CAFE

현대대수학

갈루아이론 문제

작성자YouN|작성시간19.11.19|조회수1,203 목록 댓글 4
이렇게 풀이해도 괜찮을까요?

다음검색
현재 게시글 추가 기능 열기

댓글

댓글 리스트
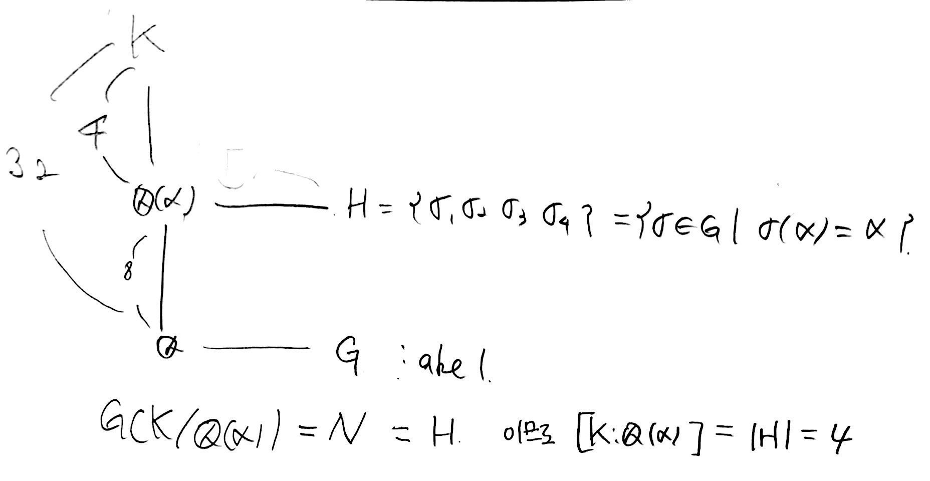
  • 작성자쿨여누 | 작성시간 19.11.20 1. [K:Q]=32 인 근거가 무엇인가요??
    2. Q(α)=F 임을 보여야합니다.
  • 답댓글 작성자YouN 작성자 본인 여부 작성자 | 작성시간 19.11.20 F 사용하지 않고 H=Gal(K/Q(a))임을 보인다면 위와 같이 풀이해도 되는건가요?
  • 답댓글 작성자쿨여누 | 작성시간 19.11.20 YouN 네 가능합니다.(풀이는 확대체 타워의 그림이 아니라 구체적으로 서술해줄필요가있습니다.)
    다음과 같이 서술해줄수있습니다.
    댓글 첨부 이미지 이미지 확대
  • 답댓글 작성자YouN 작성자 본인 여부 작성자 | 작성시간 19.11.20 쿨여누 감사합니다!!
댓글 전체보기
맨위로

카페 검색

카페 검색어 입력폼