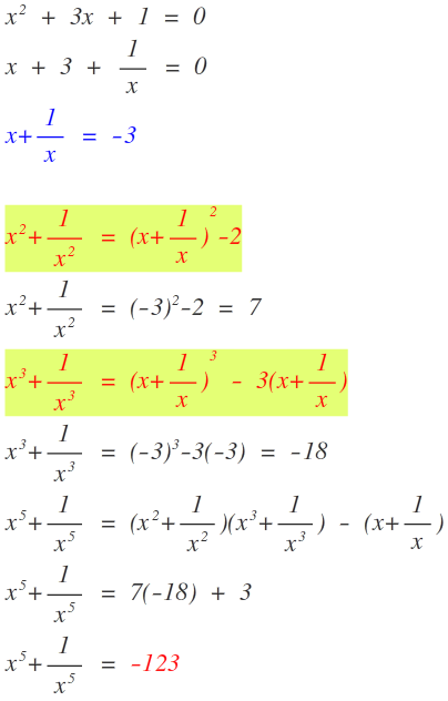
[질문풀이]고등학교 1학년 곱셈공식변형 분수 제곱차의 곱셈공식변형 작성자아이엠에스학원|작성시간15.08.01|조회수5,269 목록 댓글 0 글자크기 작게가 글자크기 크게가 [문제 질문]원본보기 [문제 풀이]원본보기 다음검색 현재 게시글 추가 기능 열기 북마크 공유하기 신고 센터로 신고 댓글 댓글 0 댓글쓰기 답글쓰기 댓글 리스트