참고로 오해의 소지가 있을까 하여 신중하게 접근하면서 적어봅니다.
가승계보(안산김씨족보)는 김알지 - - 지증왕 - - 원성왕 - - 경순왕 - 은열 - 긍필(시조)입니다.
현재까지 밝혀진 문헌상 계보는 김알지 - - 지증왕 - - 태종무열왕 - - - 긍필(시조)입니다.
결론부터 말씀드리자면 문헌상의 기록을 인정해야 하겠지만 아직까지는 확실한
근거가 부족하다고 판단하여
명확한 근거자료의 확보시 까지 그리고 우리 안산김씨 대종회 차원의 선대에
대한 공식 입장 표명이 있을때까지는 가승계보와 안김족보대로 경순왕 후손인 것 입니다.
아래내용은 문헌상의 계보를 근거로 작성
안산김씨 시조 김긍필(金肯弼)은 1024년(고려 현종 15) 상서 좌복야
(尙書左僕射)·상주국(上柱國)·안산현 개국후(安山縣開國侯)에 추봉되어
식읍(食邑) 1500호(戶)를 하사(下賜)받았다.
가승에 전하는 기록은 김알지의 28세(27대손)경순왕, 넷째 아들 은열
(殷說), 은열의 아들 30세(29대손) 긍필(兢弼)이 안산김씨 시조 입니다.
(세=대 : 시조포함, 대손=세손 : 시조제외)
일부 문헌에는 태종무열왕의 17세 직계후손으로 전해지고 있습니다.
무열왕 후손으로 보면 시조 긍필은 김알지의 32세(31대손) 입니다.
(현재 태종무열왕 계보를 연구중에 있음)
신라김씨 분관 선원도 (안산김씨 분관 계보도)
왼쪽 안산김씨 계보 기록
왼쪽 안산김씨 계보
우측(오른쪽) 2번째줄 안산김씨 계보
아래쪽 중앙 숫자(1) 안산김씨 태종무열왕의 17세 긍필 분관연원기록
중앙 숫자(1) 안산김씨 태종무열왕의 17세 긍필 분관연원기록
안산김씨 상계 조상
|
1世 |
2世 |
3世 |
4世 |
5世 |
6世 |
7世 |
8世 |
9世 |
10世 |
|
(김알지) (大輔公) |
(세한) 이찬 |
(아도) 파간 |
(수류) 각간 |
(욱보) 각간 |
(구도) 파진찬군주 |
味鄒(미추) 김씨최초왕 |
|
|
|
|
|
거서간 |
추봉갈문왕 |
伐休王妃 |
|
조분왕외조 |
조분왕사위 |
|
|
|
|
|
|
祇摩王妃 |
(벌휴왕비) |
|
추봉갈문왕 |
保反夫人 |
|
|
|
|
|
|
(지마왕비) |
|
|
|
(보반부인) |
|
|
|
|
|
|
|
|
|
|
大西知 |
3 實聖王 |
至鳥休 |
|
|
|
|
|
|
|
|
(대서지) |
實聖(실성) |
(치휴) |
|
|
|
|
|
|
|
|
末仇(말구) |
2 奈勿王 奈勿 (내물) |
4 訥祇王 訥祇(눌지) |
5 慈悲王 慈悲(자비) |
|
|
|
|
|
|
|
|
阿留夫人 |
阿老夫人 |
|
|
|
|
|
|
|
|
|
아유부인 |
아노부인 |
|
|
|
|
|
|
|
|
|
|
卜好 (복호) |
習寶 (습보) |
|
始祖10世 |
11世 |
12世 |
13世 |
14世 |
15世 |
16世 |
17世 | ||
|
5 慈悲王 |
6 炤智王 |
|
|
|
|
|
| ||
|
慈悲 (자비) |
炤智 (소지) |
|
|
|
|
|
| ||
|
習寶 (습보) |
7 智證王 |
8 法興王 |
|
|
|
|
| ||
|
|
智大路 |
原宗(원종) |
|
|
|
|
| ||
|
|
지대로 |
立宗(입종) |
9 眞興王 |
銅輪 (동륜) |
11 眞平王 |
12善德女王 |
| ||
|
|
|
|
(三麥宗) |
|
伯淨(백정) |
德曼(덕만) |
| ||
|
|
|
|
|
|
伯飯(백반) |
|
| ||
|
|
|
|
|
|
國飯(국반) |
13眞德女王 |
| ||
|
|
|
|
|
|
|
勝曼(승만) |
| ||
|
|
|
|
|
10眞智王 金輪 (김륜) |
龍春(용춘) |
14 武烈王 春秋(춘추) 16세손 |
15 文武王 法敏(법민) | ||
|
|
|
|
|
|
|
|
仁文 인문 (대각간) | ||
|
|
|
|
|
|
|
|
文注 문주 (시중,천왕) 무열왕 셋째아들(10형제) | ||
|
始祖17世 |
18世 |
19世 |
20世 | ||||||
|
文注 문주 (시중,천왕) 무열왕 셋째아들(10형제) |
大忠 대충 (각간) |
思仁 사인 (상대등) |
惟精 유정 (시중) | ||||||
|
始祖20世 |
21世 |
22世 |
23世, 24世, 25世 | ||||||
|
惟精 유정 (시중) |
長男 : 周元 주원 (강릉김씨 시조) |
경주김씨 족보 강릉김씨 족보 |
| ||||||
|
|
奈興 내흥 (갑간) 둘째아들(次男) |
慶徵 경징 (대아간) |
23 榮 영 (상공) 24 宗儒 종유 (아간) 25 宮一 궁일 (군윤) | ||||||
|
始祖25世 |
26世 |
27世,28世,29世 |
30世, 31世, 32世 | ||||||
|
宮一 궁일 (군윤)
|
26 殷義 은의(군윤) 女-壻 李翰 (전주이씨 시조모) 양자 27세 경영 26康義강의 (경영父) 좌복야 |
27 景暎 경영 (아진찬)
28 頊成 욱성 (한림)
29 承興 승흥 (아찬) |
30 獻 헌 (사도) 31 支柱 지주
32 肯弼 긍필 안산개국후 좌복야 (兢弼 긍필) | ||||||
|
☜ |
경주김씨 |
↔ |
안산김씨 ☞ | ||||||
|
安山金氏 始祖
1世 (32世) |
2世 |
3世 |
4世 | ||||||
|
兢弼 긍필 (안산김씨 시조)
(肯弼 긍필)
안산개국후, 상서좌복야 |
殷傅 은부
(고려 현종 장인)
안산개국후,호부상서 상호군, 안평공
딸3명 태후, 왕후 |
충찬 (忠贊) 병부상서, 지중추원사 弟 난원 : 문종 왕사 경덕국사 대각국사 의천 스승 공정공 |
원황 (元晄)
공부상서, 병부상서 의경공 | ||||||
|
安山金氏 5世 |
6世 |
7世 |
8世, 9世 | ||||||
|
경용 (景庸)
문하시중, 낙랑공 |
인규 (仁揆) 이부상서 참지정사 |
지우 (之祐) 합문지후, 안서도호부판관 |
8세 충언, 위위승동정 9세 위 (渭) 충익공 문하시중, 낙랑군 | ||||||
○ 안산김씨 세계도
|
시조 |
2세 (1대손) |
3세 (2대손) |
4세 (3대손) |
5세 (4대손) |
6세 (5대손) |
7세 (6대손) |
8세 (7대손) |
9세 (8대손) |
|
김긍필 |
은부 |
충찬 |
원황 |
경용 |
인규 |
지우 |
충언 |
위 |
|
안산개국후 |
안산개국후 |
병부상서 |
공부상서 |
평장사 |
좌승선 |
예빈주부 |
위위승 동정 |
문하시중 |
|
안종사돈 |
세딸현종 |
중추원사 |
중추원사 |
판형부사 |
이부상서 |
선경부사인 |
이후 벼슬 실전 |
판리부사 |
|
상서좌복야 |
호부상서 |
우산기상시 |
병부상서 |
문하시중 |
문하성지사 |
합문지후 |
|
낙랑군 |
|
식읍1500 |
상호군 식읍1000 |
지중추원사 |
|
낙랑공 식읍1000 |
참지정사 |
안서도호부 판관 |
|
충익공 |
|
|
|
|
|
|
|
|
|
|
|
10세 (9대손) |
11세 (10대손) |
12세 (11대손) |
13세 (12대손) |
14세 (13대손) |
15세 (14대손) |
16세 (15대손) |
17세 (16대손) |
18세 (17대손) |
|
원상 |
성경 |
정경 |
지 (별장) |
암 |
|
|
|
|
|
대제학 |
진주목사 |
좌명공신 |
관 (상호군) |
을신,맹감 |
|
|
|
|
|
상호군 |
삼사우사 |
안산군 (연성군) |
척 (별장) |
지 |
|
|
|
|
|
정당문학 |
의정부사 |
이조전서 |
개 |
맹린 |
|
|
|
|
|
판삼사사 |
자헌대부 |
숭정대부 |
중추원사 |
맹전 |
|
|
|
|
|
|
|
위정공 |
중추부사 |
맹추 |
|
|
|
|
|
|
|
|
좌참찬 |
맹균 |
|
|
|
|
|
|
|
|
판중추부사 |
맹일 |
|
|
|
|
|
|
|
|
|
맹강 |
필 |
원회 |
수온 |
계남 |
|
|
|
|
|
승문원교감 |
문과장원 |
수의부위 |
동지중추 부사 종2품 |
군관,주부 |
|
|
|
|
|
진주강씨 |
전적 |
문화유씨 |
3형제 장남 |
조헌문하학문 |
|
|
|
|
|
맹유 |
홍문관교리 |
|
남원양씨 |
율곡,성혼강론 |
|
|
|
|
한 (대호군) |
맹철 |
증 부제학 |
|
|
조헌금산전투참가 |
|
|
|
|
|
맹혁 |
4형제 넷째 |
|
|
이조정랑 한유행장 |
|
|
주경 (판서) |
이용 (별장) |
정 (판결사) |
맹현 |
전주이씨 |
|
|
청주한씨 |
|
|
|
|
|
|
|
|
|
|
안산김씨 김긍필의 14세손(13대)에서 분파되었습니다.
(참고자료 안산김씨족보 1776년, 1989년)
o 상호군파 휘 암 (의주,용천) ** 휘(諱) :왕이나 제후 등이 생전에 쓰던 이름
o 사직공파 휘 을신 (강진)
o 학생공파 휘 맹감 (강진,황주)
o 대제학공파 휘 지 (합천)
o 부정공파 휘 맹린 (포천1동)
o 사재정공파 휘 맹전 (안산)
o 첨정공파 휘 맹추 (한산)
o 참봉공파 휘 맹균 (황해)
o 직장공파 휘 맹일 (포천)
o 교감공파 휘 맹강 (천안)
o 첨중추공파 휘 맹유 ?
o 판서공파 휘 맹철 (괴산)o 참판공파 휘 맹혁 (포천, 청산)
o 첨지중추부사공파 휘 맹현 (장단)
|
11세 (10대손) |
12세 (11대손) |
13세 (12대손) |
14세 (13대손) |
분 파 내 용 (집성촌) | |
|
성경 |
정경 |
지 別將 |
암 (상호군) |
의주파 |
의주파, 용천파 |
|
진주목사 삼사우사 의정부사 자헌대부 |
좌명공신 연성군 (안산군) 이조전서 숭정대부 위정공 |
관 上護軍 |
을신 (사직) |
강진파 |
강진파 |
|
맹감 (학생) |
강진파 |
황해도 황주파 | |||
|
척 別將 |
지 (대제학) |
합천파 |
괴산파,합천파,산청파,만경파 | ||
|
개 左參贊 |
맹린 (부정) |
포천, 안산, 천안파 |
포천파, 양주파 | ||
|
맹전 (사재정) |
〃 |
안산파 | |||
|
맹추 (첨정) |
〃 |
한산파 | |||
|
맹균 (참봉) |
〃 |
황해도파 | |||
|
맹일 (직장) |
〃 |
포천파 | |||
|
맹강 (교감) |
〃 |
옥천파(청산파), 천안파 | |||
|
맹유 (첨중추) |
〃 |
? | |||
|
한 大護軍 |
맹철 (판서) |
괴산파 |
괴산파 | ||
|
맹혁 (참판) |
포천, 청산파 |
포천파, 청산파 | |||
|
주경 (판서) |
이용 (별장) |
정 判決事 |
맹현 (첨지중추부사) |
장단파 |
장단파 |
위정공 안산군 김정경 묘 (경기도 하남시 감북동 57)
고려 공양왕 때에는 대군과 군의 처를 구별하지 않고 옹주라 하였으나, 조선 초기에 와서 대군의 처를 옹주, 군의 처를 택주(宅主)라 하여 서로를 구별하였다.
안산군(연성군) 할아버지 부인이신 개성왕씨 화혜택주 묘 (부인 : 평산신씨, 교하노씨, 개성왕씨)
위정공 연성군(안산군) 묘소산도 문광공 상호군 원상 묘소산도
위정공(안산군) 배향 위정각 (경기도하남시 감북동 57)
안산군(연성군) 할아버지, 부인 평산신씨, 교하노씨, 개성왕씨 배향 위정사 (충북 괴산군 장연면 광석리)
조선시대의 문신 김정경의묘 (하남시)
( 金定卿 墓 , Gimjeonggyeong myo )
1345(충목왕1)∼1419(세종 1). 본관은 안산. 아버지는 진주목사
성경(星慶). 시호는 위정(威靖)이다.
고려때 벼슬하였으나, 새 왕조 창업에 찬성하고 이성계를 지지하였다. 조선 개국후 삼군절도사를 거쳐, 이조전서(이조판서)를 지냈는데, 인사관리를 잘하였다.
1396년(태조5) 판예빈시사(判禮賓寺事)가 되어 전라도와 충청도 각지의 성을 수축하고 군비를 점검하는 한편 병선의 허실을 조사하였다.
1400년 방간의 난이 일어나자 한성부윤(現서울시장)으로서 방원에 협력하여 이를 진압, 좌명공신 4등에 책록되고, 연성군(蓮城君)에 봉해졌다.
묘소위치 : 경기도 하남시 감북동 157
서울지하철 5호선 둔천동역 3번출구 앞 마을버스 7번, 7-1번 승차 안촌 종점하차 (약 10분 소요)
서울지하철 5호선 둔천동역 3번출구 앞 1번마을버스, 또는 도시형80번 버스 승차 배다리(서하남인터체인지) 하차 안촌마을행 마을
버스 7번 승차 또는 도보(속보)로 안촌마을까지 약 10분 소요
하남시청에서 둔촌동방향의 180번시도를 타고 15분쯤 가면 배다리
(서하남인터체인지)에 이르게된다.
배다리의 서울한약방앞에서 안촌마을가는 마을버스를 타고
5분쯤가면 종점에서 하차. 두갈래길의 좌측 50m쯤가면 길의 왼편에 위정각이 있고, 위정각 뒷편에 묘가 있다.
교통정보
시청에서 30-5,30-1번 버스, 1번 마을버스로 15분 감북마을버스
(안촌 : 30분간격) 5분
안산김씨 상계 시조이전 뿌리찾기
태종무열왕 계보도
|
김알지 - - - 16세 태종무열왕 - 17세 문왕 - 18세 대충 - 19세 사인 - 20세 유정 - 21세 내흥 |
|
22세 경징 - 23세 영 - 24세 종유 - 25세 궁일 - 26세 은의- 27세 女 壻 李翰(全州李氏) |
|
(25세부터 다시 시작) 25세 숭일 - 26세 강의 - 27세 경영 - 28세 욱성 - |
|
29세 승흥 - 30세 헌 - 31세 지주 - 32세 긍필(兢弼) 안산김씨 시조 |
실전기록 찾기 도표
|
경주김씨 30세 |
경주김씨 31세 |
32세 |
33세 |
34세 |
35세 |
36세 |
37세 |
38세 |
39세 |
40세 |
41세 |
|
三性 淵源譜
헌 (獻) |
三性 淵源譜
지주(支柱) |
단 (日旦) |
척 (陟) |
직휘 (直輝) |
용도 (用度) |
충림 (忠霖) |
악 (渥) |
순손,우손 (舜孫,禹孫) 女 이지언 |
|
|
|
|
|
|
|
원황 (元晃) |
경용 (景庸) |
인규 (仁揆) | ||||||
|
헌 (獻) (벼슬사도) 효종 |
慶州金氏 지주(支柱) 경순왕 |
단 (日旦) 은열 |
척 (陟) 정구 |
직휘 (直輝) 계삼 |
용도 (用度) 한공 |
충림 (忠霖) |
악 (渥) |
순손,우손 (舜孫,禹孫) |
섬한 (暹漢) |
|
|
|
경용 (景庸) |
인규 (仁揆) | ||||||||||
|
경주김씨 장군공후 계보도 |
1세 |
2세 |
3세 |
4세 |
5세 |
6세 |
7세 |
8세 |
9세 | ||
|
효종 |
경순왕 |
일 (太子 鎰) |
순웅 (順雄) |
인위 (因謂) |
원정 |
지열 (之說) |
순부 (舜符) |
영유 (英裕) |
의공 (義公) |
광준 (光俊) |
남미 (南美) |
|
인천이씨 |
시조 |
2세 |
3세 |
4세 |
5세 |
6세 |
7세 |
8세 |
9세 |
10세 | |
|
이허기 10세손 허겸 |
허겸 |
한 |
자연 |
호 |
자겸 |
지언 |
- |
- |
- |
| |
|
여 (사위) 김은부 |
妻家 경주김 父 인규 |
인규 子 지효 | |||||||||
|
안산김씨 김지우 묘지명 (1152년) |
시조 |
2세 |
3세 |
4세 |
5세 |
6세 |
7세 |
8세 |
9세 |
10세 | |
|
원성왕 |
김예 (金禮) |
인윤 (仁允) |
신웅 (信雄) |
인위 (因謂) |
원황 (元晃) |
경용 (景庸) |
인규 (仁揆) |
지효 (절손) 지우 (之祐) |
|
|
|
|
안산김씨 경덕국사 묘지명 (1072년) |
시조 |
2세 |
3세 |
4세 |
5세 |
6세 |
7세 |
8세 |
9세 |
10세 | |
|
|
|
긍필 (兢弼) |
은부 (殷傅) |
충찬 (忠贊) |
|
|
|
|
|
|
|
|
안산김씨 족보 (1989년) |
시조 |
2세 |
3세 |
4세 |
5세 |
6세 |
7세 |
8세 |
9세 |
10세 | |
|
경순왕 |
은열 (殷說) |
긍필 (兢弼) |
은부 (殷傅) |
충찬 (忠贊) |
원황 (元晃) |
경용 (景庸) |
인규 (仁揆) |
지효 (절손) 지우 (之祐) |
충언 (忠彦) |
김위 (金渭) |
원상 (元祥) |
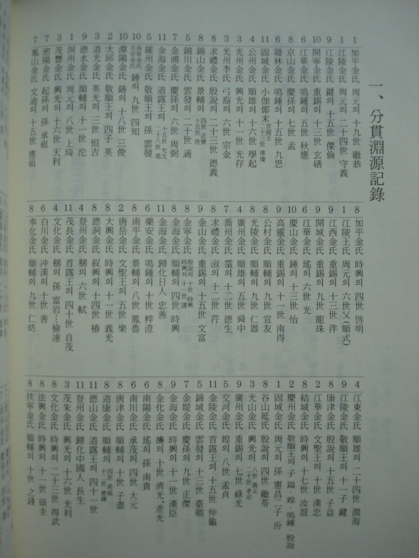
28대 29대 30대 31대 32대 33대 34대 35대 36대 37대
경순왕 은열 일 순웅 인위 경용 인규 지우 경주김씨 김지우 묘지명
경순왕 은열 태화 정구 계삼 한공 경용 인규 경주김씨
태종무열왕 - 문주- - - 내흥 - - - -
욱성 승홍 헌 지주 - - - 원황 경용 인규 삼성연원보
30대 31대 1세 2세 3세 4세 5세 6세
원성왕 - - - 경순왕 은열 긍필 은부 충찬 원황 경용 인규 안산김씨
실전기록 찾기 도표 설명
가승계보는 김알지 - - 지증왕 - - 원성왕 - - 경순왕 - 은열 - 긍필(시조)입니다.
현재까지 밝혀진 문헌상 계보는 김알지 - - 지증왕 - - 태종무열왕 - - - 긍필(시조)입니다.
문헌상의 기록이 우선할 수 있지만 안산김씨 대종회 차원의 선대에 대한 상계 결정시 그 결정에 따르는 것이 순리라고 생각합니다.
가승계보상 경순왕 후손이지만 그보다 상위 근거는 김지우(金之祐 : 1108~1151) 묘지명 (연대 1152년, 의종6년)으로 원성왕 - 김예 - 인윤 - 신웅(순웅) - 인위 - 경용 - 인규 - 지우 - 충언으로 이 기록만으로 본다면 경순왕 - 은열에 대한 언급도 없으며, 인위라는 분은 은열의 직계후손이 아닙니다. 이때 경순왕의 직계였다면 직계기록에서 경순왕이나 은열공이 누락될 수가 없다고 생각합니다.
(* 경순왕 계보 : 일(태자)-순웅-인위-원정 * 은열-태화-정구-계삼-한공)
그리고 안산김씨가 경순왕의 후손이라면 경순왕 후손의 각종기록과 신라김씨 후손의 기록에 안산김씨 분파내용이 있어야 하는데 그 어느 곳에도 분파기록이 전무합니다. 이는 경순왕(?-978,경종3년)시대에 시조 긍필이 살았으며 이후 아들 은부(?-1017)가 그 계대를 유지하였슴에도 경순왕의 직계후손이라는 기록이 없는 것은 계대가 서로 다르기 때문일 것입니다.
김지우 묘지명을 보면 안김 윗대 경용이전 기록이 경주김씨 장군공파의 상계기록입니다.
즉 우리 안김시조인 긍필 - 은부 - 충찬 - 원황 선조기록이 없고 상계 기록은 인위계 이며 이후 세대로 경용 - 인규 - 지우 - 충언 세계는 기록이 명확합니다.
지우의 묘지명(1152년)에는 고조부 되는 충찬의 동생 경덕국사 난원의 묘지명(1052년)에 나타난 선조 기록이 하나도 나타나지 않고 있습니다. 인위라는 분과 은부 조상님은 고려 현종의 장인(국구)에 해당되는데 지우 선조가 돌아가신 후 후손들이 어려서 선조기록을 묘지명에 잘못 기재한 것으로 판단됩니다.
1072년 기록을 1152년 기록에서 바꿀 수도 없으며 1072년 기록은 고려문종의 왕사로 경덕국사로 추증된 기록과 조부 긍필, 아버지 은부, 형님 충찬에 대한 내용은 고려사 현종실록에도 그 내용이 자세하게 기록되어 있기 때문입니다.
안산김씨 블로그 안산김씨이야기 -- 고려사(현종-문종) 내용을 보시면 됩니다.
안산김씨의 상계가 무열왕의 후손이라는 근거는 신라삼성연원보, 경주김씨 족보, 인천이씨 족보, 안산김씨 족보를 종합한 도표를 볼 때 상계기록과 후손들의 세계 기록이 일치함을 볼 수 있다.
이러한 내용을 종합하여 볼 때 문헌상의 기록을 인정해야 하지만 안산김씨 대종회 차원의 선대에 대한 입장 표명을 존중해야 하기 때문에 대종회의 선대 상계에 대한 결정을 존중해야 할 것입니다.
경덕국사(景德國師) 난원(충찬 동생)의 묘지명 (연대 1072년, 문종20년)
국립중앙박물관 소장
국사의 이름은 난원(爛圓)이고, 속성은 김씨(金氏)이며, 선조는 안산군(安山郡)
사람이다. (1066년, 문종20년 돌아가시다)
돌아가신 상서좌복야(尙書左僕射) 긍필(兢弼)이 조부이고, 돌아가신 검교태사
상주국(檢校太師 上柱國)으로 시호가 안평공(安平公)인 은부(殷傅)가 아버지이며, 돌아가신안효국대부인 이씨(安孝國大夫人 李氏)가 어머니이다.
돌아가신 중추사 병부상서(中樞使 兵部尙書)인 충찬(忠贊)이 형이고, 돌아가신
수좌(首座) 홍주(弘疇)가 은사이다.
경덕국사 묘지 김지우 묘지
김지우(金之祐 : 1108~1151) 묘지명 (연대 1152년, 의종6년)
국립중앙박물관 소장
선조는 신라국(新羅國) 원성대왕(元聖大王)의 후손이다.
대왕은 대광(大匡) 김예(金禮)를 낳고,
예는 삼한공신 삼중대광(三韓功臣 三重大匡) 인윤(仁允)을 낳고,
윤은 대자대보 좌복야(大子大保 左僕射) 신웅(信雄)을 낳고,
웅은 사도 내사시랑평장사(司徒 內史侍郞平章事) 인위(因謂)를 낳고,
위는병부상서 중추사(兵部尙書 中樞使) 원황(元晃)을 낳고,
황은 중서령(中書令) 낙랑공(樂浪公) 경용(景庸)을 낳고,
용은 중서시랑평장사 판상서공부사(中書侍郞平章事 判尙書工部事) 인규(仁揆)를 낳고, 규가 지우(之祐)를 낳았다
큰아들은 위위승 동정(衛尉丞同正) 충언(忠彦)이고,
다음 아들은 가장 어리다. 딸은 세 명이 있는데,
큰딸은 예빈주부(禮賓主夫) 황문부(黃文富)에게 시집갔고, 나머지는 모두 어리다.
임신년(의종 6, 1152) 10월 19일에 송림현 백고포(松林縣 白古浦)에 장례 지냈다.
왕후 본관 및 가계
|
왕후ㆍ부인의 시호와 성씨 |
왕후ㆍ부인의 본관과 가계 |
자 녀 |
비 고 |
|
원성[용의공혜영목량덕신절순성자성광선]태후 김씨 元城[容懿恭惠英穆良德信節順聖慈聖廣宣]太后 金氏 |
안산安山. 부 : 시중 侍中 김은부金殷傳
|
덕종德宗ㆍ정종靖宗ㆍ인평왕후仁平王后ㆍ경숙공주景肅公主 |
延慶院主 延慶宮主 덕종이 왕태후로 높임. 원성태후 |
|
원혜[평경]태후 김씨 元惠[平敬]太后 金氏 |
안산安山. 부 : 시중 侍中 김은부金殷傳 |
문종文宗ㆍ평양공平壤公 기基ㆍ효사왕후孝思王后 |
처음 안복궁주安福宮主라 부르다가 연덕궁주延德宮主로 고침. 문종 때 태후로 높임. 원혜태후 |
|
원평왕후 김씨 元平王后 金氏
|
안산安山. 부 : 시중 侍中 김은부金殷傳
|
효경공주
|
원평왕후
|
|
원순숙비 김씨 元順淑妃 金氏 |
부 : 평장사平章事 김인위 金因渭 |
경성왕후敬成王后
|
처음 경흥원주景興院主로 불림 |
※ 김긍필 식읍 1,500호, 김은부 식읍 1,000호, 경주김씨 김인위 식읍 300호
김지우 묘지명 오류 해설
김지우 묘지명(1152년)의 밑줄표시 글은 후손들이 상계 조상을 착각하여 기록된 것이다.
4대조인 고조부 충찬(병부상서)의 여동생 3명이 현종의 부인(왕후)인 것을 같은 시대 현종의 원순숙비 김씨의 아버지 김인위로 착각하여 묘지명에 잘못 기록한 것이다.
참고로 지우의 4대조인 경덕국사(충찬 弟) 묘지명(1072년)을 참고하면 간단하게 해결된다.

국립중앙도서관 소장 신라삼성연원보
1776년 안김족보 영인본(복사본) 및 신라삼성연원보, 고문서실은 일반인 개방불가(대출 가능)
신라삼성연원보 1642년 자료를 1934년 김경대 재발행
연도 등 진위(진실)성 논란으로 족보장사를 하기위해 만든 것이라는 평이 있긴 하였지만 현재 그 기록은
대부분 인정되고 있으며 사실로 나타나고 있음. 일부 성씨에서 기록를 인정하고 있지 않음.
지금도 삼성연원보를 놓고 진본이니 위보니 말들이 많은데 이부분은 경주 김씨네 문제가 아니라 우리역사에 뜻이있는 모든 학자들이 연구하고 검토해야 할 부분이다. 왜냐하면 이것은 金나라의 역사를 밝힐 수 있을 뿐 아니라 淸나라의 역사와도 관계되는 부분이기 때문에 반드시 고증 할 필요가 있다고 본다.
우리 역사에 뜻이 있는 분이라면 모두 동참하셔서 三姓淵源譜에 대하여 진위를 가리고 고증하고 연구 검토
해야 할 부분이라고 생각한다.
본 블로그 고구려,백제,신라 문무왕 비문의 비밀에 보시면 자세한 내용을 보실수 있습니다.
출처 : http://blog.naver.com/4701n/20017235628
참고로 여기에 나타난 우리 선조들의 휘(이름)는 1989년 이전 우리 족보에는 없는 원황, 경용, 인규,
인규 여 인천 이지언의 기록이 있어 관심있게 보아야 할 부분임.
이기록의 인정여부에 태종무열왕 후손이냐 아니면 가승대로 경순왕 후손이냐의 판가름이 됩니다.
계속 연구를 해보아야 할 부분입니다.
# 삼성연원보의 진실성 검증 여부에 대한 이야기는 본 블로그 신라김씨 분파현황에 등재되어 있음
김경대 간편
가운데 왼쪽 아래쪽에 원황, 경용 기록이 보임
가운데 오른쪽 상단에 경용, 인규, 여 인천 이지언 기록이 보임
1997년판 경주김씨 계보연구회 편 (동일한 내용임)
2002년 발간김령김씨 이전 족보에 없던 무열왕계 지주 이후 계대 발견
신라김씨의 분관 과 상계 미상의 성씨
한글이나 한자의 본관중에 같은 지명이 나오는 수가 많음. 이는 서로의 시조가
틀려서 그렇습니다.
예를 들면 경주김씨에는 대안군은열, 영분공명종, 나주군 경주김씨안로백파등이 있기에 그러하며 선산을 예로들면 선산(일선)은 선궁계(고려초공신)와 한충계가 있습니다. * 한충계는 신라말 경순왕 당시에 대광 유렴의 후손(아들)임.
1. 태종 무열왕계-황주, 고성, 이천, 명주, 경주김씨 군윤공파, 진천, 가평,
안산김씨는 태종무열왕계의 후손이다.
안산김씨는 신라 종성이며 대보공 알지의 32세손 긍필을 시조로 한다.
2. 원성왕계-선산(선궁계는 아님), 원주, 영광(배몰파로 심언계는 아님), 진강, 원성
김씨이다.
이들의 계보는 원성왕⇒ 예영⇒ 영정⇒ 인순⇒ 관홍⇒ 일호⇒ 렴⇒ 유염⇒ 한충
⇒ 천⇒ 봉문⇒ 숙⇒ 지⇒ 미연⇒ 주⇒ 선공⇒한충계 선산김씨
거공⇒원주김씨, 원성, 진강
원공⇒영광김씨 배몰파이다.
3. 신무왕계-강화, 달성, 대구, 경주, 나주, 우봉, 안동, 수원, 의성, 언양, 삼척,
울산, 선산(일선)연성, 해평, 신안동, 당악, 중화, 안동권씨 도강, 연안, 용안,
광산, 광주, 광양, 화순, 청계, 무주, 은진, 무풍, 영동, 영산, 순천, 신의, 철원
궁씨, 광주이씨, 양택김씨이다.
4-1. 경순왕계-태자후예-경주, 청풍, 야성, 광주, 청도, 창원, 안악, 등주, 상원,
영변, 신천, 공주, 강동.
4-2. 경순왕계-나주군 후예-교하, 상음, 안로, 금성(귀성), 해주, 송지, 승주, 오산,
창주, 금천, 경주김씨 안로백파.
4-3. 경순왕계-영분공 명종후예-낙안, 강화, 우봉, 영암, 백천, 임하, 한양, 화순,
상원, 황주, 경주, 옥성, 영천, 수주, 회산, 창원, 충주, 진해, 월성, 남양, 남천,
계림, 추계, 학계
4-4. 대안군 은열후예-경주, 전주, 청평, 하음, 완산, 청송, 익산, 유주, 홍주, 상산,
상주, 옥과, 교주, 김제, 순흥, 김포, 순창, 경산, 풍산, 금천, 홍원, 제주, 연풍,
무풍, 풍천, 풍산, 이천, 풍기
4-5. 의성군 석 후예-의성, 남풍, 고령, 서해, 음죽, 아산, 통천, 적성, 삼화, 운성,
협천, 개령, 금산, 강서, 용강, 개성
4-6. 강릉군 건 후예-강릉, 홍주
4-7. 언양군 선 후예-언양, 담양, 예천, 청주
4-8. 삼척군 추 후예-삼척, 길안, 경산, 남원, 영월, 옹진, 진주, 진위, 춘양이
있으며 연천김씨의 시휘(時輝)는 삼척에서 분파한 것으로 추정된다.
4-9. 학성군 덕지 후예-울산김씨
5. 가락국 김 수로왕 후예-김해, 덕산, 무장, 금릉, 남양, 웅천, 인천이씨, 김해허씨,
양천허씨
6. 소가야 말로왕 후예-고성
7. 고령 가야왕 후예-함창
8. 중국인 귀화후예-태원
9. 중국인 귀화후예-등주
10. 중국인 귀화 김 충 후예-영양김씨, 영양남씨
11. 일본인 귀화-김해(우록)김씨
12. 上系未詳金氏錄-가흥,경성,광리,금교,남해,덕산,만항,문주,부령,성천,안주,
여주,완포,은주,무산,정선,창령,청원,간성,경성,광산,금주,덕인,명산,웅천,부여,
송도,화목,연천,영주,수주,음죽,임피,정읍,평창,감물,경주,광성,금천,결성,덕천,
명천,문천,삭령,송음,양구,연평,영흥,함성,은진,자주,중원,천령,칠원,감천,고부,
귀산,김화,단양,도전,무산,번령,삼가,시흥,양양,영가,예산,은풍,의령,진도,천안,
태안,강양,고산,교강,기계,당성,동래,무주,보은,상산,학성,영성,온양,음성,의창,
장연,진릉,청양,태인,강음,고원,교동,길주,대명,동성,문의,보령,석원,안강,양평,
영엄,은령,임진,진안,청산,토산,견주,고양,군위,감포,대율,동주,개소,보은,성안,
안성,려산,영양,용인,은율,임피,장성,진령,청성,파주,파평,풍천,해미,황금,평구,
풍해,평주,하양,행주,평창,함령,황천,흥덕,평택,함번,화개,흥천,포천,함양,화원,
흥해,풍제,함평,황윤,감천문씨 등등이다.
신라김씨 (경주김씨)
| 貫 姓 | 始 祖 |
職號및系統 |
屬地名 |
|
加平金氏 |
繼恭 |
中宗때兵曹參判 江陵金氏에서 分籍
|
경기가평 |
|
江東金氏
|
潤海 |
肅宗때 兵曹正郞 淸道金氏에서 分籍
|
평안강동 |
|
江陵金氏
|
周元 |
大輔公閼智의二十一世孫
|
강원명주 |
|
江西金氏 |
洋 |
世宗때 大司成 敬順王六子江陵君鍵後
|
평남강서 |
|
康津金氏 |
原卿 |
高麗朝 司?署直長同正 先系未考
|
전남강진 |
|
江華金氏 |
晟 |
江陰伯 敬順王三子鳴鐘七世孫 開城波
|
경기강화 |
|
光 |
燕山때 兵曹參判 鳴鐘十八世孫 肅川派
| ||
|
松鶴 |
訓練主簿 光의 四世孫 義州派
| ||
|
開城金氏 |
龍珠 |
高麗文宗때 開城君 義城金氏에서 分籍
|
경기개성 |
|
結成金氏 |
禮哲 |
金寧金氏 時興의 十一世孫
|
충남홍성 |
| 達孫 |
金寧金氏 時興의 十一世孫 吏曹?判
|
평북위원 | |
|
京山金氏 |
孟 |
高麗朝 大將軍 星州金氏分籍
|
경북성주 |
|
慶山金氏 |
育和 |
高麗朝 慶山君 大安君後 或一善君後云
|
경북경산 |
|
慶州金氏 |
鳴鐘 |
慶州君 敬順王三子
|
경북경주 |
|
殷說 |
大安君 敬順王四子
| ||
|
將有 |
版圖判書 (先系未考 以起世)
| ||
|
仁琯 |
太師 (先系未考 以起世)
| ||
|
順雄 |
將軍 (先系未考 以起世)
| ||
|
道輔 |
萬戶 (先系未考 以起世)
| ||
|
鷄林金氏 |
九思 |
承正 敬順王三子鳴鐘後
|
경북경주 |
|
高靈金氏 |
南得 |
高陽府院君 義城金氏十一世孫 以分籍
|
경북고령 |
|
古阜金氏 |
克 |
參議 新羅宗姓 系未詳
|
전북정읍 |
|
高陽金氏 |
龍翰 |
英祖朝正郞 敬順王後孫
|
경기고양 |
|
公州金氏 |
義孫 |
公州伯 淸道金氏九世孫分籍
|
충남공주 |
|
交河金氏 |
孟貞 |
高麗仁宗때 交河君 羅州金氏七世分籍
|
경기파주 |
|
光山金氏 |
興光 |
神武王第三子
|
광주 |
|
光陽金氏 |
希奭 |
高麗宣宗때 兵部員外郞 先系未考
|
전남광양 |
|
廣州金氏 |
祿光 |
高麗高宗때廣州君 義城金氏七世分籍
|
경기광주 |
|
求禮金氏 |
斗南 |
求禮太守 安東金氏方慶後分籍 |
전남구례 |
|
金寧金氏 |
時興 |
平章事 封金寧君 大安君殷說九世後
|
경남김해 |
|
錦山金氏 |
侁(신) |
遼陽省參政 錦州君 大安君殷說後
|
충남금산 |
|
金堤金氏 |
天瑞 |
平章事 後孫正傑封金堤君爲貫 慶州分籍
|
전북김제 |
|
金川金氏 |
樺(화) |
參奉 敬順王後 扶寧金氏同源云
|
전북남원 |
|
金海金氏 |
濂(렴) |
奉御 金海君 大安君曾孫(後金-法興派)
|
경남김해 |
|
金化金氏 |
景信 |
平章事 封金化君 金海君濂의 次子云
|
강원김화 |
|
金華金氏 |
浪(랑) |
進士 敬順王後 系未詳
|
전남승주 |
|
羅州金氏 |
雲發 |
門下侍中 封羅州君 敬順王次子 ?(황)의子
|
전남나주 |
|
樂安金氏 |
粹澄(수징) |
高麗明宗때 監務 永芬公鳴鐘의十二世孫
|
전남승주 |
|
南原金氏 |
四知 |
敬順王子一善君錘後
|
전북남원 |
|
南平金氏 |
昌協 |
大安君殷說後楊洲金氏分籍
|
전남나주 |
|
藍浦金氏 |
鈿(전) |
敬順王後 系未詳
|
충남보령 |
|
南海金氏 |
泰辰 |
掌隷院直長(장례원직장) 光金 版圖判書允臧後 |
경남남해 |
|
潭陽金氏 |
三俊 |
朝鮮成宗때掌令 彦陽金氏分籍
|
전남담양 |
|
唐岳金氏 |
樂 |
高麗때三韓統合功臣 慶州金氏分籍
|
평남중화 |
|
大邱金氏 |
達 |
朝鮮初 兵曹?議 金方慶玄孫
|
대구 |
|
德山金氏 |
亮 |
進士 系未詳 慶州金氏分籍云
|
충남예산 |
|
道康金氏
|
希祖 |
侍中 道康伯 大安君後(一云康津金氏)
|
전남강진 |
|
東萊金氏 |
興壽 |
中宗때 東萊府使 敬順王後 系未詳
|
부산동래 |
|
茂長金氏 |
自武 |
端宗朝 濟州牧使 閼智後 系未詳
|
전북고창 |
|
茂朱金氏 |
晟 |
高麗朝 大提學 茂朱伯 閼智後 系未詳
|
전북무주 |
|
文化金氏 |
檢達 |
閼智後 系未詳
|
황해신천 |
|
密陽金氏 |
承祖 |
元宗때 封密城君爲貫 閼智後 系未詳
|
경남밀양 |
|
白川金氏 |
善 |
成宗때 全羅左水使 閼智五十三世孫云
|
황해연백 |
|
鳳山金氏 |
明普 |
敬順王二十三世孫 商山金氏同源云
|
황해봉산 |
|
奉化金氏 |
仁昉(인방) |
典客令 閼智後 系未詳
|
경북봉화 |
|
扶寧金氏 |
鎰 |
敬順王太子(一云扶安金氏)
|
전북부안 |
|
扶餘金氏 |
作辛 |
戶長 麻衣太子鎰七世孫 扶寧金氏分籍
|
충남부여 |
|
富平金氏 |
乙軫 |
永芬公鳴鐘十八世孫云
|
인천북구 |
|
泗川金氏 |
阜 |
金方慶의 玄孫인 齊顔의 子 安東分籍
|
경남사천 |
|
三陟金氏 |
渭翁 |
悉直王 敬順王八子一善君錘의元子
|
강원삼척 |
|
商山金氏 |
需(수) |
南尹 封商山君 閼智後 系未詳
|
경북상주 |
|
祥原金氏 |
洛 |
祥原君 大安君殷說二十五世孫
|
평남중화 |
|
瑞山金氏 |
得培 |
恭愍王때政堂文學 商山金氏分籍
|
충남서산 |
|
瑞興金氏 |
寶 |
中郞將 大安君殷說의五世孫
|
황해서흥 |
|
善山金氏 |
宣弓 |
三重大匡 文聖王後(一云一善金氏)
|
경북선산 |
| 錘(추) |
一善君敬順王八子(一云錘系) | ||
|
雪城金氏 |
畯(준) |
平章事 敬順王五子 義城君錫의十代孫
|
경기이천 |
|
星州金氏 |
孟 |
僖康王後系 또는 大安君殷說後云
|
경북성주 |
|
遂安金氏 |
?(선) |
上將軍遂安君 上洛君方慶의長子
|
황해수안 |
|
水原金氏 |
稟言(품언) |
平章事大安君殷說의孫
|
경기수원 |
|
?(변) |
上洛君方慶의子
| ||
|
隨州金氏 |
漢樸(한박) |
禮部尙書 大安君殷說의十一世孫
|
평북정주 |
|
樹州金氏 |
鼎實 |
高麗朝少監 敬順王二十世孫云
|
인천북구 |
|
淳昌金氏 |
之珍 |
大安君殷說의十五世孫云
|
전북순창 |
|
順天金氏 |
摠(총) |
引駕別監(인가별감) 封平陽君 新羅宗姓
|
전남순천 |
|
順興金氏 |
咸逸 |
朝鮮朝正郞 大安君殷說의 十六世孫云
|
경북영주 |
|
昇平金氏 |
允仁 |
典客令 順天金氏分籍 |
전남순천 |
|
信川金氏 |
得秋 |
朝鮮開國功臣 鷄林君?(균) 의 七世孫
|
황해신천 |
|
新平金氏 |
萬挺(만정) |
摠의 二十九世孫云 順天金氏分籍
|
충남홍성 |
|
安老金氏 |
之敬 |
敬順王後 系未詳 혹 羅州金氏分籍
|
전남나주 |
|
安東金氏 |
叔承 |
侍郞 大安君次子 後孫方慶爲中祖(舊)
|
경북안동 |
| 宣平 |
高昌城主 三韓功臣太師 新羅宗姓(新)
| ||
|
安山金氏 |
兢弼(긍필) |
顯宗朝左僕射 封 安山君 新羅宗姓 大輔公閼智의 三十二世孫 |
경기시흥 |
|
安城金氏 |
墩(돈) |
高宗朝左僕射 眞平王때大阿干再英後 |
경기안성 |
|
安岳金氏 |
瑩(영) |
端宗朝直長 鷄林君?의五世孫 |
황해안악 |
|
野城金氏 |
就?(취린) |
侍中 野城君 敬順王後(一云 盈德金氏) |
경북영덕 |
|
楊根金氏 |
仁贊 |
節制使 益和君 大安君後 改益和金氏
|
경기양평 |
|
梁山金氏 |
衍(연) |
高麗通事舍人 新羅宗姓
|
경기양산 |
|
楊州金氏 |
元寶 |
高麗때 禮部尙書 大安君의 九世孫
|
경기양주 |
|
楊平金氏 |
義杆(의간) |
司正 新羅宗姓 系未詳
|
경기양평 |
|
彦陽金氏 |
鐥(선) |
封彦陽君 敬順王七子
|
울산울주 |
|
燕州金氏 |
俊孫 |
知中樞府事 大安君後(一云燕城金氏)
|
충남연기 |
|
延安金氏 |
暹漢(섬한) |
明宗때 國子監四門博士 新羅宗姓
|
황해연백 |
|
延日金氏 |
?興(서흥) |
禮賓丞同正大安君九世孫(一云鳥川金氏)
|
경북영일 |
|
延豊金氏 |
以道 |
仁祖때 副司禦 商山金氏分籍
|
경북괴산 |
|
靈光金氏 |
審言(심언) |
顯宗때 平章事 大安君殷說의孫
|
전남영광 |
|
靈山金氏 |
淳 |
世祖때 大司憲 義城金氏分籍
|
경남창녕 |
|
永山金氏 |
令貽(영이) |
檢校典客令 封永山君 神武王子益光後
|
충북영동 |
|
靈巖金氏 |
淑(숙) |
明宗때 湖南按察使 敬順王後 系未詳
|
전남영암 |
|
寧越金氏 |
麗生(여생) |
典獄署奉事 敬順王子一善君錘八世孫
|
강원영월 |
|
永川金氏 |
天佾(천일) |
永芬公鳴鐘의十七世孫
|
경북영천 |
|
之?(지칙) |
敬順王十二世孫云 系未詳
| ||
| 永長 |
檢校漢城府尹 系未詳
| ||
|
榮州金氏 |
挺磁(정석) |
太子少保 敬順王後 系未詳
|
경북영주 |
|
寧海金氏 |
億敏 |
世宗때 寧海府使 上洛君方慶後
|
경북영덕 |
|
禮安金氏 |
尙(상) |
高麗때 戶長 新羅宗姓(一云宣城金氏)
|
경북안동 |
|
醴川金氏 |
先致 |
典理判書 商山金氏十一世孫 分籍
|
未祥 |
|
醴泉金氏 |
存沙(존사) |
敬順王七子 彦陽君鐥後
|
경북예천 |
|
玉川金氏 |
?(곤) |
禮安金氏十七世得先의三子 分籍
|
전북순창 |
|
沃川金氏 |
希喆 |
宣祖때 別提 慶州金氏 將有의 十世孫
|
충북옥천 |
|
完山金氏 |
晸(정) |
生員 大安君殷說의七世孫
|
전북전주 |
|
龍宮金氏 |
存中(존중) |
毅宗(의종)때 太子少傳 大安君殷說의八世孫
|
경북상주 |
|
龍潭金氏 |
德生 |
兵曹參議 大安君後 水原金氏分籍云
|
전북진안 |
|
龍城金氏 |
時輔(시보) |
豊基郡守 大安君後 水原金氏分籍
|
경기화성 |
|
龍安金氏 |
德齡(덕령) |
義兵將 光山金氏分籍
|
전북익산 |
|
牛峰金氏 |
澳(오)
|
侍御史 永芬公鳴鐘의長子
|
황해금천 |
|
蔚山金氏 |
德摯(덕지)
|
敬順王子 世失傳 朝鮮開國功臣穩 爲中祖
|
울산 |
|
熊川金氏 |
就行(취행) |
佐郞 新羅宗姓 系未詳
|
경남창원 |
|
原州金氏 |
巨公 |
毅宗(의종)때 樞密院使 敬順王後
|
강원원주 |
|
月城金氏 |
光佑 |
世宗때 德川郡守 大安君後 分籍
|
경북경주 |
|
殷栗金氏 |
尙銅(상동) |
朝鮮 明宗때 司正 新羅宗姓
|
황해은율 |
|
恩津金氏 |
田漑(전개) |
朝鮮 明宗때 判官 光金御使公良粹後
|
충남은진 |
|
宜寧金氏 |
天極(천극) |
左尹 新羅宗姓 系未詳
|
경남의령 |
|
義城金氏 |
錫(석) |
義城君 敬順王五子
|
경북의성 |
|
義州金氏 |
成甲 |
系未詳 義興金氏分籍 |
평북의주 |
|
義興金氏 |
成甲 |
龜城君 大安君殷說十五世孫 |
경북군위 |
|
利川金氏 |
楊震(양진) |
中宗때同知樞 大安君後 豊山金氏分籍
|
경기이천 |
|
伊川金氏 |
順傑 |
武烈王十一世孫金道康 後云
|
강원이천 |
|
益山金氏 |
三樂 |
將仕郞 大安君後
|
전북익산 |
|
仁同金氏 |
淀(정) |
仁同府使 水原金氏二十二世孫 分籍
|
경북칠곡 |
|
臨津金氏 |
仁祖 |
神虎衛上將軍 新羅宗姓 系未詳
|
경기장단 |
|
臨陂金氏 |
漢樞(한추) |
平章事 大安君殷說의十一世孫
|
전북옥구 |
|
長淵金氏 |
鼎新(정신) |
文宗때 侍中 敬順王後 系未詳
|
황해장연 |
|
積城金氏 |
尙煥 |
高麗顯宗때 文科 義城金氏後孫分籍
|
경기연천 |
|
全州金氏 |
台瑞 |
高宗때 平章事 完山君 大安君七世孫
|
전붇전주 |
|
定山金氏 |
福壽 |
縣監 大安君十六世孫
|
충남청양 |
|
井邑金氏 |
守溫 |
司直 新羅宗姓 永山金氏同源云
|
전북정읍 |
|
濟州金氏 |
濂(렴) |
韓山郡守 商山金氏祖 需(수)의十八世孫
|
제주 |
|
中和金氏 |
哲 |
文聖王後 唐岳金氏조 樂의 弟云
|
평남중화 |
|
珍島金氏 |
自敬 |
新羅宗姓 系未詳 一則 始祖 國?云(국빈운)
|
전남진도 |
|
珍山金氏 |
天錫 |
監司 新羅宗姓 系未詳
|
충남금산 |
|
振威金氏 |
昇景 |
大護軍 一則始祖起門 新羅宗姓 系未詳
|
경기평택 |
|
鎭岑金氏 |
克福 |
世宗때 都承旨 敬順王後 系未詳
|
충남대덕 |
|
晋州金氏 |
錘(추) |
敬順王八子 封普城君爲貫云
|
경남진주 |
|
鎭川金氏 |
斯革(사혁) |
知門下府事 江陵金氏 周元後 分籍
|
충북진천 |
|
鎭海金氏 |
以珍(이진) |
大司憲 新羅宗姓 系未詳
|
경남진해 |
|
昌寧金氏 |
廷哲 |
新羅宗姓 系未詳 一則 侍郞佺云(시랑전운)
|
경남창녕 |
|
昌原金氏 |
乙軫(을진) |
恭愍王때 太子詹事(태자첨사) 永芬公鳴鐘後
|
경남창원 |
|
昌平金氏 |
錫奎 |
主簿 新羅宗姓 系未詳 一則司空兌 云
|
전남담양 |
|
天安金氏 |
德麟(덕린) |
英祖때 直講
|
충남천안 |
|
鐵原金氏 |
應河 |
光海君때 武將 上洛君方慶後安東分籍
|
강원철원 |
|
淸道金氏 |
之岱(지대) |
平章事 大安君殷說의 八世孫
|
경북청도 |
|
靑山金氏 |
致濟(치제) |
睿宗때 宣敎郞 敬順王後 系未詳
|
충북옥천 |
|
靑松金氏 |
正己 |
漢城判尹 大安君後台瑞의 六世孫
|
경북청송 |
|
靑陽金氏 |
?(침) |
監務 系未詳 又一派 振玩系 新羅宗姓
|
충남청양 |
|
淸州金氏 |
錠(정) |
敬順王六子云 十世孫甫 爲中祖
|
충북청주 |
|
淸風金氏 |
大猷(대유) |
麗末 때 門下侍中 大安君殷說後
|
충북제천 |
|
草溪金氏 |
須(수) |
靈光副使 光山金氏分籍
|
경남합천 |
|
春陽金氏 |
怡(이) |
高麗後期中贊 敬順王子 一善君錘後
|
경북봉하 |
|
忠州金氏 |
南吉 |
恭愍王때 太子大傳 永芬公鳴鐘後
|
충북충부 |
|
漆原金氏 |
永哲 |
刑曹參判 新羅宗姓 系未詳
|
경남함안 |
|
兎山金氏 |
富允 |
都僉議贊成事 新羅宗姓 系未詳
|
황해金川 |
|
通川金氏 |
較(교) |
金壤 (通川)伯 麻衣太子鎰의 長子云 |
강원통천 |
|
坡州金氏 |
永兢(영긍) |
吏曹?議 新羅宗姓 坡平金氏同源云
|
경기파주 |
|
坡平金氏 |
長壽 |
恭愍王때 上將軍 新羅宗姓 系未詳
|
경기파주 |
|
平山金氏 |
承茂(승무) |
高宗때 侍御史 永芬公鳴鐘十四世孫
|
황해평산 |
|
平壤金氏 |
運 |
司空 大安君三子 濂의 孫子
|
평양 |
|
平昌金氏 |
鳴應(명응) |
大安君殷說後 系未詳
|
강원평창 |
|
平澤金氏 |
完考 |
大司諫(대사간) 新羅宗姓 系未詳 |
경기평택 |
|
平海金氏 |
淑興 |
工部尙書 大安君殷說의 九世孫 |
경북울진 |
|
豊基金氏 |
崇元 |
漢城府右尹 大安君後 豊山金氏分籍 |
경북영주 |
|
豊德金氏 |
子?(자앙) |
寶文閣大提學 敬順王後 系未詳 |
경기개풍 |
|
豊山金氏 |
文迪(문적) |
判事 大安君殷說의 十一世孫 |
경북안동 |
|
豊川金氏 |
英柱 |
興海守 新羅宗姓 永柔金氏同源 分籍 |
황해송화 |
|
河陰金氏 |
孝逸 |
大安君後 台瑞의曾孫 |
경기강화 |
|
漢南金氏 |
祿延(녹연) |
右諫議大夫 水原金氏 稟言의孫 |
경기수원 |
|
咸安金氏 |
太白 |
新羅宗姓 麻衣太子後 或光金分籍云 |
경남함안 |
|
咸陽金氏 |
俊德 |
高麗朝太師 敬順王後 系未詳 |
경남함양 |
|
咸平金氏 |
九鼎 |
商山金氏祖 需의 二十二世孫分籍云 |
전남함평 |
|
咸興金氏 |
濂 |
朝鮮初 府尹 新羅宗姓 系未詳 |
함남함흥 |
|
陜川金氏 |
玄德 |
大司諫 新羅宗姓 系未詳 |
경남합천 |
|
南海金氏 |
忍 |
副摠管 永芬公鳴鐘十九世孫云 |
전남남해 |
|
海州金氏 |
士濂 |
麗末鮮初의 隱士 新羅宗姓 系未詳 |
황해해주 |
|
海平金氏 |
萱述(훤술) |
三重大匡 系失傳 後孫兌 爲起世祖 |
경북선산 |
|
玄風金氏 |
修 |
永芬公鳴鐘後 天瑞玄孫 |
경북달성 |
|
和順金氏 |
益九 |
肅宗때 結城縣監 永芬公鳴鐘後 |
전남화순 |
|
洪州金氏 |
仁義 |
宜寧郡守 敬順王子 江陵君鍵後 |
충남홍성 |
| 珣(순) |
大安君殷說後 | ||
|
興德金氏 |
以漸(이점) |
大護軍 新羅宗姓 系未詳 |
전북고창 |
|
興海金氏 |
乙輅 |
大司馬(兵判)敬順王後 系未詳 |
경북영일 |
|
熙川金氏 |
佑 |
麗初門下侍中 敬順王子錘의子云 |
평북희천 |
| 附 同源 異姓 | |||
|
安東權氏 |
幸 |
幸은 本是 新羅宗姓金氏로 古昌郡事로 있을 때 金宣平 張貞弼 등과 | |
|
甘泉文氏 |
原吉 |
始祖 新羅宗姓인 金世光이며 後孫인 金高?(김고벽)이 中國에 들어가서 文章으로 이름을 날려 文氏로 賜姓되고 그의 아들 文原吉이 歸國하여 | |
|
隋城崔氏 |
永奎 |
本是 敬順王後孫으로 隋城의 州牧이되어 孝悌로써 州民을 敎化하니 | |
|
光州李氏 |
珣伯(순백) |
本是 憲安王子 弓裔의 後이니 高麗太祖가 弓裔를 滅하고 그 子를 光州에 定屬하고 鄕役을 傳授하였는데 珣伯(순백)에 이르러 李氏로 改姓하였고 벼슬이 左僕射에 이르니 子孫들이 이를 貫籍으로 삼았다함 | |
|
江陵王氏 |
順式 |
順式은 本是 新羅宗姓으로 溟洲將軍인데 高麗에 投降하니 太祖가 | |
|
乂(예) |
乂는 周元의 七世孫으로 王氏로 賜姓되었으나 十四世孫 王坦之(왕탄지)에 이르러 江陵金氏로 復姓되었다함. | ||
|
附 同姓異源(駕洛系金氏 및 歸化金氏 參考收錄) | |||
|
金海金氏 |
首露 |
駕洛國太祖 |
경남김해 |
|
固城金氏 |
末露 |
小伽倻國 始祖 金末露王 |
경남고성 |
|
金陵金氏 |
仲龜 |
太子太師 封金陵君 金首露王 |
경북김천 |
|
晋州金氏 |
三光 |
駕洛系 金庾信의 次子임(新羅系別途) |
경남진주 |
|
咸昌金氏 |
宗悌 |
古寧伽倻國王의 後 系失傳 中祖起世 |
경북상주 |
|
金海金氏 |
忠善 |
日本人 本名沙也可 歸化賜姓(一云友鹿:일운우록) |
경남김해 |
|
英陽金氏 |
忠 |
唐의 荊州刺使(형주자사)景德王때 歸化賜姓 |
경북영양 |
|
太原金氏 |
學曾 |
明 神宗때 福建省都御史 太原伯 歸化 |
중국태원 |
|
附 系未詳 金氏 | |||
|
甘泉金氏 |
萬秋 |
新羅宗姓이라하나 系統과 時代未詳 |
경북예천 |
|
高山金氏 |
紈(환) |
中宗때 典籍 系未詳 黃潤金氏同源云 |
전북전주 |
|
槐山金氏 |
知孝 |
太宗때 左司經 新羅宗姓云 系未詳 |
충북괴산 |
|
南陽金氏 |
南貴 |
高麗朝顯宗때 縣令云 系未詳 |
충남서천 |
|
陵州金氏 |
繼元 |
系未詳 又有二派 鳴殷爲祖 始昌爲祖 |
전남화순 |
|
達成金氏 |
淡(담) |
進士 新羅宗姓云 系未詳 |
경북달성 |
|
登州金氏 |
軾 |
判官 系未詳 又有 明學士金長生爲祖 |
함남안변 |
|
務州金氏 |
淀救(정구) |
牧使 系未詳 |
전남무안 |
|
保寧金氏 |
億積(억적) |
兵曹正郞 系未詳 |
충남보령 |
|
盆城金氏 |
俊榮 |
盆城君 壬辰亂때 扈聖功臣(호성공신)三等 系未詳 |
경남김해 |
|
成川金氏 |
漢貂(한초) |
高麗國子監注簿 新羅宗姓云 系未詳 |
평남성천 |
|
梁山金氏 |
衍(연) |
高麗通事舍人 新羅宗姓云 系未詳 |
경남양산 |
|
驪州金氏 |
純良 |
縣監 新羅宗姓云 系未詳 |
경기여주 |
|
永州金氏 |
文祚 |
正郞 新羅宗姓云 系未詳 |
경북영천 |
|
長城金氏 |
克信 |
判校 系未詳 |
전남장성 |
|
韓山金氏 |
失傳 |
系未詳 |
충남서천 |
|
海豊金氏 |
崇善 |
尙書 系未詳 德水金氏 貞州金氏 同根云 |
경기개풍 |
|
花開金氏 |
仁璜 |
兵部尙書 系未詳 |
경남보양 |
|
黃州金氏 |
正純 |
仁宗때 平章事 系未詳 |
황해황주 |
김춘추(金春秋)무열왕(武烈王)계보(係譜)
시조(始祖) 김알지(金閼智) 대보공(大輔公)시조대왕(始祖大王)
↓
춘추(태종무열왕) 신라제29대 (재위654~661)
春秋(太宗武烈王)
↓--------------↓----------------------↓---------------↓-----------↓----★(下)
법민(문무왕) 인문(대장군,태대각간) 문왕(장군,이찬) 개원(상대등) 지경(이찬)
法敏(文武王) 仁問(大將軍,太大角干) 文汪(將軍,伊찬) 愷元(上大等) 智鏡(伊찬)
↓ ↓
정명(신문왕) 대충(시중)
政明(神文王) 大忠(侍중)
↓-----------↓------------↓ ↓
이홍(효소왕) 흥광(성덕왕) 사종(각간) 사인(상대등)
理洪(孝昭王) 興光(聖德王) 嗣宗(角干) 思仁(上大等)
↓-----------↓-----------↓----↓ ↓
승경(효성왕) 헌영(경덕왕) 중경 수충 유정(이찬,상대등)
承慶(孝成王) 憲英(景德王) 重慶 守忠 惟精(伊찬,上大等)
↓---------------------↓
주원(명주군왕) 내흥(각간)
| 周元(冥州君王) 奈興(角干) |
| ↓--------------------------↓----------☜-----↓ ↓ |
| 종기(명주군왕) ♣강릉김씨 헌창(시중) 신(시중) 경징(대아간) |
| 宗基(溟州君王) 憲昌(侍中) 身(侍中) 慶徵(大阿干) |
| ↓----------- ↓ ↓---------↓ ↓ ↓ |
| 정여(상대등) 장여 범문 분 자사(대내마) 영(상공) |
| 貞茹(上大等) 璋茹 梵文 汾 紫絲 榮 |
| ↓ ♣신성김씨 ↓ ↓ |
| 양(대각간) 동정(대내마) 종유(아간) |
| 陽(大角干) 東靖 宗儒 |
| ↓ ↓--------↓-----------------↓----☜ ↓ |
| 흔(대장군) 영진 영길 영견 궁일(군윤) |
| 昕(大將軍) 英珍 英吉 英堅 宮一 |
| ↓ ↓--------↓ ↓ ↓-----------↓ |
| 식희 선강 선희 견웅 은의(군윤) 강의(좌복야) |
| 式希 善康 善希 堅雄 殷義 康義 |
| ↓ ↓ ♣이천김씨 ↓ ↓ ↓ |
| 춘용 순식 징우 (여출)이한 경영(아진찬) |
| 春用 順式 徵佑 (女出)李翰 慶英 |
| ↓ ♣강릉왕씨 ↓ ♣전주이씨시조 ↓ |
| 기예 양 욱성(한림) |
| 奇禮 陽 頊成 |
| ↓ ↓ ↓ |
| 소 상기 승흥(아찬) |
| 召 上奇 承興 |
| ↓ ↓ ↓ |
| 방감 인존 헌 (사도) |
| 方鑑 仁存 獻 |
| ↓ ↓ ↓ |
| 수문 영석 지주 (각간) |
| 守文 永錫 支柱 |
| ↓-----------☜ ↓ ↓ |
| 광순 정순(문하성사) 윤 긍필(안산개국후) |
| 光純 正純 閏 兢弼 |
| ♣황주김씨 ↓ ↓ |
| 혁승 은부(안평공) |
| 革升 殷傅 |
| ↓ ♣안산김씨 |
| 계소 |
| 繼紹 |
| ↓--------------------------------------↓ |
| 광갑 광병 |
| 光甲 光丙 |
| ↓ ↓ |
| 사혁 ♣진천김씨 덕손 |
| 斯革 德孫 |
| ↓------------↓ ↓ |
| 승로 천익 경렴 |
| 承露 天益 慶廉 |
| ↓ ↓ ↓ |
| 백훈 덕종 득인 |
| 佰壎 德宗 得仁 |
| ↓ 강릉김씨 ↓ |
| 맹아 태선 |
| 孟雅 泰先 |
| ↓ ↓ |
| 봉 계공(병판) |
| 鳳 계恭(兵判) |
| ♣입북진천김씨 ♣가평김씨 |
| 김춘추(金春秋)태종무열왕 |
| ↓--------------------------↓----------↓----------↓----------↓ |
| 법민, 인문, 문왕,개원,지경,★인태(해찬), 개화(파간) 문급(문급) 차득(아간) |
| 仁泰(海찬) 皆和(波干) 文給(文級) 車得(阿干) |
新羅 제45대神武王과 江陵金氏
신라의 김문왕(金文汪, 631∼665년) 김인문(金仁問, 629∼694년)
金周元은 太宗武烈王의 둘째 아들인 김인문(金仁問)의 直系 後孫이었는데,
웅천주는 김인문이 받은 식읍(食邑)이 이곳에 있는등 김헌창이 그 세력의 토대로 삼을 수 있는 기반이 있던 곳이다.
이 난은 元聖系에 의해 鎭壓 되었지만, 그 세력이 완전히 해체되었던 것은 아니어서 2년여 후에 다시김헌창의 아들인 김범문(金梵文)이 난을 일으켰다
武烈王의 둘째 아들 金仁門의 후손 無染 (801∼888)으로 무열왕의 8대손. 어려서부터 글을 익혀 9살때에는 해동신동이라고 하였다.
文聖王 7년(847) 무염이 귀국하자 王子 김흔(金昕)이 聖住寺에 머무르기를 간청하였다.
塔碑는 현재 국보 8호로 지정되어 충남 보령시 미산면 성주리에 있다. 현재는 절이 폐사되었으며, 비석과 탑 3기만이 남아 있다. 卍
太宗武烈王 10世孫 慶州金殷義 軍尹(新羅文聖王과 - 金奈興系)
童謠에 `오얏나무 밑에서 반드시 왕기가 나타 나리라.' 하더니, 李翰은 마침 裵哥
에게 모함을 받아 바다를 건너 우리 나라로 오니, 新羅 文聖王(神武王太子)이 불러 司空 벼슬에
임명하였고 太宗의 10세손 김은의(金殷義)가 사위를 삼았다
* 慶州金氏金奈興은 江陵金周元의 親弟가 아니다
(마) 婦人은 두 아들을 낳았는데,
첫째는 곧,金周元이고 둘째는 곧, 金敬信(元聖王785~798)이다"
慶州金氏金奈興 ~慶徵- 榮- 宗儒- 宮一 - 殷義女李翰 官司空本完山人
崇一 - 康義-景暎-頊成-承興-獻-支柱(新羅時代).
전주이씨 시조(始祖) 이한(李 翰)은 신라(新羅)때 사공(司空)을 지냈고,
태종무열왕(太宗武烈王)의 10세손 군윤(軍尹) 김은의(金殷義)의 딸을 아내로
맞이했다.
江陵金周元이 太宗武烈王의 後孫이나 不確實한 系譜.
金周元은 太宗武烈王의 第2子 金仁門의 後孫 (太宗武烈王1子 文武王)
金周元은 太宗武烈王의 第3子 文王에서 傍系 (太宗武烈王2子 金仁問)
金周元은 太宗武烈王의 第3子 文王의 5世孫 (太宗武烈王3子 金文汪~金周元系)
金周元은 太宗武烈王의 5世孫 ,
金周元은 太宗武烈王의 6世孫說 (太宗武烈王의 6世孫 金周元)
奈勿王의 12世孫 金敬信
金敬信(元聖王)-金仁謙-昭聖王
憲德王(昭聖王의 親弟)無后 -
金孝讓-元聖王-金禮英 - 憲貞-僖康王(金悌隆)- 啓明-景文王-憲康王-定康王-眞聖王
均貞-神武王-憲安王(金祐靖)
惠忠太子(金仁謙)-忠恭(金均貞4寸)-閔哀王(金明)=元聖王의 曾孫
江陵金周元-金宗基-金貞茹 - 金陽의 曾孫金祐 毅宗代 侍郞
金璋如 - 金昕
金憲昌-金梵文
金身 -金紫絲-金東靖-金英珍-金順式
金英吉-金姜希 -金乂-金律
金英堅
* 溟州金氏始祖 金上琦
始祖 文貞公 金上琦는 강릉김씨시조 주원의 9세손이다. 고려조예종 때 平章事를
지냈다
1031(현종 22)∼? 고려의 문신. 신라의 왕족이었던 각간 주원(周元)의 후손이며,
아들은 金仁存 (고려인종때 平章事)의 아들 金永胤 고려의종때 平章事?∼1169
(의종 23). 고려의 문신. 본관은 명주(溟州). 신라의 종실인 각간 周元의
후손으로 아버지는 시중 仁存이며, 형제인 영석(永錫)·영관(永寬)과 함께 문과에
급제하였다.
『삼국사기(三國史記)』에 김주원은 삼국통일의 대업을 이룩한 太宗武烈王
김춘추(金春秋)의 6세손으로,
서기 777(신라 혜공왕 13)년 이찬(伊餐)으로 시중(侍中)이 되었다.
785년 宣德女王이 후사없이 재위 6년만에 승하하자, 군신들은 회의 끝에
족자(族子)인 金周元을 왕으로 추대하였다
溟洲郡王金周元과 元聖王金敬信
"명주군왕 전설은 여러 문헌에 실려 있으나
그것을 처음 문자로 정착 시킨 것으로 알려진 것은 李居仁의 古記 < 星州
李居仁 (세종13년(1431) 검암에서 태어나서 병마절도사.당상관. 燕山君때
벼슬을 버리고 고향에 내려와 두문불출 했으며, 갑자사화에 희생된 朴漢柱의
장례를 치루어 주었다> 이다.
그리고 이거인의 古記는 현재 그 원본이 전해 지지는 않으나
허균의 ?별연사 고적기?를 통해 어느 정도 그 원형을 짐작할수 있다.
여기에는 별연사라는 절이 생긴 내력, 연화 부인과 무월랑이 맺어진 사연,
잉어가 편지를 전하는 이적(異蹟),
金周元에 얽힌 이야기 등이 두루 망라되어 있다.
그리고 그 이야기들은 서로 긴밀하게 얽혀서 한 편의 큰 이야기를 이루고 있
다(중략)
828년(흥덕왕 3) 봄 정월에 大阿飡으로 侍中에 임명되었다.
831년 면직된 뒤 834년 다시 시중이 되었으나,
이듬해 아버지가 상대등에 임명되자 사임했다.
836년 흥덕왕이 죽은뒤, 아버지인 金均貞과 金悌隆(뒤에 僖康王) 사이에 왕위쟁탈전이 벌어졌을때
제륭을 추대한 김명(金明:뒤에 민애왕)·이홍(利弘) 등과 싸웠으나 아버지(金均貞)가 戰死하는 등 대패하자
838년(민애왕 1) 김양(金陽)과 함께 청해진(淸海鎭)으로 도망해 있던 김우징(金祐徵)뒤의 신무왕)이 장보고(張保皐)의 힘을 빌려 민애왕에게 대항하는 군사를 일으킬때
江陵金周元의 曾孫子 김양(金陽, 808∼857년)은 민애왕을 제거하고 김우징(金祐徵)을 신무왕으로 추대하고 蘇判 兼 倉部令 ,角干侍中 兼 兵部令, 公檢校尉卿, 舒發翰 追贈을 지냈다
이때 서울은 慶州였다.
江陵金周元의 長子 金宗基(侍中)의 아들 정여(貞茹)-손자 김양(金陽)이
헌덕왕3년(826)에 고성태수 832 무주(공주)도독으로 전임하고 흥덕왕11년(836)에 왕이 후사없이 승하 하니 흥덕왕의 종제 균정(均貞)과 당질 제융(悌隆)이 서로 왕이 되고자하니
김양(金陽)은 균정을 옹립하다 실패하자 당숙 김자사(金紫絲)와 같이 산중(山中)에 은거중 민혜왕이 희강왕을 시해하고 즉위함으로 장보고와 모의하고 공이 동평장군이 되어 민혜왕의 관군을 격파. 균정의 자 우징을 신무왕으로 옹립하였으나
즉위 3개월만에 병사하여 그의 장자 경응이 문성왕으로 즉위하여
문성왕9년(847)에 김양에 록하여 시중겸 병부령을 제수받고
나이 50에 후사없이 돌아가 경주 태종무열왕능 아래에 葬事 하였다.
江陵金周元의 3子 金身의 아들 김자사(金紫絲)
헌덕왕11년(836)병부노(兵部弩)로 있을때 김양(金陽)과 함께 균정(均貞)을 왕을 세우려다 김명(金明)에 패하여 김양과 같이 피신하였다
이때 김명이 제융(悌隆)을 희강왕으로 옹립하고 자신이 상대등에 오르더니 왕3년에 희강왕을 궁중에서 죽이고 44대 민애왕(閔哀王)으로 즉위하니
金陽이 군사를 모집하여 청해진 장보고의 도움을 받아 동평장군이 되고
金紫絲도 중동대감(中憧大監)이 되어 大邱에서 관군을 토평하고 김우징(佑徵)을 신무왕(神武王)으로 즉위 시키는데
중추적 역할을 하고 숭선태수 병부태사 무진주 태수와 대내마(大柰麻)를 역임하였다
희강왕이 자살하고 민애왕이 즉위하자
김우징은 838년 장보고의 도움으로 군사 5,000여 명을 이끌고 진격하여 민애왕의 군사를 물리치고 839년 즉위했다 즉위후
할아버지를 혜강대왕(惠康大王),
아버지를 성덕대왕(成德大王), 어머니를 헌목태후(憲穆太后)로 각각 추봉했다.
또한 자신의 즉위에 공을 세운 장보고를 감의군사(感義軍使)에 임명했다.
그러나 즉위한지 3개월 만에 죽었다.
김양(金陽), 염장(閻長), 장변(張弁), 정년(鄭年), 낙금(駱金), 장건영(張建榮), 이순행(李順行)
등이 김우징(金祐徵)을 받들고 있었다
金陽은 김균정의 아들인 아찬 우징과 균정의 매부인 禮徵과 함께 균정을 왕으로 세워 적판궁에 들어가 사병으로 숙위케 하였다.
그 때 제륭의 도당인 김 명, 이 홍 등이 적판궁을 포위하였다. 김양은 군사들을 궁문에 배치하여 그들을 막으면서 말했다.
"새 임금이 여기 계시는데 너희들이 어찌 이토록 흉악하게 거역할수 있느냐?"
그는 드디어 활을 당겨 10여 명을 쏘아 죽였는데, 제륭의 부하 배 훤백이 양을 쏘아 다리를 적중 시켰다.
균정이 말했다. "저 쪽은 군사가 많고 우리는 군사가 적으므로 그 세력을 막을 수 없다.
공은 물러나는 체하여 후일을 도모하라!" 이에 김양이 포위를 뚫고 나와서 한기(韓岐)[한기(漢祈)라고도 한다.]시에 이르렀고, 김균정은 반란군에게 살해되었다.
金陽은 하늘을 향하여 통곡하면서 해를 두고 결심을 다진 다음, 아무도 모르게 산야에 숨어서 때가 오기를 기다렸다.
開城 2년 8월이 되자 前 侍中 金祐徵이 남은 軍事를 收拾하여 청해진으로 가서
대사 궁복(장 보고)과 손을 잡고 불구대천의 원수를 갚고자 하였다.
김양은 이 말을 듣고 참모와 병졸들을 모집하여 3년 2월에 해중으로 들어가 우징을 만나
그와 함께 거사할 것을 모의하였다.
3월에 정예군 5천명을 거느리고 무주를 습격하여 성 밑에 다다르니 고을 사람들이
모두 항복 하였다.
그들은 계속 진군하여 남원에 이르러 신라군과 싸워 승리했다.
김우징은 군사들이 오랫 동안 싸워서 피로 해졌다 하여 다시 청해진으로 돌아가서
병마를 휴양 시켰다.
겨울에 혜성이 서쪽에 나타 났는데 광채나는 꼬리가 동쪽을 가리키니 여러 사람들이 서로 축하하며 말했다. "이는 낡은 것을 없애고 새 것을 펴며, 원수를 갚고 치욕을 씻을 좋은 징조이다.
" 김양을 평동장군이라 하였다. 12월에 재차 출동하자 김양순이 무주 군사를 거느리고 왔으며,
김우징이 또한 용사들인 염 장, 장 변, 정 년, 낙 금, 장 건영, 이 순행 등 여섯 장수를 보
내 군사를 거느리고 오자 군사의 위풍이 막강하였다. 북을 치며 행군하여 무주 철야현 북쪽 에 도착하니,
신라 대감 金敏周가 군사를 출동시켜 대항하였다. 장군 낙 금과 이 순행이 기병 3천명을 거느리고 상대 군중으로 뛰어들어 그들을 모두 살상하였다.
4년 정월 19일, 김양의 군사가 대구에 도착하자 왕이 군사를 보내 항거하였다. 김양의 군사가 이들을 역습하니 왕의 군사가 패배하여,
김양에게 생포 되거나 죽고 노획 당한 것이 헤아릴수 없이 많았다.
이 때 왕은 정신을 차리지 못하고 이궁으로 도망쳐 갔으나 군사들이 곧 찾아서 살해하였다.
김양이 이에 좌우 장군에게 명하여 기사를 인솔하게 하고 널리 알렸다.
"이 싸움은 본래 원수를 갚기 위한 것이었다. 이제 그 괴수가 죽었으니 의관, 사녀, 백성 모두는 각자 안심하고 살 것이며 망동하지 말라!"
그가 드디어 서울(경주)을 수습 정돈하니, 백성들이 마음을 놓고 살게 되었다.
김양이 훤백을 불러 말했다.
"개는 저마다 제 주인이 아니면 짖는 법이다. 네가 네 주인을 위하여 나를 쏘았으니 의사로다.
내가 탓하지 않을 것이니 너는 안심하고 두려워 하지 말라!"
여러 사람들이 이 말을 듣고 말했다. "훤백에게도 저렇게 하니 다른 사람이야 무엇을 근심하랴?"
그들은 감복하며 기뻐하지 않는 자가 없었다.
4월에 왕궁을 깨끗이 정리하고 시중 김우징을 맞아 들여 왕위에 오르게 하니, 이가 곧 신무왕인데,
신무왕이 7월 23일에 죽고 태자가 뒤를 이으니 이가 문성왕이다.
김양의 공로를 추가로 기록하여 소판 겸 창부령을 제수하고, 다시 시중겸 병부령으로 전임시켰다.
당에서 빙문하고 동시에 공에게 검교 위위경을 제수하였다.
* 溟州 落鄕眞骨貴族 金周元系
(6世)金順式(王建의 鄕豪勢力을 統一하는 賜姓政策 - 王順式) 신라말 溟洲將軍 혹은 知溟洲
軍州事로서 강력한 豪勢力 金順式은 궁예세력 이었는데 태조 11년(928)에 이르러 歸附
王乂 ; 김주원의 직계(7대)후손으로 王姓을 하사 받았다.
江陵金順式은 고려 건국초 명주(溟州城主)장군으로 끝까지 항거하다 왕건에게 설득을 받고 왕건에게 협력하여 후백제 정벌에 공을 세웠다.
그후 대광(大匡)에 오르고 王氏 姓을 하사 받았으나(王順式) 조선개국후 왕씨가 탄압을 받자 原來 姓인 金氏로 還元하였다.
김양(金陽)·장변(張弁)·정년(鄭年)·낙금(駱金)·장건영(張建榮)·이순행(李順行)등과 함께 출정했다.
무주 철야현(鐵冶縣) 북쪽에서 대감(大監) 김민주(金敏周) 武將이 이끄는 중앙군을 물리친후 대구에서 민애왕의 군대를 격파하고 김우징을 왕으로 옹립하는데 공을 세웠다
신무왕의 즉위는 원성왕의 큰아들인 인겸계(仁謙系)와 균정계(均貞系)세력의 대립에서 均貞系가 승리 하였음을 의미한다.
均貞系가 승리한 데에는 청해진 세력과 이미 去勢된 김주원계(金周元系)의 후손인 金陽의 도움이 컸다
왕위를 둘러싸고 권력항쟁이 극심한 속에, 전시중이던 김우징(金祐徵)은 軍事를 收拾하여 自身과 妻子의 安全을 圖謀하기 위해
837년 5월에 청해진으로 도피하였는데, 이는 우연이 아닌 듯하다.
왜냐하면 그가 시중으로 재직하던 시기에 장보고가 청해진 설치를 흥덕왕으로부터 공식적으로 인정받았기 때문이다.
그리고 김우징의 心腹인 김양(金陽)은 흥덕왕 3년에 고성군 태수로 재직하다가 무주(현재의 전라도)도독(武州都督)으로 전임되어 재직한 바가 있다.
따라서 흥덕왕대에 청해진 설치를 전후로 하여 김우징, 김양과 장보고 사이에는 모종의 은밀한 관계가 이루어졌을 것이다.
그는 낙동강 하구인 양산 황산강(黃山江)에서 배를 타고 장보고가 대사(大使)로 있는 청해진으로 간다.
장보고에게 1만 군사를 빌려줄 때 그가 시중으로 있으면서 이 일을 적극 후원했던 인연이 있기 때문이다.
김우징은 여기서 때를 기다리고 있었는데 마침 김명이 본색을 드러내 희강왕을 시해했다는 소식을 듣는다.
김우징은 군왕을 시해한 역적을 친다는 명분으로 장보고에게 군사를 빌려달라고 요청한다. 장보고로 부터 5000군사를 빌린 김우징은 김양과 함께 3월에 무진주까지 공략해 들어갔다가 민심의 향배만 확인하고 되돌아온다.
민심의 소재를 파악하고 난 그들은 王都攻略에 자신감을 가지고 군세를 다시 정비해 12월에 대공세를 취하여 쌍봉사 근처인 무주 철야현(鐵冶縣; 지금의 南平面)에서 왕의 군대를 대파한다.
승승장구 밀고 들어가 민애왕 2년(839) 기미 윤정월 19일에는 대구에 당도한다. 민애왕은 직접 군사를 거느리고 와서 대구 서교에서 이들을 맞아 싸웠으나 왕군이 대패하여 죽은 자가 과반수나 되었다.
왕은 나무 아래에 서서 이를 지켜보고 있었는데 패군하자 좌우가 모두 달아나 홀로 남게 되었다.
왕이 어찌할 바를 모르다가 월유댁(月遊宅)으로 들어가니 병사들이 뒤쫓아와 왕을 시해하였다.
이에 우징의 조카이자 사위인 김예징(金禮徵) 등이 김우징을 맞아들여 보위에 오르게 하니 이가 신무왕(839년 4월∼7월)이었다.
그러나 신무왕은 등극한 지 3개월 만에 돌아가고
그 장자인 경응(慶膺-돌림자를 안썼다)이 뒤를 이어 보위에 오른다.
이가 문성왕(839∼857년)이다. 김양의 딸을 첫째 왕비로 맞아들였다.
文聖王은 등극하고 나자 이런 교서(敎書)를 내려 장보고의 공적을 높이 평가하고 그의 군사권을 공식 인정한다.
문성왕 17년(855) 정월에 문성왕이 사신을 보내 서남 백성을 어루만졌다는 사실은 다시 돌아온 청해진 세력을 공식적으로 인정해주는 국왕의 배려였을 듯하다.
그래서 청해진 세력은 강화만이나 아산만 등의 해양세력과 연계를 맺으면서 서서히 제해권을 되찾아가는 듯하니,
이 시기 일본에서 신라구(新羅寇)의 침략에 시달리며 두려워 했다는 사실이 이를 증명해 준다.
<好童~弓裔>
신무왕(神武王)이 아들을 낳았는데 용모가 아름다웠다. 왕은 기특하게 여기고 사랑하여 이름을 호동(好童)이라고 하였다.
이에 원비(元妃)는 호동에게 적자(嫡子)의 자리를 빼앗길까 우려하여 왕에게 참소 하였는데, 울면서
아뢰기를 “호동이 첩에게 무례한 짓을 하려 하였습니다.” 하였다. 어떤 사람이 호동에게 “어찌하여
스스로 해명하지 않는가?”하자, 호동이 말하기를 “내가 만약 해명한다면 이는 어머니의 죄악을 드러내고 아버지에게 근심을 끼쳐드리는 행위가 된다.”하고는 마침내 칼에 엎드려 찔려 죽었다.
◎ 原文 ☞
神武王이 生子하니 容貌美好라 王奇愛之하여 名曰好童이러니 元妃恐奪嫡하여 ?于王할새 乃泣告曰
好童이 欲無禮於妾하노이다. 或曰 何不自釋고한대 好童曰 我若釋之면 是顯母之惡이요 胎父之憂라하고 遂伏劍而死하니라.
신무왕의 아버지인 균정(均貞)이 서기 836년에 있었던 왕위 쟁탈전에서 패하여 살해되고
神武王인 김우징(金祐徵)은 청해진으로 避難할때
婦人과 어린 王子 4兄弟 (부인 박씨 경응, 영광, 흥광, 익광....신라김씨 선원보에 의함)를 데리고 우선 황산진구(黃山津口)(낙동강 하류, 양산과 金海사이)로 피한 다음 배를 타고 청해진(완도)으로 갔던 것이다. 장남인 태자 경응의 나이가 겨우 15세 때라고 적혀있다.
그후 서기 839년 달구벌 전투에서 대승하고 금성(경주)으로 공격할 때 44대 민애왕이 살해되고 45대 신무왕의 혁명 과업은 성공한 것이다. 우징은 839년 4월 28일에야 45대 왕으로 즉위하니 그동안 왕통이 3개월이나 공백이 생겼으니 당시의 정정(政情)이 매우 복잡했던 것을 알수 있다.
이 때가 1월 이었는데 왕위에 오른 것은 4월이고 7월 23일 승하하니 실로 短命의 王位였다 그런데다
가 이해 나이 19세였던 태자 경응(慶膺)이 같은해 7월 46대 文聖王으로 즉위했다.
그러나 문성왕 즉위 후에 신라 조정과 장보고 사이의 관계가 악화되어 한때 정정이 어수선 하게 되니
왕은 英光, 興光, 益光등 형제를 돌보아 줄 겨를이 없었다.
그리고 청해진에서 금성으로 오는 도중 光州까지는 왔으나 부왕이 서거하였으므로 慶州는 다시 불안한 상태가 될 것이므로 귀경하지도 못하고 광주지방에서 그대로 머물러 살게 되었다
따라서 이들은 피난처(避難處)에서 永住 하다가 강진,광산,영동으로 각각 옮겨가 살았다
구전되어 오는 설화나 신라김씨 선원보의 기록에서 보듯이 그러기에 영광은 강진김씨(康津)의 관조(貫祖)가 되고, 흥광(興光)은 광산김씨(光山)의 관조가 되고, 익광은 영동김씨(永山,永同)의 관조가 되었다
신라 제47대 (857~861) 憲安王 - 의정(誼靖)·우정(祐靖). 신무왕의 異腹동생이다
新羅第45代 神武王
神武王의 太子文聖王系에서 敬順王으로
神武王의 2자 英光系는 道光金氏(延安金氏).
神武王의 3자 興光系는 光山金氏.
神武王의 4자 益光系는 永山金氏.
神武王 - 英光-震禹(雨)-恒吉-進淀-仁康-順韋-正忠-彦志-益球 ┬ 金暹麗 道光金氏
└ 金暹漢 延安金氏
신라의 제45대왕(839 재위).神武王 金祐徵(王妃는 眞從夫人-貞繼夫人:文聖王 生母))
아버지는 - 上大等 金均貞
어머니는 - 眞矯夫人朴氏
희강왕(金悌隆)의 사촌동생
'順天金氏族譜'에 의하면 神武王이 弓裔(庶子)의 아버지라 한다.