CAFE

해석학

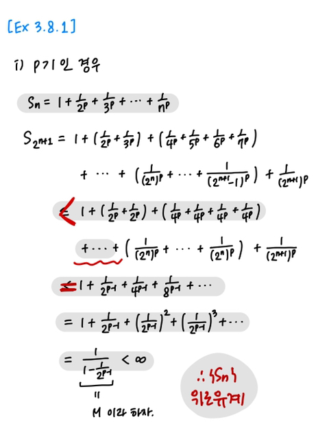
p급수 판정법 증명 (개념강의록 예제3.8.1)

작성자maxx|작성시간21.01.19|조회수2,266 목록 댓글 2

p급수 판정법 p>1일때의 증명과정 중 부분합 Sn이 유계임을 보이는 부분입니다.

첨자를 맞추어 엄밀하게 증명하기 위해 S_2^(n+1)로 표기하면서 하신 점은 이해가 됩니다만, 제가 회색 줄 친 대로만 논증을 하면 특별한 문제가 생기는 걸지요? S_2^(n+1)에서 필요한 엄밀한 항들(특히 마지막 항들)을 무한합으로 처리해버리고 그냥 strict 부등호를 주면 문제가 생기나요?

다음검색
현재 게시글 추가 기능 열기

댓글

댓글 리스트
  • 작성자수정과 | 작성시간 21.01.21 강의에서는 이해를 돕기위해 중간과정을 보여준 것입니다. 회색줄을 표시하신 부분으로 서술했을때 문제점이 발생하는것은 아닙니다. 무한합으로 처리해버리신다는게 무한급수로 나타내신다는 의미인가요?
  • 답댓글 작성자maxx 작성자 본인 여부 작성자 | 작성시간 21.01.21 감사합니다. 제 표현이 모호했네요. 유한항들의 합으로 나타난 Sn과 비교했을때, 무한급수를 더 붙이면 부등호를 < 로 바꿔줄 수 있다는 의미였습니다.
댓글 전체보기
맨위로

카페 검색

카페 검색어 입력폼