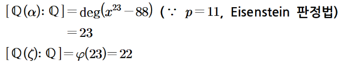
유제 3-47 (2024 기출) 작성자ㅎㅅ2|작성시간24.05.05|조회수149 목록 댓글 2 글자크기 작게가 글자크기 크게가 유제 3-47(2024기출) 해설 중에 3번째 줄은 어떤 정리를 이용한 것인지 알 수 있을까요?감사합니다. 다음검색 현재 게시글 추가 기능 열기 북마크 공유하기 신고 센터로 신고 댓글 댓글 2 댓글쓰기 답글쓰기 댓글 리스트 작성자수정과 | 작성시간 24.05.07 25대비 현대대수학 정의 3.59 p.177 의 내용을 적용한 것입니다. 답댓글 작성자ㅎㅅ2 작성자 본인 여부 작성자 | 작성시간 24.05.07 감사합니다~ 댓글 전체보기