CAFE

원리

직육면체의 겉넓이 구하기

작성자leekwandong|작성시간08.06.26|조회수1,203 목록 댓글 0

 

 직육면체의 겉넓이 구하는 방법

 

1) 여섯개의 면을 따로따로 구해서 다 더한다.

2) 3쌍이므로 한 면 씩 구해서 2배를 한다.

3) 밑 * 2 + 옆넓이를 한다.

 

에서 일반적으로 

3)의 방법을 가르치고 배우게 된다. 

 

이 방법의 장점은

나중에 원기둥의 겉넓이를 구할 때 활용되는 점이다.

 

 

그렇지만,

수학은 방법이 있으면, 그 다음은 필요에 따라 선택하는 것이다.

예를 들어

고기잡는 방법을 생각해보자.

 

일반적으로

1)낚시

2)그물을 생각할 수 있다.

 

그렇지만

숭어잡이 대회에서는 맨 손으로 잡으며, 갯벌에서 장어를 맨손으로 잡는다.

그밖에

3)돌밑에 숨은 잔챙이들은 망치로 돌을 때려서 잡고

4)휴전선에서 한 때 수류탄을 던져 잡았으며

5)자전거 밧데리로 잡기도 하고

6)울릉도 섬 사람들은 바다에 뛰어들어 작살로 도미를 향해 쏜다.

7)금강 유원지에서는 보로 튀어오르는 고기들을 우산을 거꾸로 펴서 잡는다.

8)통발로 유인해서 잡기도 하고

9)밀물과 썰물의 차를 이용하여 가두어서 잡기도 한다.

심지어 강에서는 가마우지가 잡게 하여 가로채는 영악한 방법도 있다.

 

이러한 방법을 미리 알고 있으면,

그 다음은 장소와 환경과 그리고 잡는 사람의 준비에 따라 

각자의 창의성과 선택한 방법으로

잡으면 된다.

거기에 개인의 심리상태에 따라 달라지게 된다.

 

물이 얕은 시내에서 남들이 망치나 해머로 돌을 때려 고기를 기절시켜서 잡을 때,

망치가 준비되지 않은 사람은 주변에서 돌을

들어 망치를 대신해서 내리찍어 충격을 주면 된다. 

 

금강유원지에서 남들이 우산을 펴서 잡을 때,

치마를 펴서 잡아도 마찬가지 결과를 얻을 수 있다.

 

우리가 어릴 때는 고무신으로 송사리를 몰아 잡은 기억이 있다.

*어린 한 때의 호기심에 의한 무지한 행동이었고

내 이이들에게는 새우, 멸치, 미꾸라지, 송사리, 메기, 붕어, 잉어, 다슬기, 조개, 석화, 개미, 잠자리, 매미, 나비, 메뚜기, 장수하늘소, 참새, 산비둘기, 꿩, 닭, 오리, 다람쥐, 뱀, 개구리, 올챙이, 도룡용, 토끼, 너구리 등등을 잡는 법을 가르치지 않았다.  

 

  

 

따라서

수학이 좀더 논리적에서 벗어나서,

활용수학이 되려면, 개인차를 인정하고 개인의 선택에 초점을 맞춰야 한다.

 

그런 이유로 해서

직육면체의 겉넓이를 구하는 방법은

다음 방법이 편리할 수가 있다.

 

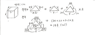
위의 방법 2)를 좀 쉽게 표현한 것이다.

 

 

이미지를 클릭하면 원본을 보실 수 있습니다.

 

 

박신영은 주로 이 방법을 사용한다.

왜?

골치 아픈 3)번 방법보다는

이 삼각형 그림으로 푸는 것이

너무 쉽고 재미있으니까!

 

몇 번 풀어보면,

문제에서 바로 아래 그림 '정리'로 풀게 되어

심리적으로 안정되고 풀기가 쉬운 것이다.

 

이 때 원기둥의 겉넓이를 미리 걱정할 필요가 없다.

박신영은 원기둥의 겉넓이 구하는 공식은

일반적인 방법인 3)을 활용한다.

 

 

 

 

 

 

 

 

 

 

 

 

 

 

 

 

 

 

 

 

 

 

 

 

 

 

 

 

 

 

다음검색
현재 게시글 추가 기능 열기

댓글

댓글 리스트
맨위로

카페 검색

카페 검색어 입력폼