CAFE

한글팁

수식입력 입문자용 : 문서에 수식을 삽입하는 방법(펌)

작성자카페지기|작성시간16.04.09|조회수1,727 목록 댓글 0

문서에 수식을 삽입하는 방법을 알아보자.



[입력] 탭의 [수식]을 누른다.





[수식 편집기] 창이 나타나면 아래에 붉게 표시한 [극한]을 눌러 세부 항목을 선택한다. 





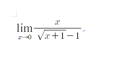
[극한] 기호가 나오면 수렴 기호를 아래와 같이 표시한다.





다음 항목으로 이동하여 [분수]를 선택한다.





분자에 아래와 같은 기호를 입력하고 분모로 이동하여 [근호]를 선택한다.





근호안에 아래와 같은 수식을 입력한다.







수식 입력을 마친 후 근호 밖의 수식을 입력하기 위하여 아래 붉게 표시된 [다음 항목]을 누른다.





그리고 나머지 수식을 아래와 같이 완성한다.





수식 편집기에서 작성된 수식을 문서 안으로 삽입하면 크기를 조절할 수 없게 된다. 크기를 적당히 조절한다. 완성된 수식을 문서에 삽입하기 위하여 [넣기]를 누른다.





그러면 다음과 같은 수식이 문서안에 포함되는 것을 확인할 수 있다.





첨부파일 수식편집.hwp




출처 : http://uicomputer.tistory.com/768

다음검색
현재 게시글 추가 기능 열기

댓글

댓글 리스트
맨위로

카페 검색

카페 검색어 입력폼