CAFE

기학사상

리액턴스(reactance)와 임피던스(impedance)

작성자아리랑|작성시간17.01.20|조회수867 목록 댓글 0

 

리액턴스(reactance)와 임피던스(impedance)

 

 

 

 

 

저항(resistance)은 전류를 잘흐르지 못하게하는(방해하는) 물리량입니다. 전압은 전류와 이러한 저항의 곱입니다.​ 따라서 저항에 의해 전압과 전류의 전위차가 발생합니다.

 

 

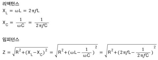
■ 리액턴스(reactance)​

 

 

 

 

RLC회로에서 저항(R)을 통과한 전류는 전압과 위상이 같습니다. 하지만 코일(L)을 통과한 전류는 전류보다 전압이 90도 빠르고, 축전기(C)를 통과한 전류는 전류보다 전압이 90도 느립니다. 따라서 저항이 코일과 축전기를 통해 위상차가 발생하는데 이러한 저항을 특히 리액턴스(reactance)라고 합니다.

 

 

 

                      <임피던스는 회로의 전압과 전류와의 비>​

 

 

교류에서 리액턴스는 코일에 의해 발생하는 유도리액턴스와 축전기에 의해 발생하는 용량리액턴스가 있습니다. 따라서 유도리액턴스는 코일의 저항 효과를 나타내는 값이고, 용량리액턴스는 축전기에서 저항 효과를 나타내는 값입니다.

 

 

 

 

 

위상차 : 전압과 전류의 크기를 시간의 방향(직선)에 따라 위상의 상태와 크기를 나타냄.

 

위상자 : 전압과 전류의 크기를 각속도 ω로 반시계방향으로 회전(원)시키며 위상의 상태와 크기를 나타냄.

 

 

리액턴스나 임피던스나 단위는 옴(Ω)을 사용합니다.

 

 

 

                           <유도리액턴스와 용량리액턴스>

 

저항(R)에서는 전류의 에너지가 소모됩니다. 반면에 코일(L) 또는 축전기(C)에서의 전류의 에너지는 저항을 통해 전류의 흐름을 방해할뿐 에너지는 소모되지 않습니다.

 

 

■ 임피던스(impedance)

 

 

옴의 법칙 V = IR 은 전체전압(V) = 전류(I) · 임피던스(Z)와 같습니다. 따라서 Z = V / I

 

 

 

Z는 임피던스[​Ω], R은 옴저항[​Ω], X는 리액턴스[​Ω]

 

(옴저항 : 저항기에서 발생하는 본래 위상을 갖는 저항, 리액턴스 : 코일 또는 축전기에서 발생하는 위상차를 갖는 저항)​

 

 

​따라서 임피던스는 본래 저항(R)과 리액턴스 저항(X)의 합으로 일반적으로 회로에 전체의 저항 값을 나타냅니다.

 

 

 

 

위의 그림은 코일(RL회로)과 축전기(RC회로)가 따로 됐을때, 아래의 그림은 코일과 축전기가 같이 붙어있는 회로(RLC직렬회로)의 경우입니다. ​

 

 

 

 

직류회로에서는 전기저항은 전압과 전류의 비를 의미하며 이것이 임피던스입니다. 그러나 교류회로에서는 코일이나 축전기에 의해 전압과 전류의 위상이 주기적으로 달라져 저항이 변화하므로 여기에 복소임피던스를 사용하여 저항값과 위상을 같이 나타냅니다.

 

 

 

​<그림출처 : http://hyperphysics.phy-astr.gsu.edu/hbase/electric/impcom.html>

 

 

실수부는 옴저항(RL 또는 Rc)이고, 허수부(j, 원래 i인데 전류와 혼동될 수 있으므로)는 위상차가 나타나므로 y축을 기준으로 각운동량 ω은 + 또는 - 값을 가지고, 코일의 유도리액턴스의 경우는 저항은 jωL로 비례관계, 축전기의 용량리액턴스의 경우는 -j/ωC로 반비례 관계입니다.

 

 

허수 j는 를 나타내고(제곱해서 -1이 나오는 수), ​위상이 90°씩 바뀌면서 위상이 +, -, +, -... 이런식으로 음양순환(陰陽循環)의 원리 때문에 +와 -가 번갈아 계속 바뀌기 때문에 이러한 위상차 때문에 허수를 사용합니다.

 

 

​임피던스(impedance)는 교류에서 전류가 흐르기 어려운 정도로써 저항과 유사하지만, 실수부분(real)은 저항(R), 허수부분(imaginary)은 리액턴스를 나타내는 복소수(ωLj 등)로써 저항과 리액턴스를 합성한(더한값) 것입니다. 임피던스는 전압과 전류의 크기와 비율뿐만아니라 그래프를 통해 위상도 나타낼 수 있는 벡터량입니다.

 

 

 

 

 

 

 

교류회로에서 이러한 임피던스저항은 기기들마다 서로 각자 다를 수 있으므로 최적의 시스템 밸런스를 위해 매칭하는 작업이 필요합니다.

 

 

 

​<관련자료 : 저항(resistance)이란 무엇인가?

 

인덕턴스(Inductance)와 사상(四象)의 순환

 

RLC회로와 태극순환

 

고주파필터와 저주파필터의 음양순환>​

 

다음검색
현재 게시글 추가 기능 열기

댓글

댓글 리스트
맨위로

카페 검색

카페 검색어 입력폼