CAFE

안김 이야기

[스크랩] 상해 임시정부 발행 김정극 여권

작성자희망나라|작성시간13.03.01|조회수605 목록 댓글 0

 

상해임시정부 발행 여권

 

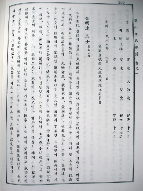
김정극 (金正極 1897 ~1970)

다른이름 : 김명달(金明達)

 

 

별명 : 명달(明達)·창의(昌義)

활동분야 : 독립운동

출생지 : 평북 용천

본관 : 안산 (安山) / 상호군 휘 암(巖)파, (용천파)

 

독립운동가. 본관은 안산(安山) 아버지는 독립운동가 겸 교육자이신 김경념 (金敬念1882년-1950년) 이다.

 

안김 독립운동가 김경념, 김정극, 김정련 보시려면 아래주소 클릭하세요 

http://blog.daum.net/yescheers/8598280

 

상해임시정부에서 발행한 여권이 남아있는 유일한 주인공이다.

 

별명은 명달(明達)·창의(昌義). 1910년 만주로 건너가 독립운동 단체에 가입한 후 형인 청달(淸達)과 연락을 주고받으며 국내와의 연락을 담당하였다.

 

1919년 고향에서 3·1만세시위에 참가한 뒤 다시 만주로 건너가 1920년 대한민국임시정부의 자금 조달과 연통제(聯通制) 실시를 위해 활약했다.

 

같은 해 상하이임시정부 외무부의 구미 유학생으로 선발되어 미국으로 건너가 버지니아 주 오로녹 대학에서 공부를 했다.

 

1923년 미국에서 조국의 실정을 각국에 호소하는 한편, 대한민국임시정부 및 구미위원부(歐美委員部)의 자금조달과 대한국민회 청년혈성단 지방부를 조직하였다.

 

1926년 동지 10여 명과 합동상사(合同商社)를 경영하면서 독립운동자금을 조달하였다.

 

1931년 귀국하여 김포공항장을 역임한 후 농촌진흥운동을 전개했다. 1963년 대통령표창, 1990년 건국훈장 애족장이 추서되었다.

 

참조항목 : 일제강점기

역참조항목 : 대한국민회 

 

 

건국훈장 (建國勳章, 영어: Order of Merit for National Foundation)은

 

<상훈법〉 제11조에 따라 대한민국의 건국에 공로가 뚜렷하거나, 국가의 기초를 공고히 하는 데에 이바지한 공적이 뚜렷한 사람에게 수여하는 대한민국의 훈장이다.

 

과거에는 중장(重章), 복장(複章), 단장(單章)의 3등급으로 나누어 수여하였다가 1990년에 〈상훈법〉이 개정되면서 대한민국장, 대통령장, 독립장, 애국장, 애족장의 5등급이 되었다.

 

건국훈장 아래의 훈격으로 건국포장과 대통령표창이 있다.

 

 

 

1920년 대한민국 임시정부의 이름으로 발행된 여권 (김정극 : 안산김씨)

 

국문, 한문, 영문, 불문, 독문이 함께 표기되어 있다.

김정극(金正極)이 학업차 미국으로 여행 할 때 사용한 임시정부에서 발행한 여권이다.

여행증서 제14호. 외무부 1920년 4월 22일자 소인이 찍혀 있다.

 

재 질 : 양지

재 원 : 가로(18.50) , 세로(25.50), 면수(4)

생산자 : 임시정부 외무부 편

생산년도 : 1920. 4. 22

 

이 여권은 같은 내용을 영문, 불문(프랑스), 소련어로 각각 쓴

문서와 함께 발행되었다.

 

영어, 프랑스어

러시아어

 

---------------------------------------------------------------- 

김정극  : 1897. 6.28 ~ 1970. 7. 2

출생지 : 평북 용천

운동계열 : 군자금모집

 

평북 용천(龍川) 사람이다. 일찍부터 지방청년들과 함께 민족사상을 고취하다가 1919년 고향에서 3·1독립운동 시위에 참가하였다고 한다.

 

그후 임시정부 연통제(聯通制)에 의한 연락망을 조직하고 군자금 조달 등의 활동을 하였다.

 

1920년 임시정부 외무부의 구미 유학생으로 선발되어 도미(渡美), 버지니아주 오로녹대학에 유학하였다. 이곳에서 조국의 실정을 각국에 호소하는 한편 청년 혈성단(血誠團)을 조직하여 군자금 모집활동을 벌였다고 한다.

 

광복 후에는 김포공항장(空港長)을 역임하였다.

정부에서는 고인의 공훈을 기리어 1990년에 건국훈장 애족장(1963년 대통령표창)을 추서하였다. 

 

註 한국독립사(김승학) 하권 126면

 

 

여행증서 제 14호

성명 김정극

년 25세

(평안북도 용천군 양광면 용덕리

       *** 所(소)는 전서 (소) 는 아니고 所(소)의 예전

             인쇄용 활자의 특이한 서체 형태로 보임

직업 학업

우인이 유학차로 미국에 여행하는바 여행증서를 자에 발급하노니 우인의 경로와 체류간에 귀국 관리는 상당한 보호와 편의 주심을 희망

대한민국외무총장대리차장 정인과

대한민국 2년 4월 22일

외사국장

 

여권 상단 왼쪽에 상해 임시정부가 발행한 수입인지에 外務部(외무부) 소인이 찍혀 있다. 오른쪽 사진에도 소인이 찍혀있다.

 

 

 

이때 공개된 여권은 김구선생의 여권이 아닌 김구선생이 소장했던

김정극 지사의 여권이다.

 

김구{본관 안동(安東). 1876.7.11~1949.6.26} 선생의 유품에서

상해임시정부 발행 김정극 지사의 여권이 발견된 것은

김정극{본관 안산(安山).  1897~1970}선생이 김구 주석에게 상해임정관련 기록물을 기증한 것으로 보인다.

*** 김구 선생은 1945년 8.15광복이후 중국 임시정부에서 동년 11월

      23일 임시정부 국무위원 일동과 함께 제1진으로 환국

 

 

 

 

       

독립운동 관련 판결문

 

이름/별명 : 김정극(金正極)

당시나이 : 37세

본적/주소

함경남도 영흥군 고령면 연동리 276번지(본적)

중국 지나 간도 연길현 수신향 평강 개척리(주거)

판결기관 : 경성복심법원

죄명 : 치안유지법위반

주문 : 1심 무죄 2심 검사공소 공소취하

관리번호 : CJA0016614

판결날짜 : 1심 1927.

M/F번호 : 93-617

---------------------------------------- 

이름/별명 : 김정극(金正極)

당시나이

본적/주소

판결기관 : 간도총영사관

죄명 : 치안유지법위반

생산년도

주문 : 검사 공소취하 무죄

관리번호 : CJA0016616

판결날짜 : 1927.06.01

M/F번호 : 93-617

 

-----------------------------------------------

 

안산김씨 족보

김정극 지사 (金正極, 다른이름 김명달)

 

안산김씨 족보 : 김명달 지사 이명(異名) 정극(正極)

 

 

아버지는 독립운동가 겸 교육자이신 김경념 (金敬念1882년-1950년)

 

 

----------------------------------------------------------------------------------------------

----------------------------------------------------------------------------------------------

 

 

상해임시정부 여권발급 관련

대한민국외무총장대리차장 정인과에 대하여 알아봅니다.

 

정인과 (鄭仁果)

 

정인과(鄭仁果, 일본식 이름: 德川仁果 또는 悳川仁果, 1888년 1월 9일 ~ 1972년)는 한국의 장로교 목사로, 본명은 정의종(鄭?鍾, 개명 전 이름)이며 본적은 평안남도 순천군 은산면이다.

 

초년기 

평안남도 순천에서 태어나 평양의 숭실중학교와 숭실전문학교를 졸업하였다. 1913년 미국으로 유학하여 신학을 공부했고 1921년 캘리포니아 주의 산 앤셀모에 위치한 샌프란시스코 신학교를 졸업했다.

 

임시정부 활동 

정인과가 미국에서 신학교를 마칠 무렵 3·1 운동이 일어나면서 곧바로 상하이에 대한민국 임시정부가 수립되었다. 이에 따라 해외에 있던 교포 단체에서도 임시정부에 대표를 파견하게 되는데, 북미 지역에서는 안창호를 특파원으로, 정인과와 황진남을 수행원으로 상하이에 보냈다. 안창호는 임시정부의 내무총장을 맡았고, 정인과와 황진남은 임시의정원 회의를 통해 미국령 교민 대표로 임시정부 의원으로 임명되었다.

 

이후 임시정부에서 임시의정원 부의장과 외무차장을 맡아 활동하였으나 임시정부 내의 여러 계파 간 갈등이 드러나고 전망이 불투명해지면서 이탈하는 세력이 늘어났다. 정인과도 1920년 임시의정원 의원직과 외무차장직을 사임한 뒤 미국으로 돌아갔다. 미국 복귀 후에도 유학 생활을 계속하여 1922년에 프린스턴 신학교에서 신학사를, 1923년에 프린스턴 대학교에서 문학사 학위를 받고 콜럼비아 대학교 대학원에 진학하여 교육학을 공부하였다.

 

1924년 정인과는 약 11년 간의 해외 유학과 임시정부 활동을 마치고 귀국하였다. 임시정부 활동 전력으로 인해 일본 경찰은 정인과를 요시찰 인물로 분류하여 감시하였으며, 함경북도 성진에서의 강연 내용을 문제 삼아 보안법 위반 혐의로 구류된 일도 있다. 이 당시 정인과의 고향인 평남 순천의 순천경찰서는 그가 배일사상을 갖고 있고 비밀결사 조직의 우려가 있다고 평가한 바 있다.

 

일제 강점기 말기 

1937년 중일 전쟁 발발 직전 시국이 경색되면서 수양동우회 사건이 일어났다. 일본은 본격적으로 중국을 침략하기 앞서 3·1 운동 이후 어느 정도 묵인하고 있던 민족개량주의 노선의 단체들을 탄압하기 시작했는데, 이때 많은 지식인들이 전향을 하게 되었다. 정인과는 안창호 계열인 수양동우회의 지도적 인물로서 구속되었다가, 역시 이 사건으로 체포된 뒤 전향한 오문환의 회유를 받아들여 풀려났고 이후 본격적인 친일 활동에 나서게 되었다.

 

정인과가 속해있던 교파인 장로교는 1938년 신사참배 강요에 호응해 신사참배를 공식 결의했고, 이듬해에는 국민정신총동원 조선예수교장로회연맹이라는 단체를 결성하여 조직적인 전쟁 지원과 황민화 운동에 나섰다. 물론 주기철 목사, 한상동 목사처럼 십계명의 우상숭배 금지명령을 근거로 저항하는 목소리도 있었지만, 투옥, 목사직 면직등의 탄압을 받았다. 장로교회에서는 친일활동을 효율적으로 수행하기 위한 총회 중앙상치위원회가 조직되었고, 정인과는 총간사로 취임했다. 정인과는 각계 인물들이 함께 결성한 국민총력조선연맹의 문화부 위원으로도 참여했고, 《매일신보》에 '일본적 기독교'로의 조선 기독교 개조에 대한 글을 싣거나 《동양지광》 주최의 영미타도 좌담회 참석, 《조광》 기고 등으로 적극적인 친일 활동을 했다. 국방헌금 납부를 독려하며, '조선예수교장로교도 애국기 헌납 기성회'라는 단체를 조직해 회장을 맡기도 했다.

 

일제는 조선성서공회 총무 정태응을 간첩 혐의로 구속하고 정인과에게 성서공회를 넘기거나, 기독교계 언론을 모두 폐간시킨 뒤 유일한 기독교 신문으로 《기독교신문》을 창간할 때도 기독교신문협회 회장으로 정인과를 지명하는 등, 그에 대한 신임을 보여주었다. 기독교신문은 1942년 천장절에 창간호를 냈고, 정인과는 이 신문의 발간 목적이 '반도 기독교의 일본적 진전에 기여'하는 것이라고 명시했다.

 

반민특위 체포 

이러한 행적으로 인해 정인과는 대표적인 친일목사라는 비판을 받았으며, 광복 후 반민족행위처벌법에 의해 개신교 목사 가운데서는 가정 먼저 반민특위에 체포되었다. 반민특위 활동이 친일파들과 결탁한 이승만 초대대통령에 의해 활동을 방해받는 과정에서 풀려났으나, 반민특위 조사관들이 정인과에게 예수를 배반한 가룟 유다에 빗댄 '대한의 유다'라는 별명을 붙여줄 정도로 지나친 친일행각 때문에 반민특위에서 석방된 후에도 개신교회에 복귀하지 못하고 경기도 파주, 송탄 등지에서 외롭게 은거하다가 1972년에 세상을 떠났다.

 

사후 

2002년 발표된 친일파 708인 명단의 기타 부문과 2008년 공개된 민족문제연구소의 친일인명사전 수록예정자 명단의 종교 부문, 2009년 친일반민족행위진상규명위원회가 발표한 친일반민족행위 704인 명단에 포함되었다.

-----------------------------------------------------------

 

연보

 

1988년1월9일 -- 평안남도 순천군 은산면 아버지 정민직 어머니 박은감의 차남 으로 출생.

 

1902년 --기독교로 입신.

 

1904년1월-- 추평리 예수교 학교 졸업.

 

1907년6월6일 --숭실학교-예수교중학교 4회졸업. 평양 숭실대학 입학.

 

1911년5월24일--숭실대학 제3회 졸업. 숭실중학교 교사로재임.

 

1912년8월--중국으로

1913년--도미 유학.

 

1913년~1914년--미국 캘리포니아 산호세 태평양대학 보습과

 

1913년10월13일--미국에서 흥사단에가입. 안창호와의 친밀한관계시작.

           ---후일 흥사단의 단기가를작시. 도산일기에는 마음속의 친구(심우)라고표현.

 

1914년~1917년--로스엔젤레스 성서학원 에서 학습.

 

1917년~1919년--센프란시스코 신학교에서학습.

1919년3월1일--한국에서 3.1독립운동

 

1919년4월5일--안창호,황진남 등과함께 중국 상해도착

 

1919년7월7일--상해 임시정부 의정원에서 미국령 교민대표.

 

1919년7월8일--의정원 상임의원회 교통위원장 피선, 대한적십자사 상의원, 임시의정원 부의장.

 

1919년9월--미국령 대의사.

1919년9월11일--상해 임시정부 국무원 외무차장

 

1920년8월--미국 상원,하원의원 동양시찰단 래중시 영접, 한국의 독립을 강조.

 

1920년10월--상해임시정부의 모든직책 사임, 도미하여 샌프란시스코 신학교에서연구.

 

1921년4월28일--샌프란시스코 신학교 졸업.

 

1921년9월16일--필라델피아에서 개최된 만국 장로교대회에 임종순,맥큔블레어 등과 함께

                         한국 대표로 참석.

1921년--프린스톤 신학교에 입학.

 

1922년5월9일--프린스톤 신학교 졸업, 신학사.

 

1922년--프린스톤대학교 박사원 입학.

 

1923년7월13일--프린스턴 대학교 졸업, 문학 석사.

 

1923년3월24일--뉴욕 컬럼비아대학교 사범대학 박사원 입학.

 

1924년6월16일--박사등록을 포기하고, 미국을 떠나 스코트랜드 글라스고에서개최된

                         세계주일학교대회에 남궁혁과 함께 한국대표로참석.

 

1924년11월--상해를 경유하여 한국에 귀국.

 

1924년11월--조선 예수교 장로회 총회 주일학교 부총무.

 

1925년10월21일--제2회 전선주일학교대회 주관.

 

1926년--서울 새문안교회 동사목사.

 

1928년3월24일~4월8일--예루살렘에서 개최된 국제선교협의회에 마포삼락,시흥우,양주삼,김활란등과

                                     한국대표로 참석.

 

1928년9월--장로교 총회 농촌부 부장.

 

1929년--농민 생활사 사장, 총회 중앙신용조합 조합장.

 

1929년5월--신우회 조직에 참여.

 

1929년9월 --조선예수교 연합공의회 농촌사업협동공의회 실행의원.

 

1929년10월--평양 제3회 전선주일학교대회 주관

 

1930년1월--함중노회 주최 주일학교대회에서의 강연, 성진경찰서에 보안법 위반혐의로 체포.

 

1930년3월31일--경성 지방 법원에 송치.

 

1930년4월5일--경성지법에서 성진경찰서에 재조사지시, 얼마후 불기소처분.

 

1930년9월--장로교 총회에서 매년 10월셋째주일을 농촌주일로 지키게함.

 

1932년--조선 예수교장로회총회 상설 종교교육부신설, 그총무역임.

                     브라질 리오데자네리오 세계주일학교대회 한국대표로 참석.

 

1932년10월--(종교시보사)사장.

 

1933년~34년--지방 교사강습회 전국적으로추진.

 

1933년7월--전필순이 (기독신보)사의 사장이되면서 정인과 주도의 서북교권에 도전하는

                   비서북계의 기관지로 전환시킴.

 

1933년9월--장로교 총회 농촌부 상설, 배민수총무

                   장로교총회에서 찬송가 편찬 작업 종교교육부가주관.

1933년--장로교총회의 중요간행사업-목사설교집, 50년약사,성서주석-총괄주도.

 

1934년6월27일~30일--(동아일보)에 (가경50년 한국교회 발전사)연제.

 

1934년6월--전선목사대회 장로교 농촌부와 함께 종교교육부 주최로 개최.

 

1934년9월--농촌사역 기금문제로 미국에 다녀옴. 배민수와의 관계악화.

 

1935년1월--종교교육부에서 (신편 찬송가) 편찬 작업.

 

1935년12월--(신편찬송가) 장로교전용으로 종교교육부에서 간행.

 

1935년--비 서북계 구왕삼과 경남노회의(신편찬송가)비판.

 

1935년9월--장로교 총회장 으로피선, 비서북계의 적극신앙단,김영주의 창세기 저작문제,김춘배의여권문제, (아빙돈 단권주석)문제,감리교회와의 교계예양조치문제,연합고의회 에서의 탈퇴문제,등을결정.

 

1936년--조선총독부 국제명징정책 강행.

1936년12월--조선사상보호관찰령 발효.

                    장로교총회에서 (종교시보),(농촌통신),(면려회보)등을통합하여 (기독교보)창간,그편집인.

 

1937년5월--동우회사건에연루되어 피체, 총회종교교육부 총무사임,

                   일제에의한 국가 총동원령발효, 조선예수교연합공의회 해체.

1938년1월--치안유지법 위반혐의로 검찰에 송치.

 

1938년5월--면려회해체, 서울에서 친일적인 기독교연합회 총독부에의해 조직.

 

1938년6월--일부 동우회 회원 전향성명, 정인과 여기에 불참하고 항거.

                   ymca,ywca연합회 해체,전국주일학교대회 활동정지.

 

------ 일부학자들은 이때부터 친일행적이 나타난다고 한다.--------

 

1938년9월--장로교총회 신사참배 결의.

 

1939년1월--일본 제국의회에서 종교단체법 통과.

 

1939년9월--보석중 총회에서 종교교육부 총무로 재선, 그러나 사무협동형식.

                  주일학교 진흥 3개년 실행방법 계획, 총회에서 결의함에따라 전국적으로 실시.

                  일제에의해 국민정신총동원 조선예수교 연맹 결성,----정인과 불참.----

 

1939년12월--경성지방법원에서 언도공판, 징역2년과 집행유예3년구형.

 

1940년9월--총회상치위원회 설치,사무국 총간사로 피임.

 

1941년4월--기구개편한 조선성서공회 총무로피선.

 

1941년--한국 장로교회의 정통성을 확립하고 보존하기위한 조선 기독교 사료전람회 개최준비

          ---정인과 총괄.

 

1941년5월22일--동우회 관계자 불복하고 상고.

 

1941년11월7일--경성 고등법원 상고심에서 동우회 관계자 전원 무죄석방.

                      --정인과가주재한 일본 변호사의 변호는 지금도 잘 알려져있음.

 

1942년4월--총독부의 언론 통제로 (장로회보)폐간.

 

1942년5월--총독부에의하여 기독교 신문협회 설립. 조선 성서공회 적산관리령에의해 일제에귀속.

 

1942년9월--일제에 의해 조선기독교 사료 전람회 개최 무기연기.

1942년11월-- 일제에 의하여 각 교파 출판사업의 통합, 기독교 출판협회 조직.

                ------정인과 그과정에서 한국교회 재산확보에 진력.

 

1943년5월--장로교총회가 일본기독교 조선장로교단으로 변형,

               ----정인과 이변형과정의 불법성을 치토, 항거.

              감리교 일부인사와 비서북계 장로교 인사들을 중심으로 혁신교단 설립,

               ----정인과와 한국교회의 반발로 얼마후 해체.

 

1943년9월--평북노회장 김진수와 함께 장로교 정통성 보존을 위한 교단측에 끝까지 저항하여 투쟁.

 

1944년8월--교단계인사들 교단을 해체하고 장로교 총회에복귀.

 

1944년12월--교단계 인사들 다시 일본기독교 장로교단에 병합,

                ----정인과 상치위원회 총간사로서 끝까지반발하여, 불법성을 비판하고 저항.

 

1945년6월--한국 모든교단과 교회가 일제의 황도적 교회에병합됨.

 

1945년8월15일--광복, 고려파계선교사 하밀턴,헌트 등이북 피난교역자 등 이찾아와 여러가지

                         제안에 사양.

 

1948년--대한민국 해군1기생으로 3남 정삼윤 입대. 5남 정삼도 육군입대.

 

1949년2월--반민특위에의하여 양주삼,정춘수 등과함께 검거.

 

1949년3월--재판에송치.

 

1949년8월--무죄 석방.----이때까지 정인과의 집에 서재필 박사와 함께 사무실을 사용.

 

1950년 ----6.25전란,사돈 현상윤의 납북, 5남 정삼도의 육군장교로 전사.

 

1953년7월--서울환도, 방우린보육원 설립, 전쟁고아들을돌봄, 후에 신희망보육원으로 개칭.

 

1953년11월--서울 특별시장 김태선으로부터 보육사업공로로 표창.

 

1954년--정인과 보육사업부지--한경직,배민수,강신명 등의참석하에 숭실대학교에 희사 협정서 작성.

              미군의도움으로, 한국최초 비행기술학교 설립을 추진중, 고리부채에 전재산 채권단에 넘어감.

 

1960년--경기도문산 법원리의 장로교회에서 3년간 목회.

 

1963년--교회 사임, 차남 삼현 한국최초( 혼혈아학교) 설립을 추진중 병사.

 

1972년--서울에서 행방불명 사망.

 

 

다음검색
스크랩 원문 : 안 산 김 씨
현재 게시글 추가 기능 열기

댓글

댓글 리스트
맨위로

카페 검색

카페 검색어 입력폼