CAFE

非스포츠 게시판

[스크랩] 서울대 출신 수학 강사가 말하는 수능 수학 역대급 문제

작성자Jason-Kidd|작성시간25.12.27|조회수1,224 목록 댓글 3

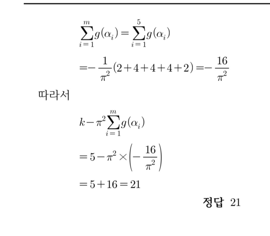
ebs 차현우 수학 강사 (전 국제화학올림피아드 국가대표, 전남과학고- 서울대 공대 졸업)가 말하는 역대급 문제






다음검색
스크랩 원문 : 이종격투기
현재 게시글 추가 기능 열기

댓글

댓글 리스트
  • 작성자Make a difference | 작성시간 25.12.27 네 다음 에어리언~
  • 작성자[NSNL]Delta Center | 작성시간 25.12.27 외계어네요
  • 작성자타이리스맥싀 | 작성시간 25.12.27 정답이 0이나 1이 아니라니 개어렵네요 진짜
댓글 전체보기
맨위로

카페 검색

카페 검색어 입력폼