CAFE

현대대수학

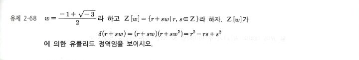
[2024대비 교재] 유제 2-68

작성자염태은|작성시간24.05.01|조회수105 목록 댓글 1

유제 2-68 해설에서 (2)파트에서 필수예제 풀이처럼 유리수계수에 대한 함수 설정을 추가로 하지 않은 이유가 있을까요?

s-m과 t-n은 유리수이므로 델타에 대입할 수 없을텐데 풀이과정 오류인지 궁금합니다!

항상 답변 감사합니다 :)

다음검색
현재 게시글 추가 기능 열기

댓글

댓글 리스트
  • 작성자수정과 | 작성시간 24.05.02 필수예제와 같이 풀면 됩니다. 해당 부분은 수정 요청하도록 하겠습니다. 알려주셔서 감사합니다.
댓글 전체보기
맨위로

카페 검색

카페 검색어 입력폼