CAFE

현대대수학

질문 있습니다ㅎㅎ

작성자임용최종합격|작성시간19.06.30|조회수202 목록 댓글 2

1. 유클리드 노름이면 곱셈적 노름이 되나요?


2. 기출 77번

http://mathhm.synology.me/previous_test/html/algebra/Galois.php

풀이의 4번째 줄, 5번째 줄

< α=α^(-1) ~ 모순이다 >

부분은 꼭 써야 하나요? 아니면 생략 가능한가요?

 

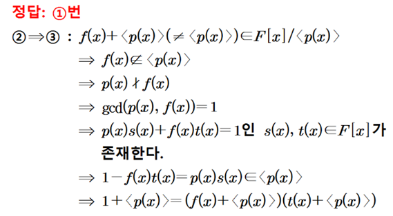
3. 기출 45번

http://mathhm.synology.me/previous_test/html/algebra/QutientOfF[x].php




여기서 p(x)f(x) 이면 gcd(p(x), f(x))=상수가 되어야 하지 않나요?? 

반드시 1이라고 할 수 있는지 궁금합니다!

다음검색
현재 게시글 추가 기능 열기

댓글

댓글 리스트
  • 삭제된 댓글입니다.
  • 답댓글 작성자임용최종합격 작성자 본인 여부 작성자 | 작성시간 19.07.07 감사합니다!
댓글 전체보기
맨위로

카페 검색

카페 검색어 입력폼