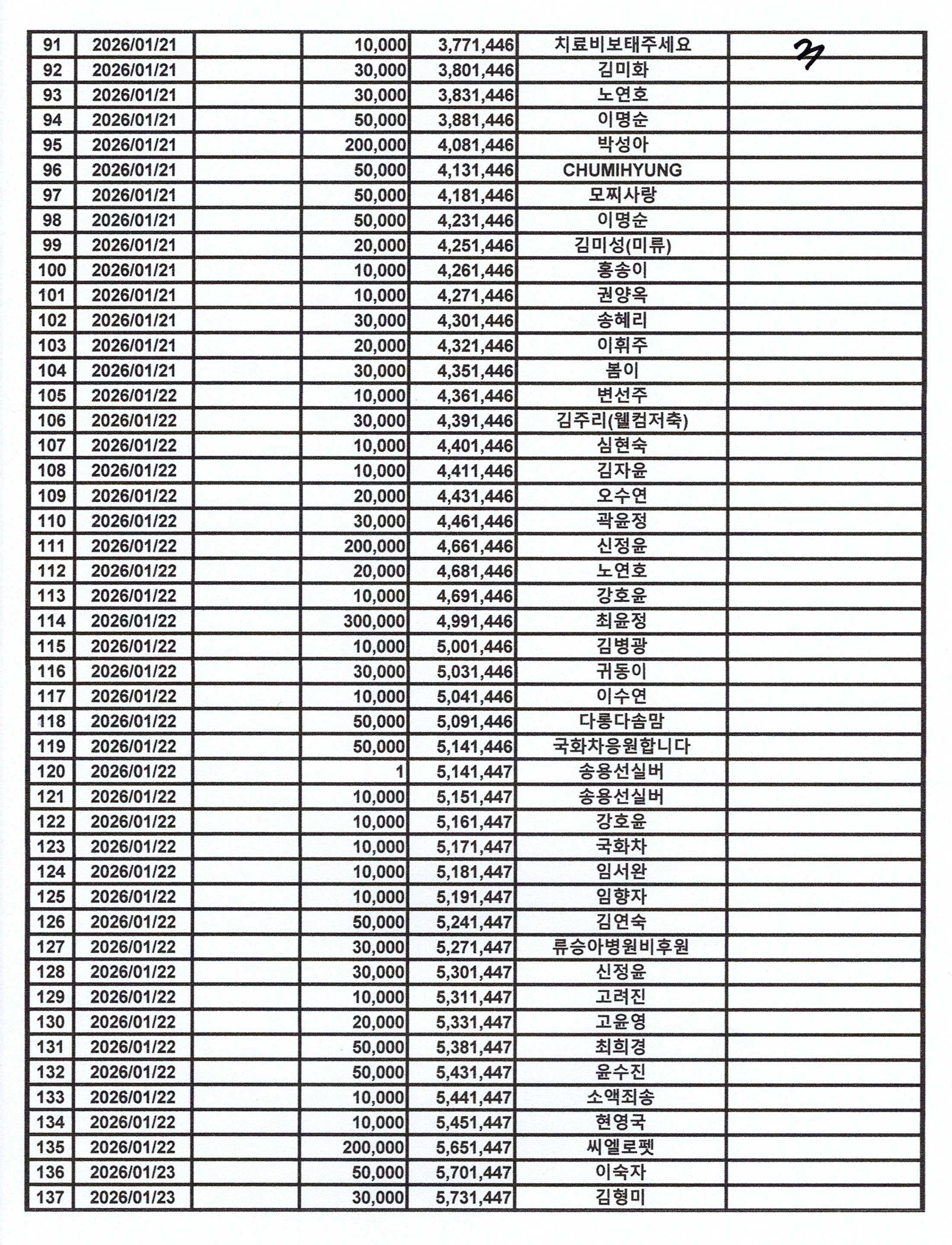
2026년01월 기부금모금 입/출금 내역

작성자행강대부|작성시간26.02.02|조회수43 목록 댓글 0

 

(사)동물보호단체 행강의 동물보호 및 동물복지 활동을 위하여
후원으로 함께 해주신 모든 분들께 감사 드립니다,

회원님들께서 십시일반으로 보내주신 후원금은 아이들을 위하여 소중하게 사용 하도록 하겠습니다,
☆,후원 해주신 후원금은 행강보호소 아이들보호에 필요한 사료비,치료비,견사보수비등 유기견아이들 관리비용 및
피학대 동물 구호 및 동물복지정책 활동비용으로 사용 되어집니다.

다음검색
현재 게시글 추가 기능 열기

댓글

댓글 리스트
맨위로

카페 검색

카페 검색어 입력폼