CAFE

현대대수학

환에서 주아이디얼

작성자퐈팅|작성시간20.08.21|조회수289 목록 댓글 3

.

다음검색
현재 게시글 추가 기능 열기

댓글

댓글 리스트
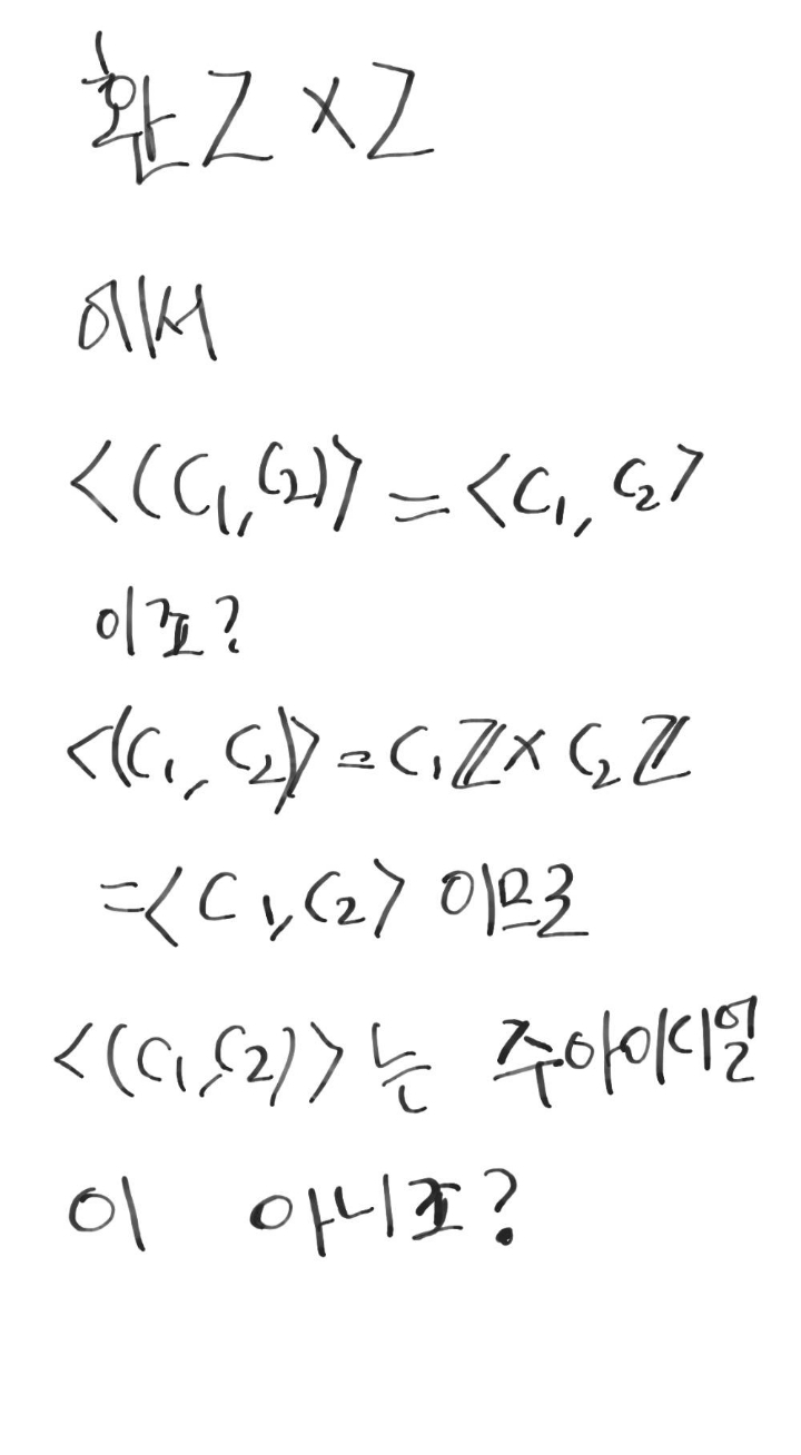
  • 작성자쿨여누 | 작성시간 20.08.24 <(c1, c2)>=<c1, c2>는 성립하지않습니다. 애당초에 <c1, c2>는 어떤 환에 이데알인가요??
  • 작성자퐈팅 작성자 본인 여부 작성자 | 작성시간 20.08.25 c1,c2를 포함하는 최소의 아이디얼을 <c1,c2>라 하지 않나요?? 괄호를 꼭 써줘야 하나요??
    그리고 R1, R2가 단외원 갖는 가환환일때 c1,c2 포함하는 최소아이디얼 <c1,c2>=c1R1 x c2R2라고 알고 있었는데 아닌가요? ㅠㅠ 그래서 <(c1,c2)>도 c1R1 x c2R2이니까 두개가 같다고 생각했었거든요
  • 답댓글 작성자쿨여누 | 작성시간 20.08.30 예를들어 환 Z×Z에서 (2,1)로 생성한 단항이데알은 <(2,1)>로 표기합니다.
    그런데 <2,1>은 정체가무엇일까요?? 제가보기에는 1, 2 두개로 생성한 Z의 이데알로 보이네요.

    환 Z×Z에서 <(2,1)>=2Z×Z 입니다.
    반면, <2, 1>은 Z의 이데알이고, <2, 1>=Z 입니다.(원소자체가 다릅니다)


    보통 <a, b>라고 표현하는것은 a, b 두 원소로 생성한 이데알을 의미하고, <(a, b)>는 한 원소 (a, b)로 생성한 단항이데알을 의미합니다.
댓글 전체보기
맨위로

카페 검색

카페 검색어 입력폼